Game Theory-Based Load-Balancing Algorithms for Small Cells Wireless Backhaul Connections †
Abstract
Featured Application
Abstract
1. Introduction
2. Materials and Methods
2.1. Problem Formulation and System Model
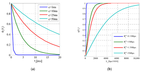
2.1.1. Virtual Tunnel Modeling
2.1.2. User Clustering in Multi-AP Scenarios
- the user-AP link should fulfill some QoS requirements, and the simplest solution is to connect the user terminal to the closest AP or to the AP with the largest transmission power;
- the users should connect with higher priority to the AP having more available transmission resources on the communications tunnels established over the cellular wireless links. This is necessary to avoid the overloading of some APs, with effect over the global QoS, and for efficient usage of the resources available on the tunnels;
- the selection process of the users who connect to one of the APs should avoid the need to install supplementary software modules on the user terminals, which would complicate the control of the users’ access process.
2.2. Modeling the Load Balancing on a Set of Tunnels as a Multiplayer Game
2.2.1. Selfish Routing Load Balancing
- the flow-agents, i.e., the players;
- is the finite set of the actions of player i, i.e., each player (flow) should choose one tunnel. It is defined an action profile , where each element ai of the vector represents one action for each player of the game, and this profile corresponds to an arrangement s;
- the payoff or the utility function ui of a player (flow) in this case is , i.e., the expected latency if the agent i chooses tunnel j.
| Algorithm 1 Selfish Routing-based LB algorithm |
| Compute the expected latency for each packet of the flow fi on every tunnel. 1: for j = 1 to N do 2: compute based on (16). 3: end for Select for flow fi the tunnel which ensures the minimum latency. Associate flow fi to tunnel z. 5: 6: Generate the signaling traffic for flow routing and send it on default tunnel j = 1 |
2.2.2. Auction-Based Load Balancing
| Algorithm 2 Auction-based load-balancing algorithm |
| Each new traffic initially is associated with default tunnel j = 1. At each arriving packet 1: for j = 1 to N do 2: estimate based on (21). 3: compute based on (22) and (23). 4: end for Select for flow fi the tunnel which submitted the lowest bid. 5: Associate flow i to tunnel z 6: Update the tunnel total revenue after sending the packet. |
2.2.3. Combinatorial Auction-Based Load Balancing
| Algorithm 3 Combinatorial Auction-based load-balancing algorithm |
| Each new traffic initially is associated with default tunnel j = 1. At each arriving packet update the flows’ potential function . In each moment ; T–interpacket delay or timer period, perform the following steps: 1: for j = 1 to N do 2: compute 3: compute 4: while do // the QoS decreases considerably Select the flow with the lowest potential. 5: Create a new arrangement: 6: 7: each bidder z ≠ for the new subset Kz Route flow fi through the tunnel which submitted the lowest bid. 8: Associate flow i to tunnel t. 9: 10: recompute 11: recompute 12: end while 13: end for |
2.3. Reference Load-Balancing Algorithms
2.3.1. The Round Robin Reference Load-Balancing Algorithm
| Algorithm 4 Round Robin Load-Balancing Algorithm |
| Each new data flow initially is associated with default tunnel j = 1 1: if fi is a new flow 2: identify the last used tunnel z ≤ N 3: select the next tunnel: and send flow fi on tunnel z 4: end if |
2.3.2. The Multiple Knapsack Reference Load-Balancing Algorithm
| Algorithm 5 Multiple Knapsack load-balancing algorithm |
| Each new data flow initially is associated with default tunnel j = 1. 1: do 2: compute the priority of the new data flows. 3: sort the flows in descending order of their priorities. 4: if flows have the same priority 5: sort flows in ascending order of their average bit rate. 6: end if 7: route the sorted flows on the available tunnels while fulfilling the conditions: a. the sum rate of the flows routed on a tunnel is lower than the average capacity of the tunnel and b. the sum of the priority of the flows routed through a tunnel is as high as possible. 8: while each flow is associated with a tunnel, or no tunnels are available 9: if flow fi does not fit on one of the tunnels 10: check if it fits into one of the other available tunnels. 11: end if 12: if flow fi cannot be routed over either of the tunnels 13: flow fi will be routed over the default tunnel or will be rejected. 14: end if 15: end while 16: end do |
2.4. Modeling the User Clustering Process as a Game
- the api, i∈{1, …, K} AP agents are the players;
- Ai = {P1, …, PN} is the finite set of the actions of player i, i.e., each player should choose a transmit power that influences the user terminals to connect or not to the specific AP. It is defined an action profile a = (a1, a2, …,aK), where each element ai of the vector represents one action for each player of the game, and each action profile corresponds to an arrangement s of APs and users.
