Next Article in Journal
Skin Condition and Behavioral Factors in High-Performance Athletes Based on the Example of Professional Dance—An Explorative Pilot Project
Previous Article in Journal
SA-SGRU: Combining Improved Self-Attention and Skip-GRU for Text Classification
Previous Article in Special Issue
Safety Workplace: The Prevention of Industrial Security Risk Factors
 
 
Font Type:
Arial Georgia Verdana
Font Size:
Aa Aa Aa
Line Spacing:
Column Width:
Background:
Article

Validation of a Horizontally Dynamic Armrest for Joystick Controlled Mobile Equipment

School of Engineering, University of Guelph, Guelph, ON N1G 2W1, Canada
*
Author to whom correspondence should be addressed.
Appl. Sci. 2023, 13(3), 1294; https://doi.org/10.3390/app13031294
Submission received: 1 November 2022 / Revised: 5 January 2023 / Accepted: 10 January 2023 / Published: 18 January 2023

Abstract

The purpose of this work was to validate an addition to a dynamic armrest design (DA) for use during inward–outward and fore–aft joystick manipulation. The design was validated compared to a stationary armrest (SA) and no armrest (NA) using surface electromyography (EMG) and a questionnaire. The DA was not successful in reducing muscle activation for inward–outward movements when compared to the SA. Furthermore, the addition of inward–outward dynamic portion negated the improvements seen with the fore–aft dynamic armrest design. Despite the lack of significant muscular activation findings, most participants preferred the DA to the SA or NA. However, unlike the fore–aft dynamic armrest, which was found to successfully reduce muscle activation in multiple muscles involved in joystick manipulation, results suggest that the horizontally dynamic support addition may not be necessary for inward and outward joystick movements.

1. Introduction

Joysticks are used for operation of large mobile machinery in many industries, including forestry [1,2,3], mining [4,5], and construction [6]. Operators in the forestry industry can be working hand operated controls for up to 95% of their working hours [3], where it has been reported that skilled forestry machine operators make as many as 20,000 movements over a 10 h work day [7]. Operators of joystick-controlled machines have been known to suffer from neck, shoulder, and arm pain [1,2,3,8]. The musculoskeletal problems reported by joystick operators may be due to the repetitive nature of the task [9,10].
Several studies have reported constant low-level loading during joystick controller use at or above 2% maximum voluntary contraction (MVC) in the upper trapezius (UT) [1,11,12,13,14]. It has been shown that the constant low-level loading during joystick use may lead to repetitive strain injuries in the shoulder and neck muscles [15].
A number of upper arm and shoulder muscles are activated during joystick controller use (Table 1). Mini-levers and pronated hand levers have been investigated as alternatives to conventional joysticks to reduce the input force and displacement associated with typical North American machine controls. Two studies found that using a mini-lever could decrease the loading in the upper trapezius, thus maintaining or improving productivity when coupled with a moveable armrest [1,16]. Similar results were seen in another study, which also determined that mini levers decreased musculoskeletal symptoms [8]. However, mini levers have a higher precision requirement because of the smaller control form factor and throw. Attebrant et al. [1] found that the higher precision requirements increased upper trapezius (UT) muscle activation. A study on pronated hand levers showed that operators of pronated hand levers had a higher incidence of pain in the elbow and shoulder and took more sick days due to arm pain [2]. In addition, fast, miniature, and conventional steering wheels have been investigated as an alternative to first- and second-order joysticks [17]. Joysticks were found to be ergonomically superior to steering wheel input devices; however, all five steering devices investigated exceeded joint angle or muscle activity guidelines [17]. Furthermore, some researchers have attempted to reposition controls in the cab with the ultimate goal of reducing muscle activation. However, despite reductions in forearm muscle loading, muscle activation [18] was still well above guidelines [19,20]. Given that joysticks design alterations have not resulted in clear-cut reductions in repetitive strain injury risk, some researchers have chosen to redesign the armrest rather than the joystick.
Armrests are used in joystick controlled mobile machines to support the forearm, which may reduce the need for shoulder and neck musculature to stabilize the arm. Both forearm support and shoulder posture influence muscle activation of the UT and anterior deltoid (AD), where increased muscle activation was observed with increased shoulder flexion and lack of forearm support [21]. Similarly, a neck support has been shown to reduce muscle loading in the neck during tasks with prolonged neck flexion [22]. Several studies have investigated whether armrests reduce muscle activation while completing workplace tasks; however, they have been divided in their results. Schüldt et al. [23] showed that the use of an arm support successfully reduced neck and shoulder muscle activation when compared to no arm support. Another study found that using an armrest (among other ergonomic workplace improvements) reduced muscle activation in the UT [24]. In contrast, research by Lindbeck [25], as reported by Hansson [3], found no significant difference between shoulder and neck muscle activity when comparing a stationary armrest to no armrest. Although the difference was not significant, there was a reduction in UT muscle activation while participants used the armrest for all joystick movement directions except aft. It is hypothesized that this was because a stationary armrest impeded the natural downward motion of the elbow during aft joystick movements.
A translating dynamic armrest designed for joystick use was studied by Attebrant et al. [1], and it was determined that this armrest lowered the UT loading. However, it also increased muscle activation in the flexor carpi radialis (FCR) and extensor carpi ulnaris (ECU), which are important during inward and outward joystick movements. It may not have been entirely successful because it only translated in the fore–aft direction and did not follow natural forearm pendulation (i.e., the up-and-down movement of the elbow and wrist during joystick controller use). Murphy and Oliver [26] designed an armrest that translated in the fore–aft direction and followed forearm pendulation during fore–aft joystick motion. A validation study showed that the armrest successfully reduced muscle activation in the UT, AD, and posterior deltoid (PD) [27]. It should be noted that neither of these dynamic armrests fully supported the arm during inward and outward movements. As indicated by Attebrant et al. [1], the muscles responsible for inward and outward joystick movements may be negatively impacted by these armrest designs. It is hypothesized that a horizontally (inward–outward) dynamic addition to a fore–aft dynamic armrest that follows the forearm during inward and outward movements could be beneficial in reducing the activation of the wrist flexor and extensor muscles.
Therefore, the purpose of this study was to determine if a horizontally dynamic addition [28] to the fore–aft dynamic armrest designed by Murphy and Oliver [26,27] could reduce muscle activation in upper limb and neck muscles involved in joystick motion. If a reduction in muscle activation is achieved, the armrest could give more comfort to operators of large mobile machines and potentially reduce the incidence of work-related shoulder and neck musculoskeletal injuries. Lastly, this study served to ensure that the addition of a horizontal dynamic component did not reduce or negate benefits of the Murphy and Oliver [26,27] fore–aft dynamic armrest.

