Distributed Event-Triggered Synchronization for Complex Cyber–Physical Networks under DoS Attacks
Abstract
1. Introduction
2. Problem Formulation and Preliminaries
3. Main Results
- , ,
- ,
- .
- .
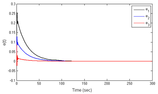
4. Numerical Examples
5. Conclusions
Author Contributions
Funding
Institutional Review Board Statement
Informed Consent Statement
Data Availability Statement
Conflicts of Interest
References
- Watts, D.; Strogatz, S. Collective dynamical of small-world networks. Nature 1998, 393, 440–442. [Google Scholar] [CrossRef] [PubMed]
- Dong, Q.; Shi, S.L.; Ma, Y.C. Non-fragile synchronization of complex dynamical networks with hybrid delays and stochastic disturbance via sampled-data control. ISA Trans. 2020, 105, 174–189. [Google Scholar] [CrossRef]
- Liu, X.Y.; Chen, T.P.; Cao, J.D.; Lu, W.L. Dissipativity and quasi-synchronization for neural networks with discontinuous activations and parameter mismatches. Neural Netw. 2011, 24, 1013–1021. [Google Scholar] [CrossRef] [PubMed]
- He, X.L.; Shi, P.; Lim, C.C. Stochastic synchronization of complex networks via aperiodically intermittent noise. J. Frankl. Inst. 2020, 357, 13872–13888. [Google Scholar] [CrossRef]
- Kaviarasan, B.; Sakthivel, R.; Lim, Y. Synchronization of complex dynamical networks with uncertain inner coupling and successive delays based on passivity theory. Neurocomputing 2016, 186, 127–138. [Google Scholar] [CrossRef]
- Hu, C.; Yu, J.; Jiang, H.J.; Teng, Z.D. Exponential synchronization of complex networks with finite distributed delays coupling. IEEE Trans. Neural Netw. 2011, 22, 1999–2010. [Google Scholar]
- Huang, X.J.; Ma, Y.C. Improved results on synchronization of Markovian jump complex dynamical networks via sampled-data controller and convex combination. Int. J. Syst. Sci. 2019, 50, 2764–2775. [Google Scholar] [CrossRef]
- Huang, X.J.; Ma, Y.C. Finite-time H∞ sampled-data synchronization for Markovian jump complex networks with time-varying delays. Neurocomputing 2018, 296, 82–99. [Google Scholar] [CrossRef]
- Wang, J.; Zhang, H.; Wang, Z.; Wang, B. Local exponential synchronization in complex dynamical networks with time-varying delay and hybrid coupling. Appl. Math. Comput. 2013, 225, 16–32. [Google Scholar] [CrossRef]
- Liu, X.Y.; Ho, D.W.C.; Song, Q.; Xu, W.Y. Finite/fixed-time pinning synchronization of complex networks with stochastic disturbances. IEEE Trans. Cybern. 2019, 49, 2398–2403. [Google Scholar] [CrossRef]
- Zhang, G.C.; Xia, Y.Q.; Li, X.F.; He, S.P. Multievent-triggered sliding-Mode control for a class of complex dynamic network. IEEE Trans. Control. Netw. Syst. 2022, 9, 835–844. [Google Scholar] [CrossRef]
- Shen, M.Q.; Yan, S.; Zhang, G.M. A new approach to event-triggered static output feedback control of networked control systems. ISA Trans. 2016, 65, 468–474. [Google Scholar] [CrossRef]
- Chadha, G.S.; Panambilly, A.; Schwung, A.; Ding, S.X. Bidirectional deep recurrent neural networks for process fault classification. ISA Trans. 2020, 106, 330–342. [Google Scholar] [CrossRef] [PubMed]
- Lian, J.; Li, C.; Xia, B. Sampled-data control of switched linear systems with application to an F-18 Aircraft. IEEE Trans. Ind. Electron. 2016, 64, 1332–1340. [Google Scholar] [CrossRef]