- the payoff or the utility function ui of a player in this case is , i.e., the expected difference between the load and the capacity of APi.
| Algorithm 6 Non cooperative user clustering mechanism |
| estimate the difference between the demand and capacity for each AP. 1: for j = 1 to N do 2: estimate using the average packet delay or the lengths of the transmit queues. Check if the AP has free capacity. 3: if Increase the transmit power of APi and by this increase the coverage area and the number of users connected to APi. 4: else Reduce the transmit power of APi and by this reduce the coverage area and the number of users connected to APi. 5: end if 6: end for 7: Each user checks the strengths of the received signal from each AP and chooses the AP from which the received signal has the highest power. |
- the api, i∈{1,…,K} AP agents are the players;
- is the finite set of the actions of the tuple of players (api, apj), i.e., each group of neighbor player should adjust their transmit power that influences the user terminals to connect or not to the specific AP. An action profile a = (a1, a2, …,aK) is defined, where each element ai of the vector represents one action for each tuple of players, and each action profile corresponds to an arrangement s of APs and users;
- the payoff or the utility function ui,j of a group of players in this case is , i.e., the expected difference between the total load and the sum of APs’ capacity.
| Algorithm 7 Cooperative user clustering mechanism |
| estimate the difference between the demand and capacity for each group of two neighbor Aps. 1: for i = 1 to N do 2: for j = i+1 to N do 3: estimate and using the average packet delay or the lengths of the transmit queues. Check if the APs are load balanced. 4: if . Increase the transmit power Pi of APi and decrease the transmit power Pj of APj. 5: else Decrease the transmit power Pi of APi and increase the transmit power Pj of APj. 6: end if 7: end for j 8: end for i 9: Each user checks the strengths of the received signal from each AP and chooses the AP from which the received signal has the highest power. |
3. Results
3.1. The Architecture of the Simulation Platform Used for the Evaluation of the LB Algorithms
3.1.1. The Traffic Generator Module
3.1.2. The Wireless Channel Simulator Module
3.2. The Architecture of the Simulation Platform Used for the Evaluation of the User Clustering Algorithms
3.3. Simulation Results and Discussions
3.3.1. Evaluation of the Proposed LB Algorithm over Parallel Virtual Tunnels
3.3.2. Practical Implementation Issues
3.3.3. Evaluation of the Proposed User Clustering Algorithms
- the two APs work separately, and no user clustering algorithm is used. The clustering of the users is performed only at the beginning of the simulation by attaching each user to the AP from which it receives the largest power–see Figure 14a.
- a non-cooperative type of user clustering is used, each AP adjusting its transmission power only based on its local QSI and CSI–see Figure 14b.
- a cooperative user clustering algorithm is used, each AP having access to the QSI and CSI of other APs or being controlled by an AP Controller who has access to all APs’ QSI and CSI. If the controller is used this module implements the AP cooperation process and sets the transmission power of each APs–see Figure 14c.
- the three APs work separately, and no user clustering algorithm is used. The clustering of the users is performed only at the beginning of the simulation by attaching each user to the AP from which it receives the largest power–see Figure 16a.
- a cooperative user clustering algorithm is used, and the APs power adjustment step is set to 1 dB–see Figure 16b.
- a cooperative user clustering algorithm is used, and the APs power adjustment step is set to 2 dB–see Figure 16c.