2. Materials and Methods

Participants were seated in a mock-up of an excavator cab with a North American hydraulic actuation joystick (Figure 1). Participants performed inward, outward, fore, and aft joystick movements while using the combined fore–aft and side-to-side dynamic armrest (DA) (Figure 2), a stationary armrest (SA) (Figure 1), and no armrest (NA), while EMG data were collected. The horizontally dynamic portion of the armrest had 15.5 cm between end stops. Both the fore–aft and inward–outward mechanisms of the dynamic armrest were active throughout testing.
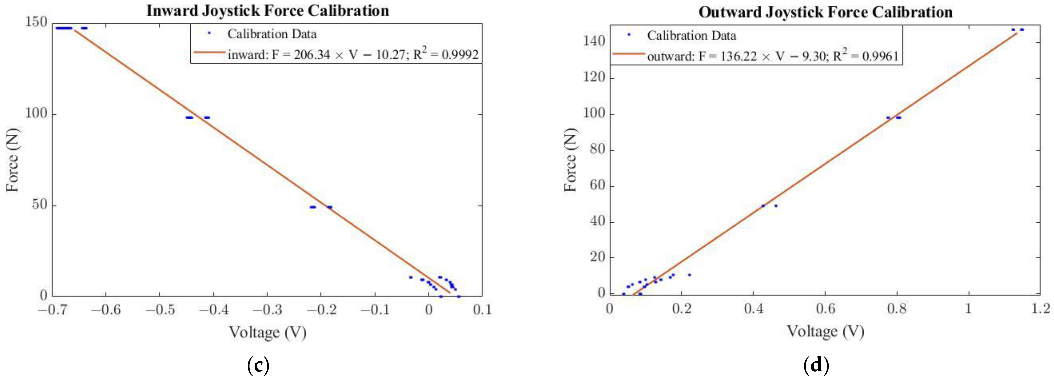
The joystick was instrumented with strain gauges which were used to determine when the joystick was in the neutral position and when it was being moved. Eight ¼ bridge strain gauges were configured into two full-bridge setups (EA-06-060PB-350, Measurements Group Inc., Micro-Measurements Division, Raleigh, North Carolina; resistance 350% ± 0.2% ohms; gauge factor 2.105% ± 0.5%; transverse sensitivity +0.7% ± 0.2%). Each full bridge setup was used to quantify movement in one axis (fore–aft, inward–outward). In each axis, forces in the fore and outward directions were positive strain (tensile), and those in the aft and inward directions were negative strain (compressive). Strain gauges were calibrated to assess operator force applications for the inward, outward, fore, and aft directions according to methods developed by Murphy and Oliver [12]. The joystick was positioned horizontally, and calibration data were collected by hanging masses (i.e., 0 kg, 0.4043 kg, 0.5347 kg, 0.6722 kg, 0.8051 kg, 0.9401 kg, 1.078 kg, 5 kg, 10 kg, and 15kg) for each joystick movement direction (fore, aft, inward, and outward). The calibration data were fit using a linear regression, resulting in four calibration equations, one for each joystick movement direction (Figure 3).

2.1. Participants

Fifteen male participants were recruited for this study from a university population. Prior to testing, approval was obtained from the University of Guelph Research Ethics Board. Participants had no previous training in operating joysticks in large vehicles. They had no recent history of musculoskeletal disorders or upper limb injuries that could have interfered with the results. Participants were split into three bins (short, medium, and tall) on the basis of their stature [29] (Table 2).

2.2. EMG Setup

A DelSys Bagnoli-8 system (Delsys Inc., Boston, MA, USA) was used to collect EMG data. These data were used to determine whether the muscle activation in the arm and shoulder muscles were reduced when using the dynamic armrest in comparison to a stationary armrest and no armrest. The system had a gain of 1000, bandwidth of 20–450 Hz, and common mode rejection ratio of >84 dB. Electromyography signals were 16 bit A/D converted at a sampling rate of 2000 Hz using WorkStation software (v4.6, Vicon Peak, Oxford, UK). Located in accordance with Cram et al. [30], bipolar surface electrodes were attached centrally over the centre of the muscle belly and aligned parallel to the muscle fibers. Eight muscles were monitored on the right side: biceps brachii (BB), triceps brachii (TB), anterior deltoid, posterior deltoid, upper trapezius, pectoralis major (PM), extensor carpi radialis (ECR), and flexor carpi radialis (FCR). A reference electrode was placed over the medial epicondyle. The skin was cleansed with alcohol and lightly abraded prior to electrode placement to reduce electrode resistance. Electrode resistance was measured with a standard ohmmeter, and, if impedance exceeded 20 k (i.e., less than 100 times the impedance of the amplifier), electrodes were removed and replaced until the condition was met.