- Humayed, A.; Lin, J.Q.; Li, F.J.; Luo, B. Cyber-physical systems security-a survey. IEEE Internet Things J. 2017, 4, 1802–1831. [Google Scholar] [CrossRef]
- Dai, W.B.; Dubinin, V.; Christensen, J.; Vyatkin, V.; Guan, X.P. Toward self-manageable and adaptive industrial cyber-physical systems with knowledge-driven autonomic service management. IEEE Trans. Ind. Inform. 2017, 13, 725–736. [Google Scholar] [CrossRef]
- Gatouillat, A.; Badr, Y.; Massot, B.; Sejdic, E. Internet of medical things: A review of recent contributions dealing with cyber-physical systems in medicine. IEEE Internet Things J. 2018, 5, 3810–3822. [Google Scholar] [CrossRef]
- Li, H.S.; Lai, L.F.; Poor, H.V. Multicase routing for decentralized control of cyber physical systems with an application in smart grid. IEEE J. Sel. Areas Commun. 2012, 30, 1097–1107. [Google Scholar] [CrossRef]
- Liu, J.L.; Yin, T.T.; Shen, M.Q.; Xie, X.P.; Cao, J. State estimation for cyber–physical systems with limited communication resources, sensor saturation and denial-of-service attacks. ISA Trans. 2020, 104, 101–114. [Google Scholar] [CrossRef]
- Lu, A.-Y.; Yang, G.-H. Inpu-to-state stabilizing control for cyber-physical systems with multiple transmission under denial of service. IEEE Trans. Autom. Control. 2018, 63, 1813–1820. [Google Scholar] [CrossRef]
- Song, Z.Q.; Liu, Y.F.; Tan, M.C. Robust pinning synchronization of complex cyberphysical networks under mixed attacks strategies. Int. J. Robust Nonlinear Control. 2019, 29, 1265–1278. [Google Scholar] [CrossRef]
- Wen, G.H.; Yu, W.W.; Yu, X.H.; Lv, J.H. Complex cyber-physical networks: From cybersecurity to security control. J. Syst. Sci. Complex. 2017, 30, 46–67. [Google Scholar] [CrossRef]
- Wang, P.J.; Wen, G.H.; Yu, X.H.; Yu, W.W.; Wan, Y. Synchronization of resilient complex networks under attacks. IEEE Trans. Syst. Man Cybern. Syst. 2019, 99, 1116–1127. [Google Scholar] [CrossRef]
- Dong, X.; Liu, X.J. Robust and secure time-synchronization against sybil attacks for sensor networks. IEEE Trans. Ind. Inform. 2015, 6, 1482–1491. [Google Scholar] [CrossRef]
- Wang, S.B.; Cao, Y.T.; Huang, T.W.; Chen, Y.R.; Wen, S.P. Event-triggered distributed control for synchronization of multiple memristive neural networks under cyber-physical attacks. Inf. Sci. 2020, 518, 361–375. [Google Scholar] [CrossRef]
- Liu, Y.H. Secure control of networked switched systems with random DoS attacks via event-triggered approach. Int. J. Control Autom. Syst. 2020, 18, 2572–2579. [Google Scholar] [CrossRef]
- Gao, L.S.; Li, F.Q.; Fu, J.Q. Event-triggered output feedback resilient control for NCSs under deception attacks. Int. J. Control Autom. Syst. 2020, 18, 2220–2228. [Google Scholar] [CrossRef]
- Wu, Z.G.; Xu, Y.; Lu, R.Q.; Wu, Y.Q.; Huang, T.W. Event-triggered control for consensus of multiagent systems with fixed/switching topologies. IEEE Trans. Syst. Man Cybern. Syst. 2018, 48, 1736–1746. [Google Scholar] [CrossRef]
- Peng, C.; Sun, H.T. Switching-like event-triggered control for networks control systems under malicious denial of service attacks. IEEE Trans. Autom. Control 2020, 65, 3943–3949. [Google Scholar] [CrossRef]
- Feng, Z.; Hu, G.Q. Secure cooperative event-triggered control of linear multiagent systems under DoS attacks. IEEE Trans. Control Syst. Technol. 2020, 20, 741–752. [Google Scholar] [CrossRef]