4. Conclusions
Author Contributions
Funding
Institutional Review Board Statement
Informed Consent Statement
Data Availability Statement
Conflicts of Interest
Appendix A. Data Traffic Modeling
Appendix A.1. Best Effort Traffic: FTP
- The size S of a file to be transferred;
- The reading time D, i.e., the time interval between the end of the download of the previous file and the beginning of the next file transfer.
| Parameter | Statistical Characterization |
|---|---|
| File Size S | Truncated Lognormal Distribution Mean = 2 Mbytes, Standard Deviation = 0.722 Mbytes, Maximum = 5 Mbytes (before truncation) pdf: , x > 0, σ = 0.35, μ = 14.45 |
| Reading Time D | Exponential Distribution Mean = 180 s pdf: x ≥ 0, λ = 0.006 |
Appendix A.2. Interactive Traffic: Web Browsing Using HTTP
- The main size of an object SM;
- The size of an embedded object in a page SE;
- The number of embedded objects ND;
- Reading time D;
- Parsing Time for the embedded page TP;
| Parameter | Statistical Characterization |
|---|---|
| Main Object Size SM | Truncated Lognormal distribution. Mean = 25,032 bytes, Standard Deviation = 10,710 bytes, Minimum = 100 bytes, Maximum = 2 Mbytes (before truncation) pdf: , x > 0, σ = 1.37, μ = 8.37 |
| Embedded Object Size SE | Truncated Lognormal distribution Mean = 126,168 bytes, Standard Deviation = 7758 bytes, Minimum = 50 bytes, Maximum = 2 Mbytes (before truncation). pdf: , x ≥ 0, σ = 2.36, μ = 6.17 |
| Number of Embedded Objects per Page = ND | Truncated Pareto distribution Mean = 5.64, Maximum = 53 (Before Truncation) pdf: , , α = 1.1, k = 2, m = 55 |
| Reading Time D | Exponential Distribution, Mean = 30 s pdf: , λ = 0.033 |
| Parsing Time TP | Exponential distribution, Mean = 0.13 s pdf: , λ = 7.69 |
Appendix A.3. VoIP Traffic
| Parameter | Statistical Characterization |
|---|---|
| Codec | RTP AMR 12.2, Source rate 12.2 kbps |
| Encoder frame length | 20 ms |
| Voice activity factor | 50% |
| SID (Silence Insertion Descriptor) payload | Modelled: 15 bytes (5 bytes + header) SID packet every 160 ms during silence |
| Protocol overhead with compressed header | 10 bits + padding (RTP-pre-header) 4 bytes (RTP/UDP/IP), 2 bytes (RLC/security), 16 bits (CRC) |
| Total voice payload on the air interface | 40 bytes (AMR 12.2) |
Appendix A.4. Video Streaming Traffic
| Parameter | Statistical Characterization |
|---|---|
| Inter-arrival time between the beginning of each frame | Deterministic 100 ms (based on 10 frames per second) |
| Number of packets (slices) in a frame | Deterministic, 8 packets per frame |
| Packet (slice) size | Truncated Pareto distribution Mean = m = 20 bytes, Maximum = 250 bytes (before truncation) |
| pdf: , , α = 1.2, k = 10 bytes | |
| Inter-arrival time between packets (slices) in a frame | Truncated Pareto distribution Mean = m = 6 ms, Maximum = 12.5 ms (before truncation) |
| pdf: , , α = 1.2, k = 2.5 ms |
Appendix A.5. Interactive Real-Time Services: Online Gaming
| Parameter | Statistical Characterization |
|---|---|
| Initial packet arrival | Uniform Distribution pdf: a = 0, b = 40 ms |
| Packet arrival | uplink: deterministic, 40 ms downlink: Largest Extreme Value distribution pdf: , a = 55 ms, b = 6 ms |
| Packet size | Largest Extreme Value distribution pdf: uplink: a = 45 bytes, b = 5.7 bytes downlink: a = 120 bytes, b = 36 bytes |
| UDP header | Deterministic (2 bytes). |
References
- 3GPP. TS 123.501 Version 16.6.0 Release 16—5G; System Architecture for the 5G System (5GS). Technical Specifications. October 2020. Available online: https://www.etsi.org/deliver/etsi_ts/123500_123599/123501/16.06.00_60/ts_123501v160600p.pdf (accessed on 10 September 2021).