2.3. Test Protocol

Participants were familiarized with the experimental procedures and asked to provide informed consent before the experiment began. Participants were asked complete a Physical Activity Readiness Questionnaire (PAR-Q) [31], and their blood pressure was measured. Participants that were suffering from hand, arm, shoulder, back, or neck pain, and participants with high blood pressure were excluded from the study. Participants were also excluded if they were deemed unfit to perform regular physical activity by the PAR-Q. Participants with high blood pressure were excluded because it has been shown that exertions above 80% one-repetition maximum (1 RM) can cause a participant to perform a Valsalva maneuver [32] which could be hazardous if an individual already has high blood pressure.
Following placement of the EMG electrodes, adjustments were made to the chair setup to ensure consistent participant posture. The participant’s feet were flat on the floor, with knees bent at 90°, and they were seated all the way back in the chair. The joystick location was changed so that in the neutral joystick position, the participant’s forearm was parallel to the floor, and the joystick grip rested comfortably in their hand. Before testing, participants were harnessed to the chair using a Leaf Racewear four-point harness (Leaf Racewear, London, ON, Canada) to ensure that the torso did not move during joystick manipulation (Figure 1). The purpose of the harness was to isolate the movement and exclude trunk motions, thus ensuring that joystick movement was performed only with the arm. This posture was maintained throughout the task specific reference voluntary contraction (tMVC) trials and all three armrest conditions. For the DA trials, both the fore–aft and horizontal dynamic portions of the armrest were active. The participant’s forearm was loosely secured to the armrest by an adjustable strap such that the arm was positioned in a constant location on the armrest as per Murphy and Oliver [27]. This helped to reduce the operator input force required to move the armrest and joystick, thereby acting to reduce the muscle loading requirements. Although it is unlikely to be used in an occupational setting, the strap was used to simplify the design for testing and proof of concept.
For EMG processing purposes, tMVCs were performed following a similar protocol to Oliver et al. [14]. For each joystick movement direction, two tMVCs were collected from each participant immediately before the commencement of experiment trials. For each joystick motion direction (inward, outward, fore, and aft), participants were asked to move the joystick to the end point in the specified direction and perform a maximal contraction in that position by flexing all right arm and shoulder muscles as hard as possible. Each contraction lasted no longer than 10 s, and 1 min or more of rest was given between each contraction depending on the participant’s stated fatigue level. Following each tMVC, participants were asked if they felt they reached their maximum voluntary muscle contraction force, and, if they had not, the contraction was repeated after 1 min or more of rest. The largest of the two tMVCs was chosen as the tMVC for a given movement direction.
To familiarize themselves with the joystick movements they would be performing, each participant performed three movements in each motion direction (inward, outward, fore, and aft), for each of the armrest conditions: NA, SA, and DA. Participants were given the movement direction verbally directly prior to each trial and were instructed to not use excessive force, but to manipulate the joystick in a way that felt natural to them. The order of the 12 movements was randomized within each armrest condition as was the presentation order of the three armrest conditions. Immediately following data collection, participants were asked to fill in a questionnaire from Murphy and Oliver [27] about the perceived discomfort, effort, and effectiveness of the individual armrest conditions. Participants marked the perceived discomfort, effort, and effectiveness on a continuous horizontal scale with seven total points, where the two end points indicated the opposite extremes. For perceived effort and discomfort, the leftmost side of the scale was anchored at 0 (none) while the rightmost side of the scale was anchored at 6 (tremendous). Overall effectiveness was rated between not (0) on the leftmost anchor and effective (6) on the anchor of the scale. Participants were instructed to mark anywhere along the scale. To evaluate their scores, the researcher anchored their ruler at 0 and measured across. Participants circled which armrest condition they most preferred. Participant involvement lasted approximately 1.5 h.

2.4. Data Analysis

EMG data were analyzed using custom Matlab™ code (Matlab version 7.8, The MathWorks Inc., Natick, MA, USA). For each participant, the EMG data and the tMVC trials were loaded. Each individual file was bandpass-filtered between 20 and 400 Hz, full-wave-rectified, and passed through a 6 Hz linear envelope [33]. EMG data were then normalized using the tMVC of the corresponding movement direction, and each file was cleaved to the joystick movement. This was performed by plotting the joystick strain gauge output and manually selecting the start and end point of the joystick movement. The starting point was where the strain gauge output changed from a horizontal line with a slope of zero to a nonzero slope. The end point occurred where the strain gauge data returned to the initial voltage position and remained horizontal, indicating that the participant had finished applying force to the joystick (Figure 4). All EMG data were then cleaved according to the chosen start and end points. The repetitions of each condition (e.g., inward trials for the dynamic armrest) were normalized to the same length and averaged.
Joystick input force data were calculated from strain gauge data. Strain gauge data were filtered using a second-order low-pass Butterworth filter with a cutoff of 30 Hz [12]. The average maximum voltage across a set of three repetitions was determined, and the calibration equations were applied to determine peak joystick input force.
Finally, peak EMG (pEMG) was determined by finding the maximum EMG value for each averaged file, and integrated EMG (iEMG) was calculated for each averaged file using trapezoidal integration.