- Xu, Y.; Fang, M.; Shi, P.; Wu, G.Z. Event-based secure consensus of mutiagent systems against DoS attacks. IEEE Trans. Cybern. 2020, 50, 3468–3476. [Google Scholar] [CrossRef] [PubMed]
- Ye, D.; Chen, M.M.; Yang, H.J. Distributed adaptive event-triggered fault-tolerant consensus of multiagent systems with general linear dynamics. IEEE Trans. Cybern. 2019, 49, 757–767. [Google Scholar] [CrossRef] [PubMed]
- Li, W.; Zhang, H.; Wang, W.; Cao, Z. Fully distributed event-triggered time-varying formation control of multi-agent systems subject to mode-switching denial-of-service attacks. Appl. Math. Comput. 2022, 414, 126645. [Google Scholar] [CrossRef]
- Deng, C.; Wen, C.Y. MAS-based distributed resilient control for a class of cyber-physical systems with communication delays under DoS attacks. IEEE Trans. Cybern. 2021, 51, 2347–2358. [Google Scholar] [CrossRef] [PubMed]
- Wan, Y.; Cao, J.D. Distributed observer-based cyber security control of complex dynamical networks. IEEE Trans. Circuits Syst. I Regul. Pap. 2017, 64, 2966–2975. [Google Scholar] [CrossRef]
- Feng, Z.; Hu, G.Q. Distributed secure average consensus for linear multi-agent systems under DoS attacks. In Proceedings of the 2017 American Control Conference (ACC), Seattle, WA, USA, 24–26 May 2017; pp. 2261–2266. [Google Scholar]
- Wen, G.H.; Yu, W.W.; Hu, G.Q.; Cao, J.D.; Yu, X.H. Pinning synchronization of directed networks with switching topologies: A multiple Lyapunov function approach. IEEE Trans. Neural Netw. Learn. Syst. 2015, 26, 3239–3250. [Google Scholar] [CrossRef]
- Tian, Y.; Tian, S.; Li, H.Q.; Han, Q.; Wang, X.N. Event-Triggered Security Consensus for Multi-Agent Systems with Markov Switching Topologies under DoS Attacks. Energies 2022, 15, 5353. [Google Scholar] [CrossRef]














Disclaimer/Publisher’s Note: The statements, opinions and data contained in all publications are solely those of the individual author(s) and contributor(s) and not of MDPI and/or the editor(s). MDPI and/or the editor(s) disclaim responsibility for any injury to people or property resulting from any ideas, methods, instructions or products referred to in the content. |
© 2023 by the authors. Licensee MDPI, Basel, Switzerland. This article is an open access article distributed under the terms and conditions of the Creative Commons Attribution (CC BY) license (https://creativecommons.org/licenses/by/4.0/).
Share and Cite
Huang, X.; Xia, Y.; Ding, D.-W. Distributed Event-Triggered Synchronization for Complex Cyber–Physical Networks under DoS Attacks. Appl. Sci. 2023, 13, 1716. https://doi.org/10.3390/app13031716
Huang X, Xia Y, Ding D-W. Distributed Event-Triggered Synchronization for Complex Cyber–Physical Networks under DoS Attacks. Applied Sciences. 2023; 13(3):1716. https://doi.org/10.3390/app13031716
Chicago/Turabian StyleHuang, Xiaojie, Yunxia Xia, and Da-Wei Ding. 2023. "Distributed Event-Triggered Synchronization for Complex Cyber–Physical Networks under DoS Attacks" Applied Sciences 13, no. 3: 1716. https://doi.org/10.3390/app13031716
APA StyleHuang, X., Xia, Y., & Ding, D.-W. (2023). Distributed Event-Triggered Synchronization for Complex Cyber–Physical Networks under DoS Attacks. Applied Sciences, 13(3), 1716. https://doi.org/10.3390/app13031716