- 5GPPP. View on 5G Architecture. White Paper, Version 3. February 2020. Available online: http://doi.org/10.5281/zenodo.3265031 (accessed on 12 September 2021).
- Okasaka, S.; Weiler, R.J.; Keusgen, W.; Pudeyev, A.; Maltsev, A.; Karls, I.; Sakaguchi, K. Proof-of-Concept of a Millimeter-Wave Integrated Heterogeneous Network for 5G Cellular. Sensors 2016, 16, 1362. [Google Scholar] [CrossRef] [PubMed]
- Hur, S.; Kim, T.; Love, D.J.; Krogmeier, J.V.; Thomas, T.A.; Ghosh, A. Millimeter Wave Beamforming for Wireless Backhaul and Access in Small Cell Networks. IEEE Trans. Comm. 2013, 61, 4391–4403. [Google Scholar] [CrossRef]
- Bhushan, N.; Li, J.; Malladi, D.; Gilmore, R.; Brenner, D.; Damnjanovic, A.; Sukhavasi, R.T.; Patel, C.; Geirhofer, S. Network Densification: The Dominant Theme for Wireless Evolution into 5G. IEEE Comm. Mag. 2014, 52, 82–89. [Google Scholar] [CrossRef]
- Chen, D.C.; Quek, T.Q.S.; Kountouris, M. Backhauling in Heterogeneous Cellular Networks: Modeling and Tradeoffs. IEEE Trans. Wireless Comm. 2015, 14, 3194–3206. [Google Scholar] [CrossRef]
- Legonkov, P.; Prokopov, V. Small Cell Wireless Backhaul in Mobile Heterogeneous Networks. Master’s Thesis, KTH Royal Institute of Technology, Stockholm, Sweden, July 2012. [Google Scholar]
- Chen, D.; Schuler, J.; Wainio, P. 5G Self-optimizing Wireless Mesh Backhaul. In Proceedings of the 2015 IEEE Conference on Computer Communications Workshops (INFOCOM WKSHPS), Hong Kong, China, 26 April–1 May 2015; pp. 23–24. [Google Scholar]
- 5G PPP. Vision on Software Networks and 5G. White Paper, Version 2.0. January 2017. Available online: https://5g-ppp.eu/wp-content/uploads/2014/02/5G-PPP_SoftNets_WG_whitepaper_v20.pdf (accessed on 17 October 2021).
- Bazzi, A.; Pasolini, G.; Andrisano, O. Multiradio Resource Management: Parallel Transmission for Higher Throughput? Eurasip J. Adv. Signal Process. 2008, 2008, 763264. [Google Scholar] [CrossRef]
- Louha, K.; Jun, J.H.; Agrawal, D.P. Exploring Load Balancing in Heterogeneous Networks by Rate Distribution. In Proceedings of the 2008 IEEE International Conference on Performance, Computing and Communications Conference (IPCCC 2008), Austin, TX, USA, 7–9 December 2008; pp. 427–432. [Google Scholar]
- Son, H.; Lee, S.; Kim, S.C.; Shin, Y.S. Soft Load Balancing Over Heterogeneous Wireless Networks. IEEE Trans. Veh. Technol. 2008, 57, 2632–2638. [Google Scholar]
- Wang, N.; Shi, W.; Fai, S.; Liu, Y. Flow Diversion-Based Vertical Handoff Algorithm for Heterogeneous Wireless Networks. J. Comput. Inf. Syst. 2011, 7, 4863–4870. [Google Scholar]
- Shi, W.; Li, B.; Li, N.; Xia, C. A Network Architecture for Load Balancing of Heterogeneous Wireless Networks. J. Netw. 2011, 6, 623–630. [Google Scholar] [CrossRef]
- Xu, J.; Jiang, Y.; Perkis, A. Multi-Service Load Balancing in a Heterogeneous Network with Vertical Handover. Adv. Electron. Telecommun. 2011, 2, 43–49. [Google Scholar]
- Macriga, G.A.; Surya, V.S. Location Management and Resource Allocation Using Load Balancing in Wireless Heterogeneous Networks. In Advances in Computer Science and Information Technology. Networks and Communications, Lecture Notes of the Institute for Computer Sciences, Social Informatics and Telecommunications Engineering; Springer: Berlin/Heidelberg, Germany, 2012; Volume 84, pp. 383–393. [Google Scholar]