2.5. Statistical Analyses

Statistical analyses were used to determine if the three armrest conditions affected muscle activation. All statistical analyses were performed using Minitab (version 20.3, Minitab, State College, PA, USA). ANOVAs were used to assess iEMG, pEMG, and force variables for the eight muscles, four movement directions (inward, outward, fore, and aft), three armrest conditions (dynamic, static, and none), and three statures (short, medium, and tall).
ANOVAs were performed on the results from the questionnaire to assess the question responses for the three statures and three armrest conditions.
To account for multiple measures being obtained on the same participants, the participant was included in all statistical models as a random effect [34]. When required to meet conditions of normality, response variables were transformed using a Box–Cox transformation. When appropriate, Bonferroni post hoc procedures were performed. A significance level of p < 0.01 was used for the EMG and joystick input force models because of the large number of ANOVA procedures run. A significance level of p < 0.05 was used for the questionnaire.

3. Results

3.1. EMG Results

For inward movements, UT, ECR, and AD had the highest activations. For outward movements, PM, UT, FCR, and PD had the largest activations. During fore joystick movements, UT, AD, and PM had the largest activations, while UT, PM, ECR, and PD had the largest activations during aft joystick movements. Table 3 and Table 4 provide pEMG and iEMG values normalized to tMVC.
Table 5 shows a summary of the statistically significant results for pEMG and iEMG. The DA decreased the activation of the BB during fore movements and AD during aft movements. However, the DA increased muscle activation of the FCR during fore movements, as well as the PD and TRI during aft and inward movements when compared to the SA. It should be noted that, despite a significant effect due to armrest being found for iEMG (p = 0.007) and pEMG (p = 0.007) for aft movements (Table 5), the Bonferroni post hoc tests did not identify any differences between pairs of conditions. There were no significant differences in ECR, UT, and AD muscle activation during inward movements between the SA and DA. During aft and inward movements, the muscle activation of the PD was significantly lower while using NA compared to DA. Notably, there were no significant differences observed for any response variables between statures.
Muscle activation in the arm (Figure 5), shoulder, neck, and chest (Figure 6) varied throughout the joystick motion cycle.

3.2. Joystick Input Force Results

For peak joystick input force in the aft direction, a significant main effect was found for armrest (p = 0.003, F(2,24) = 7.47, ηp2 = 0.38) with significantly higher forces observed for NA than DA (Table 6).

3.3. Questionnaire Results

Out of the 15 participants, nine preferred the DA, four preferred the SA, and one preferred NA. One participant could not decide between the DA and the SA. Although some participants preferred the SA, two of them stated that they preferred the DA for inward and outward movements. There were no significant differences in questionnaire responses between statures and there were no significant interactions.
In terms of overall effectiveness, the DA was perceived by participants to be more effective than the SA. Participants were also asked to rate the perceived effort, perceived discomfort, and overall effectiveness of all three armrest conditions. Results indicated statistically significant differences across the armrest conditions for perceived discomfort, perceived effort, and overall effectiveness (Table 7). The DA resulted in a lower perceived discomfort when compared to the NA. Interestingly, there was no significant difference in perceived effort between the armrest conditions. Means and standard deviations for each armrest and questionnaire response are provided in Table 8.

4. Discussion

Results for iEMG and pEMG were largely in agreement with Oliver et al. [14] with the exception of the high activity of the AD during inward movements, which participants may have used to assist with medial rotation of the arm [35].
The dynamic armrest increased or did not significantly change muscle activation in the BB, ECR, FCR, TRI, and UT when compared with the static armrest. The DA did not significantly reduce activation in the ECR and FCR compared to the SA and NA during inward and outward motions. Interestingly, the NA decreased activation of the AD and ECR during inward movements, and decreased activation of the FCR during outward movements when compared to the SA. In addition, the DA increased activation of the FCR during fore movements, as well as the activation of the PD and TRI during aft and inward movements when compared to the SA. Fore–aft dynamic armrests were shown to reduce activation in the UT [1,27], PD, and AD [27]; however, these reductions in activation were not observed with the addition of a horizontally dynamic armrest on top of a pendulating fore–aft dynamic armrest.
The success of the DA was determined on the basis of whether it reduced muscle activation in the eight muscles tested, especially the FCR and ECR muscles in comparison to a SA and NA, as these are two of the most important muscles involved in inward–outward joystick manipulation [14]. The DA did not significantly reduce the activation of any muscle groups during inward and outward joystick movements when compared to the SA. Furthermore, decreased activation was observed in the PD (aft) and AD (inward) when using NA compared to DA. The only cases in which the DA significantly reduced muscle activation when compared to the SA was for the BB during fore movements and the PD during aft movements. In addition, the introduction of inward–outward dynamics to the fore–aft dynamic armrest, removed the previously observed improvements in muscle activation [27], thus negating any benefits gained via the fore–aft pendulating mechanism. Therefore, on the basis of the EMG measures, the DA was not successful in reducing muscle activation levels over the NA and SA conditions.
Interestingly, regardless of armrest used, the joystick input force in the fore and outward directions was about three times larger than the force exerted in the inward and aft directions. The elevated joystick input forces observed during outward movements were likely due to participants hitting the end stops harder during outward movements than inward movements. Although the design of the dynamic armrest does not restrict range of motion, the differences in joystick input force may be due to differences in upper-limb joint range of motion dependent on joystick movement speed [36] and direction [12]. This increase in force may be due to the added mass resulting from the horizontally dynamic armrest prototype, as participants had to overcome its inertia to complete the joystick throw. This could possibly be reduced in future prototypes by reducing the mass of the horizontally dynamic armrest portion, which could be achieved by using a lightweight composite such as carbon fiber instead of aluminum.
Questionnaire results showed that the DA was perceived to be significantly more comfortable than NA. Most participants preferred the DA and rated it as more effective and requiring less effort than the SA. Although participants indicated preference for the DA, these preferences may be due to individual support needs [37,38] as improvements were not reflected in the EMG measures. Therefore, the inward–outward addition to the fore–aft dynamic armrest is still considered unsuccessful.
As is the case with most investigations, there were a number of limitations. Participants were not familiar with joystick operation and a strap was used to secure the dynamic forearm support to the arm to ensure good coupling and constant positioning with the armrest. It is also probable that skilled operators would not slam the joystick to the hard end position as was observed with outward and fore movements. However, it could certainly be representative of people training to use joysticks. Furthermore, the short exposure duration to each design does reduce the value of the subjective ratings obtained from the questionnaire results. Our previous work demonstrated that fore and aft movements are the most problematic from a muscle loading perspective given the reduced support provided during fore joystick motions and constraints provided during aft movements [14]. While the experiment mimicked an excavator seat and controller setup quite well, the task was obviously not completely representative of the actual occupational task. However, prior to conducting field tests using skilled machine operators, the authors felt that it was critical to establish the efficacy of the armrest under rigorously controlled conditions. Lastly, 15 unskilled participants were utilized in this study due to their availability.