- Nguyen-Vuong, Q.-T.; Agoulmine, N. Efficient Load Balancing Algorithm over Heterogeneous Wireless Packet Networks. Rev. J. Electron. Comm. 2011, 1, 53–61. [Google Scholar] [CrossRef]
- Tsompanidis, I.; Zahran, A.H.; Sreenan, C.J. Towards Utility-Based Resource Management in Heterogeneous Wireless Networks. In Proceedings of the 7th ACM International Workshop on Mobility in the Evolving Internet Architecture (MobiArch’12), Istanbul, Turkey, 22 August 2012; pp. 23–28. [Google Scholar]
- Yang, J. A Markov Decision Process (MDP) Based Load Balancing Algorithm for Multi-Cell Networks with Multi-Carriers. KSII Trans. Internet Inf. Syst. 2014, 8, 3394–3408. [Google Scholar]
- Thai, M.-T.; Lin, Y.-D.; Lai, Y.-C. A Joint Network and Server Load Balancing Algorithm for Chaining Virtualized Network Functions. In Proceedings of the 2016 IEEE International Conference on Communications (ICC 2016), Kuala Lumpur, Malaysia, 22–27 May 2016; pp. 1–6. [Google Scholar]
- De Schepper, T.; Latre, S.; Famaey, J. A Transparent Load Balancing Algorithm for Heterogeneous Local Area Networks. In Proceedings of the 2017 IFIP/IEEE Symposium on Integrated Network and Service Management (IM 2017), Lisbon, Portugal, 8–12 May 2017; pp. 160–168. [Google Scholar]
- Hossain, S.; Jahid, A.; Islam, K.Z.; Alsharif, M.H.; Rahman, K.M.; Rahman, F.; Hossain, F. Towards Energy Efficient Load Balancing for Sustainable Green Wireless Networks Under Optimal Power Supply. IEEE Access 2020, 8, 200635–200654. [Google Scholar] [CrossRef]
- Ai, N.; Wu, B.; Li, B.; Zhao, Z. 5G Heterogeneous Network Selection and Resource Allocation Optimization Based on Cuckoo Search Algorithm. Comput. Commun. 2021, 168, 170–177. [Google Scholar] [CrossRef]
- Mamane, A.; EL Ghazi, M.; Barb, G.-R.; Otesteanu, M. 5G Heterogeneous Networks: An Overview on Radio Resource Management Scheduling Schemes. In Proceedings of the 2019 7th Mediterranean Congress of Telecommunications (CMT), Fez, Morocco, 24–25 October 2019; pp. 1–5. [Google Scholar]
- Hassine, K.; Frikha, M.; Chahed, T. Access Point Backhaul Resource Aggregation as a Many-to-One Matching Game in Wireless Local Area Networks. Wirel. Commun. Mob. Comput. 2017, 2017, 3523868. [Google Scholar] [CrossRef]
- Siar, H.; Kiani, K.; Chronopoulos, A.T. A Combination of Game Theory and Genetic Algorithm for Load Balancing in Distributed Computer Systems. Int. J. Adv. Intell. Paradig. 2016, 9, 82–95. [Google Scholar] [CrossRef]
- Mondal, S.; Das, G.; Wong, E. A Game-Theoretic Approach for Non-Cooperative Load Balancing Among Competing Cloudlets. IEEE Open J. Comm. Soc. 2020, 1, 226–241. [Google Scholar] [CrossRef]
- Swathy, R.; Vinayagasundaram, B.; Rajesh, G.; Nayyar, A.; Abouhawwash, M.; Elsoud, M.A. Game Theoretical Approach for Load Balancing Using SGMLB Model in Cloud Environment. PLoS ONE 2020, 15, e0231708. [Google Scholar] [CrossRef]
- Mrhari, A.; Hadi, Y. Load Balancing on the Data Center Broker Based on Game Theory and Metaheuristic Algorithms. Complex Syst. 2020, 29, 711–728. [Google Scholar] [CrossRef]