5. Conclusions

Overall, the dynamic armrest was not successful in reducing the muscle activation over the SA armrest condition, and the addition inward–outward dynamics negated the previously seen benefits of the fore–aft dynamics armrest. While participants preferred the DA overall, and rated it the most comfortable and effective, the gains made versus the added armrest design complexity and associated cost probably do not support adding inward–outward capabilities to the Murphy and Oliver fore–aft dynamic armrest.

Author Contributions

Conceptualization, M.E.G. and M.L.O.; methodology, M.E.G., D.B. and M.L.O.; formal analysis, M.E.G. and D.B.; investigation, D.B.; writing—original draft preparation, M.E.G. and D.B.; writing—review and editing, M.E.G. and M.L.O.; supervision, M.L.O.; funding acquisition, M.L.O. All authors have read and agreed to the published version of the manuscript.

Funding

This research was funded by the Natural Sciences and Engineering Research Council of Canada (90471462) and the Canadian Foundation for Innovation (7232).

Institutional Review Board Statement

The study was conducted in accordance with the Declaration of Helsinki and approved by the Institutional Research Ethics Boards of the University of Guelph (protocol code 11SE013, 11 September 2013).

Informed Consent Statement

Informed consent was obtained from all subjects involved in the study.

Data Availability Statement

Access to data is restricted due to restrictions placed by the University of Guelph Research Ethics Board to protect the privacy of the study participants.

Conflicts of Interest

The authors declare no conflict of interest.

References

  1. Attebrant, M.; Winkel, J.; Mathiassen, S.E.; Kjellberg, A. Shoulder-Arm Muscle Load and Performance during Control Operation in Forestry Machines Effects of Changing to a New Arm Rest, Lever and Boom Control System. Appl. Ergon. 1997, 28, 85–97. [Google Scholar] [CrossRef]
  2. Grevsten, S.; Sjögren, B. Symptoms and Sickleave among Forestry Machine Operators Working with Pronated Hands. Appl. Ergon. 1996, 27, 277–280. [Google Scholar] [CrossRef]
  3. Hansson, J.E. Ergonomic Design of Large Forestry Machines. Int. J. Ind. Ergon. 1990, 5, 255–266. [Google Scholar] [CrossRef]
  4. Burgess-Limerick, R.; Zupanc, C.M.; Wallis, G. Directional Control–Response Compatibility of Joystick Steered Shuttle Cars. Ergonomics 2012, 55, 1278–1283. [Google Scholar] [CrossRef]
  5. Cloete, S.; Zupanc, C.; Burgess-Limerick, R.; Wallis, G. Control Order and Visuomotor Strategy Development for Joystick-Steered Underground Shuttle Cars. Hum. Factors 2014, 56, 1177–1188. [Google Scholar] [CrossRef]
  6. Bae, J.; Kim, K.; Hong, D. Automatic Identification of Excavator Activities Using Joystick Signals. Int. J. Precis. Eng. Manuf. 2019, 20, 2101–2107. [Google Scholar] [CrossRef]
  7. Golsse, J.M. Ergonomic Evaluation of Feller-Buncher Cabs and Controls–Technical Note; Forest Engineering Research Institute of Canada–Wood Harvesting: Pointe Claire, QC, Canada, 1989; p. 8. [Google Scholar]
  8. Hagberg, J.; Lidén, E. Mini-Controls Decrease Musculo-Skeletal Symptoms [Minispakar Minskar Balstningbesvar]. Forsk. Skogsarbetaren 1991, 24, 4. [Google Scholar]
  9. Axelsson, S.-A.; Ponten, B. New Ergonomic Problems in Mechanized Logging Operations. Int. J. Ind. Ergon. 1990, 5, 267–273. [Google Scholar] [CrossRef]
  10. Hagberg, M.; Wegman, D.H. Prevalence Rates and Odds Ratios of Shoulder-Neck Diseases in Different Occupational Groups. Br. J. Ind. Med. 1987, 44, 602–610. [Google Scholar] [CrossRef]
  11. Gellerstedt, S. Mechanised Cleaning of Young Forest-The Strain on the Operator. Int. J. Ind. Ergon. 1997, 20, 137–143. [Google Scholar] [CrossRef]
  12. Murphy, T.A.; Oliver, M.L. Hydraulic-Actuation Joystick Use: A Torque, Range of Motion and Electromyographic Description. Occup. Ergon. 2007, 7, 201–213. [Google Scholar] [CrossRef]
  13. Nakata, M.; Hagner, I.M.; Jonsson, B. Trapezius Muscle Pressure Pain Threshold and Strain in the Neck and Shoulder Regions during Repetitive Light Work. Scand. J. Rehabil. Med. 1993, 25, 131–137. [Google Scholar]
  14. Oliver, M.L.; Northey, G.W.; Murphy, T.A.; MacLean, A.; Sexsmith, J.R. Joystick Stiffness, Movement Speed and Direction Effects on Upper Limb Muscular Loading. Occup. Ergon. 2012, 10, 175–187. [Google Scholar] [CrossRef]
  15. Jonsson, B. Kinesiology: With Special Reference to Electromyographic Kinesiology. Electroencephalogr. Clin. Neurophysiol. Suppl. 1978, 34, 417–428. [Google Scholar]
  16. Asikainen, A.; Harstela, P. Influence of Small Control Levers of Grapple Loader on Muscle Strain, Productivity and Control Errors. J. For. Eng. 1993, 5, 23–28. [Google Scholar] [CrossRef]
  17. Hedegaard, M.; Støttrup, N.; Sørensen, F.F.; Langer, T.H.; Samani, A. Evaluation of Five Steering Input Devices in Terms of Muscle Activity, Upper Body Kinematics and Steering Performance during Heavy Machine Simulator Driving. Int. J. Ind. Ergon. 2019, 72, 137–145. [Google Scholar] [CrossRef]
  18. Kuta, Ł.; Stopa, R.; Szyjewicz, D.; Komarnicki, P. Determination of Comfortable Position for Tractor Driver’s Hands Based on Dynamic Load. Int. J. Ind. Ergon. 2019, 74, 102866. [Google Scholar] [CrossRef]
  19. Jonsson, B. Measurement and Evaluation of Local Muscular Strain in the Shoulder during Constrained Work. J. Hum. Ergol. 1982, 11, 73–88. [Google Scholar] [CrossRef]
  20. Aarås, A.; Westgaard, R.H. Further Studies of Postural Load and Musculo-Skeletal Injuries of Workers at an Electro-Mechanical Assembly Plant. Appl. Ergon. 1987, 18, 211–219. [Google Scholar] [CrossRef]
  21. Gonçalves, J.S.; Moriguchi, C.S.; Takekawa, K.S.; Gil Coury, H.J.C.; Sato, T.D.O. The Effects of Forearm Support and Shoulder Posture on Upper Trapezius and Anterior Deltoid Activity. J. Phys. Ther. Sci. 2017, 29, 793–798. [Google Scholar] [CrossRef]
  22. Yee, C.A.; Kazerooni, H. A Neck Support for Alleviating Occupational Neck Pain. Proc. Hum. Factors Ergon. Soc. Annu. Meet. 2015, 59, 1404–1408. [Google Scholar] [CrossRef]
  23. Schüldt, K.; Ekholm, J.; Harms-Ringdahl, K.; Németh, G.; Arborelius, U.P. Effects of Arm Support or Suspension on Neck and Shoulder Muscle Activity during Sedentary Work. Scand. J. Rehabil. Med. 1987, 19, 77–84. [Google Scholar] [CrossRef] [PubMed]
  24. Westgaard, R.H.; Aarås, A. The Effect Workplace of Improved Design on the Development of Work-Related Musculo-Skeletal Illnesses. Appl. Ergon. 1985, 16, 91–97. [Google Scholar] [CrossRef] [PubMed]
  25. Lindbeck, L. Armstödets Betydelse För Avlastning Av Skuldran Vid Spakmanövrering; Arbetarskyddsstyrelsen: Stockholm, Sweden, 1982; p. 35. [Google Scholar]
  26. Murphy, T.; Oliver, M.L. Development and Design of a Dynamic Armrest for Hydraulic-Actuation Joystick Controlled Mobile Machines. Appl. Ergon. 2008, 39, 316–324. [Google Scholar] [CrossRef]