- Kishora, A.; Niyogia, R.; Veeravallib, B. A Game-Theoretic Approach for Cost-Aware Load Balancing in Distributed Systems. Future Gener. Comput. Syst. 2020, 109, 29–44. [Google Scholar] [CrossRef]
- Asif, M.; Rehman, E.; Saleem, T.; Abid, M.; Habib, M.; Aslam, M.; Jilani, S.F. Incentive-Based Schema Using Game Theory in 5/6G Cellular Network for Sustainable Communication System. Sustainability 2022, 14, 10163. [Google Scholar] [CrossRef]
- Polgar, Z.A.; Varga, M. Game Theory Based Load Balancing Algorithms Over Multiple Virtual Tunnels. In Proceedings of the 2022 45th International Conference on Telecommunications and Signal Processing (TSP), Prague, Czech Republic, 13–15 July 2022; pp. 110–115. [Google Scholar]
- Ephraim, Y.; Coblenz, J.; Mark, L.; Lev-Ari, H. Mixed Poisson Traffic Rate Network Tomography. In Proceedings of the 2021 55th Annual Conference on Information Sciences and Systems (CISS), Baltimore, MD, USA, 19 April 2021; pp. 1–6. [Google Scholar]
- Adan, I.; Resing, J. Queueing Theory, 1st ed.; Department of Mathematics and Computing Science, Eindhoven University of Technology: Eindhoven, The Netherlands, 2001. [Google Scholar]
- Shen, W.; Li, Y.; Ghenniwa, H.H.; Wang, C. Adaptive Negotiation for Agent-Based Grid Computing. In Proceedings of the 2002 1st International Joint Conference on Autonomous Agents & Multiagent Systems (AAMAS’02), Bologna, Italy, 15–19 July 2002; pp. 32–36. [Google Scholar]
- Pertovt, E.; Javornik, T.; Mohorcic, M. Game Theory Application for Performance Optimization in Wireless Networks. Elektrotehniški Vestn. Engl. Ed. 2011, 78, 287–292. [Google Scholar]
- Roughgarden, T. Routing Games. In Algorithmic Game Theory, 1st ed.; Nisan, N., Roughgarden, T., Tardos, E., Vazirani, V.V., Eds.; Cambridge University Press: Cambridge, MA, USA, 2007; pp. 461–486. [Google Scholar]
- Roughgarden, T. The Price of Anarchy is Independent of the Network Topology. J. Comput. Syst. Sci. 2003, 67, 341–364. [Google Scholar] [CrossRef]
- Easley, D.; Kleinberg, J. Networks, Crowds, and Markets: Reasoning About a Highly Connected World, 1st ed.; Cambridge University Press: Cambridge, MA, USA, 2010. [Google Scholar]
- Touati, C.; Altman, E.; Galtier, J. Generalized Nash Bargaining Solution for bandwidth allocation. Comput. Netw. 2006, 50, 3242–3263. [Google Scholar] [CrossRef]
- Shao, Y.; Xu, H.; Yin, W. Solve Zero-One Knapsack Problem by Greedy Genetic Algorithm. In Proceedings of the 2009 International Workshop on Intelligent Systems and Applications, Wuhan, China, 23–24 May 2009; pp. 1–4. [Google Scholar]
- Kiss, Z.I.; Hosu, A.C.; Varga, M.; Polgar, Z.A. Load Balancing Solutions for Heterogeneous Wireless Networks Based on the Knapsack Problem. In Proceedings of the 2015 38th International Conference on Telecommunications and Signal Processing (TSP), Prague, Czech Republic, 9–11 July 2015; pp. 1–6. [Google Scholar]
- 3GPP. TSG-RAN1#48, R1-070674—LTE Physical Layer Framework for Evaluation. Technical Specifications. February 2007. Available online: https://www.3gpp.org/ftp/tsg_ran/WG1_RL1/TSGR1_48/Docs (accessed on 20 November 2021).