  27. Murphy, T.A.; Oliver, M.L. Evaluation of a Dynamic Armrest for Hydraulic-Actuation Controller Use. Appl. Ergon. 2011, 42, 692–698. [Google Scholar] [CrossRef] [PubMed]
  28. Boucher, D.R.; Oliver, M.L. Design of a Horizontally Dynamic Armrest for Joystick Controlled Mobile Equipment. Occup. Ergon. 2018, 13, 105–113. [Google Scholar] [CrossRef]
  29. Kroemer, K.H.E.; Kroemer, H.B.; Kroemer-Elbert, K.E. Ergonomics: How to Design for Ease and Efficiency; Prentice Hall: Englewood Cliffs, NJ, USA, 1994. [Google Scholar]
  30. Cram, J.R.; Kasman, G.S.; Holtz, J. Introduction to Surface Electromyography; Aspen Publishers Inc.: Gaithersburg, MD, USA, 1998. [Google Scholar]
  31. Par-Q &You. Canadian Society for Exercise Physiology 2002. Available online: https://sunnybrook.ca/uploads/par-q.pdf (accessed on 9 January 2023).
  32. MacDougall, J.D.; McKelvie, R.S.; Moroz, D.E.; Sale, D.G.; McCartney, N.; Buick, F. Factors Affecting Blood Pressure during Heavy Weight Lifting and Static Contractions. J. Appl. Physiol. 1992, 73, 1590–1597. [Google Scholar] [CrossRef]
  33. Winter, D.A. Biomechanics and Motor Control of Human Movement; John Wiley & Sons: Hoboken, NJ, USA, 2005. [Google Scholar]
  34. Oliver, M.; Rogers, R.; Rickards, J.; Tingley, M.; Biden, E. Effect of Stiffness and Movement Speed on Selected Dynamic Torque Characteristics of Hydraulic-Actuation Joystick Controls for Heavy Vehicles. Ergonomics 2006, 49, 249–268. [Google Scholar] [CrossRef]
  35. Agur, A.M.R.; Dalley, A.F. Grant’s Atlas of Anatomy, 12th ed.; Lippincott Williams & Wilkins: Philadelphia, PA, USA, 2009. [Google Scholar]
  36. Oliver, M.; Tingley, M.; Rogers, R.; Rickards, J.; Biden, E. Effect of Joystick Stiffness, Movement Speed and Movement Direction on Joystick and Upper Limb Kinematics When Using Hydraulic-Actuation Joystick Controls in Heavy Vehicles. Ergonomics 2007, 50, 837–858. [Google Scholar] [CrossRef]
  37. Bendix, T.; Jessen, F. Wrist Support during Typing–a Controlled, Electromyographic Study. Appl. Ergon. 1986, 17, 162–168. [Google Scholar] [CrossRef]
  38. Erdelyi, A.; Sihvonen, T.; Helin, P.; Hänninen, O. Shoulder Strain in Keyboard Workers and Its Alleviation by Arm Supports. Int. Arch. Occup. Environ. Health 1988, 60, 119–124. [Google Scholar] [CrossRef] [PubMed]
Figure 1. Participant setup for validation of a horizontally dynamic armrest, shown with stationary armrest (a) and dynamic armrest (b). Note that the level of the arm in the neutral joystick control position was adjusted to be approximately the same height for both armrest conditions.
Figure 1. Participant setup for validation of a horizontally dynamic armrest, shown with stationary armrest (a) and dynamic armrest (b). Note that the level of the arm in the neutral joystick control position was adjusted to be approximately the same height for both armrest conditions.
Applsci 13 01294 g001
Figure 2. Horizontally dynamic armrest (DA) [28] mounted on top of fore–aft dynamic armrest [26,27]. Top figures—front views; bottom figure—side view.
Figure 2. Horizontally dynamic armrest (DA) [28] mounted on top of fore–aft dynamic armrest [26,27]. Top figures—front views; bottom figure—side view.
Applsci 13 01294 g002
Figure 3. Calibration data and equations for the full-bridge strain gauge setups, which were used to measure force application in the fore (a), aft (b), inward (c), and outward (d) joystick movement directions. Calibration equations are shown for each graph where F is force (N), and V is strain gauge voltage (V). Note: All forces shown in Figure 3 are shown as positive, although joystick input forces in the aft and inward directions were negative due to negative input voltages from the strain gauges.
Figure 3. Calibration data and equations for the full-bridge strain gauge setups, which were used to measure force application in the fore (a), aft (b), inward (c), and outward (d) joystick movement directions. Calibration equations are shown for each graph where F is force (N), and V is strain gauge voltage (V). Note: All forces shown in Figure 3 are shown as positive, although joystick input forces in the aft and inward directions were negative due to negative input voltages from the strain gauges.
Applsci 13 01294 g003aApplsci 13 01294 g003b
Figure 4. EMG data clipped using joystick strain gauge output using custom Matlab code. Representative example shown with extensor carpi radialis (ECR) and posterior deltoid (PD) EMG output. Vertical lines indicate where data were clipped.
Figure 4. EMG data clipped using joystick strain gauge output using custom Matlab code. Representative example shown with extensor carpi radialis (ECR) and posterior deltoid (PD) EMG output. Vertical lines indicate where data were clipped.
Applsci 13 01294 g004
Figure 5. Representative example of muscle activation in the arms, measured by EMG (V) and joystick input force (N) during a representative (1) participant’s fore (a), aft (b), inward (c), and outward (d) joystick throws while using the dynamic armrest.
Figure 5. Representative example of muscle activation in the arms, measured by EMG (V) and joystick input force (N) during a representative (1) participant’s fore (a), aft (b), inward (c), and outward (d) joystick throws while using the dynamic armrest.