- IEEE. IEEE P802.20-PD-10—System Requirements for IEEE 802.20 Mobile Broadband Wireless Access Systems. 802.20 Permanent Document. September 2005. Available online: https://grouper.ieee.org/groups/802/20/Documents.htm (accessed on 25 November 2021).
- Bolton, W.; Xiao, Y.; Guizani, M. IEEE 802.20: Mobile Broadband Wireless Access. IEEE Wirel. Commun. 2007, 14, 84–95. [Google Scholar] [CrossRef]
- Monogioudis, P.; Kogiantis, A. Wideband Extension of the ITU Profiles with Desired Spaced-Frequency Correlation, IEEE C802.16m-07/181. September 2007. Available online: https://ieee802.org/16/tgm/contrib/C80216m-07_157.pdf (accessed on 8 December 2021).
- Powers, S. Queuing in the Linux Network Stack. Linux J. 2013, 2013, 2. Available online: https://www.linuxjournal.com/content/july-2013-issue-linux-journal-networking (accessed on 27 October 2022).

















| Tunnel | Max/Min | Mean | Median | Std. |
|---|---|---|---|---|
| 1–red | 24/14.5 Mbps | 20.15 Mbps | 21.25 Mbps | 2.85 Mbps |
| 2–blue | 18.5/14.25 Mbps | 16.5 Mbps | 16.5 Mbps | 1.15 Mbps |
| 3–cyan | 14.75/1.5 Mbps | 6.5 Mbps | 5.75 Mbps | 4 Mbps |
| 4–green | 8.5/5.25 Mbps | 6.75 Mbps | 6.75 Mbps | 0.925 Mbps |
| Traffic Type | Traffic Mixture | LB Parameter |
|---|---|---|
| VoIP | 20% | |
| Video streaming | 20% | |
| Online gaming | 10% | |
| Web browsing-HTTP | 30% | |
| File transfer-FTP | 20% |
| LB Algorithm | cdf Function/Packet Delay (ms) | |||
|---|---|---|---|---|
| Combinatorial Auction | 0.23/20 ms | 0.58/40 ms | 0.8/60 ms | 0.95/80 ms |
| Auction | 0.08/20 ms | 0.22/40 ms | 0.36/60 ms | 0.54/80 ms |
| Selfish routing no signaling penalty | 0.01/20 ms | 0.09/40 ms | 0.21/60 ms | 0.28/80 ms |
| Multiple Knapsack | 0.025/20 ms | 0.1/40 ms | 0.21/60 ms | 0.38/80 ms |
Disclaimer/Publisher’s Note: The statements, opinions and data contained in all publications are solely those of the individual author(s) and contributor(s) and not of MDPI and/or the editor(s). MDPI and/or the editor(s) disclaim responsibility for any injury to people or property resulting from any ideas, methods, instructions or products referred to in the content. |
© 2023 by the authors. Licensee MDPI, Basel, Switzerland. This article is an open access article distributed under the terms and conditions of the Creative Commons Attribution (CC BY) license (https://creativecommons.org/licenses/by/4.0/).
Share and Cite
Polgar, Z.A.; Varga, M. Game Theory-Based Load-Balancing Algorithms for Small Cells Wireless Backhaul Connections. Appl. Sci. 2023, 13, 1485. https://doi.org/10.3390/app13031485
Polgar ZA, Varga M. Game Theory-Based Load-Balancing Algorithms for Small Cells Wireless Backhaul Connections. Applied Sciences. 2023; 13(3):1485. https://doi.org/10.3390/app13031485
Chicago/Turabian StylePolgar, Zsolt Alfred, and Mihaly Varga. 2023. "Game Theory-Based Load-Balancing Algorithms for Small Cells Wireless Backhaul Connections" Applied Sciences 13, no. 3: 1485. https://doi.org/10.3390/app13031485
APA StylePolgar, Z. A., & Varga, M. (2023). Game Theory-Based Load-Balancing Algorithms for Small Cells Wireless Backhaul Connections. Applied Sciences, 13(3), 1485. https://doi.org/10.3390/app13031485