Applsci 13 01294 g005
Figure 6. Representative example of muscle activation in the shoulder, neck, and chest, measured by EMG (V) and joystick input force (N) during a representative (1) participant’s fore (a), aft (b), inward (c), and outward (d) joystick throws while using the dynamic armrest.
Figure 6. Representative example of muscle activation in the shoulder, neck, and chest, measured by EMG (V) and joystick input force (N) during a representative (1) participant’s fore (a), aft (b), inward (c), and outward (d) joystick throws while using the dynamic armrest.
Applsci 13 01294 g006aApplsci 13 01294 g006b
Table 1. Muscles involved in four different joystick movements [14]. Stage 1 involves movement from a neutral joystick position to the end point in the specified direction, and stage 2 involves joystick movement from the end point back to neutral position.
Table 1. Muscles involved in four different joystick movements [14]. Stage 1 involves movement from a neutral joystick position to the end point in the specified direction, and stage 2 involves joystick movement from the end point back to neutral position.
Joystick MovementStageMuscles Involved
Fore1Anterior deltoid, extensor carpi radialis, triceps
2Upper trapezius, posterior deltoid
Aft1Upper trapezius, posterior deltoid, pectoralis major
2Variety (at low levels)
Inward1Flexor carpi radialis, pectoralis major
2Extensor carpi radialis
Outward1Extensor carpi radialis, pectoralis major
2Flexor carpi radialis, pectoralis major
Table 2. Participant height, mass and age, n = 5 per stature category (mean ± standard deviation).
Table 2. Participant height, mass and age, n = 5 per stature category (mean ± standard deviation).
Stature CategoryAge (Years)Height (cm)Mass (kg)
Short25.2 ± 2.4171.2 ± 2.276.5 ± 13.8
Medium22.8 ± 1.8180.8 ± 2.272.5 ± 7.2
Tall22.8 ± 3.3189.0 ± 5.578..0 ± 7.3
Table 3. Peak EMG data for each armrest condition (DA = dynamic armrest, SA = stationary armrest, and NA = no armrest) and movement direction (F = fore, A = aft, I = inward, and O = outward). Peak EMG data are normalized to task specific reference voluntary contractions, expressed as the mean ± standard deviation (%tMVC). N = 15, except for the upper trapezius data where N = 14.
Table 3. Peak EMG data for each armrest condition (DA = dynamic armrest, SA = stationary armrest, and NA = no armrest) and movement direction (F = fore, A = aft, I = inward, and O = outward). Peak EMG data are normalized to task specific reference voluntary contractions, expressed as the mean ± standard deviation (%tMVC). N = 15, except for the upper trapezius data where N = 14.
ArmrestDirectionBiceps BrachiiTriceps BrachiiAnterior DeltoidPosterior DeltoidUpper TrapeziusPectoralis MajorExtensor Carpi RadialisFlexor Carpi Radialis
DAF2.0 ± 4.83.5 ± 4.14.8 ± 4.510.5 ± 20.815.6 ± 15.16.7 ± 6.92.7 ± 2.14.2 ± 2.5
SAF3.4 ± 9.13.0 ± 3.113.4 ± 22.98.9 ± 17.016.6 ± 14.55.1 ± 5.42.0 ± 2.03.2 ± 2.3
NAF3.4 ± 6.53.6 ± 4.714.7 ± 23.34.4 ± 7.515.2 ± 12.312.5 ± 27.91.9 ± 2.03.5 ± 2.9
DAA1.2 ± 1.54.3 ± 4.45.1 ± 8.310.2 ± 4.69.1 ± 6.26.0 ± 4.612.9 ± 18.06.0 ± 5.2
SAA1.3 ± 1.33.5 ± 3.08.0 ± 7.07.9 ± 3.212.8 ± 9.14.9 ± 5.74.2 ± 2.63.0 ± 1.8
NAA1.3 ± 1.13.4 ± 3.57.1 ± 7.26.8 ± 3.211.1 ± 8.27.1 ± 4.95.4 ± 4.24.2 ± 3.0
DAI2.5 ± 3.32.8 ± 4. 54.0 ± 4.53.3 ± 4.310.8 ± 13.45.6 ± 5.07.5 ± 6.03.7 ± 2.7
SAI2.4 ± 2.91.9 ± 3.13.3 ± 4.12.4 ± 3.25.8 ± 5.24.9 ± 5.79.3 ± 6.43.1 ± 2.2
NAI3.2 ± 4.72.5 ± 3.99.8 ± 13.22.4 ± 2.816.7 ± 14.36.0 ± 6.05.4 ± 4.23.7 ± 3.4
DAO1.8 ± 2.34.3 ± 3.24.3 ± 6.38.0 ± 6.111.8 ± 23.912.4 ± 14.92.8 ± 3.27.5 ± 3.4
SAO2.4 ± 3.03.8 ± 2.84.6 ± 6.27.0 ± 4.34.6 ± 4.311.6 ± 13.73.1 ± 3.110.2 ± 5.4
NAO2.2 ± 2.15.6 ± 7.58.8 ± 11.78.5 ± 6.516.4 ± 25.910.5 ± 8.33.7 ± 3.66.8 ± 2.9
Table 4. Integrated EMG data for each armrest condition (DA = dynamic armrest, SA = stationary armrest, and NA = no armrest) and movement direction (F = fore, A = aft, I = inward, and O = outward). Integrated EMG data are normalized to task specific reference voluntary contractions, expressed as mean ± standard deviation (%tMVC). N = 15, except for the upper trapezius data where N = 14.
Table 4. Integrated EMG data for each armrest condition (DA = dynamic armrest, SA = stationary armrest, and NA = no armrest) and movement direction (F = fore, A = aft, I = inward, and O = outward). Integrated EMG data are normalized to task specific reference voluntary contractions, expressed as mean ± standard deviation (%tMVC). N = 15, except for the upper trapezius data where N = 14.
ArmrestDirectionBiceps BrachiiTriceps BrachiiAnterior DeltoidPosterior DeltoidUpper TrapeziusPectoralis MajorExtensor Carpi RadialisFlexor Carpi Radialis
DAF2.4 ± 6.02.5 ± 2.74.0 ± 3.94.6 ± 9.16.5 ± 5.05.3 ± 6.11.8 ± 1.73.6 ± 2.6
SAF2.6 ± 6.92.1 ± 2.27.5 ± 8.73.9 ± 6.88.5 ± 7.13.9 ± 4.21.2 ± 0.82.5 ± 1.9
NAF3.3 ± 8.13.0 ± 5.112.2 ± 17.73.6 ± 6.38.9 ± 3.77.8 ± 14.31.5 ± 1.33.1 ± 2.5
DAA1.3 ± 1.43.5 ± 3.12.6 ± 2.97.8 ± 3.97.5 ± 6.06.0 ± 5.56.8 ± 8.05.8 ± 8.5
SAA1.2 ± 1.52.7 ± 2.33.4 ± 2.65.0 ± 1.98.0 ± 4.85.6 ± 5.02.8 ± 1.82.6 ± 1.6
NAA1.2 ± 1.22.9 ± 3.63.9 ± 3.64.3 ± 2.58.8 ± 5.35.6 ± 4.52.6 ± 1.23.1 ± 1.7
DAI2.4 ± 3.62.3 ± 4.03.7 ± 5.02.5 ± 3.38.3 ± 10.83.9 ± 3.14.4 ± 3.52.4 ± 1.7
SAI2.1 ± 3.81.5 ± 2.43.2 ± 4.91.6 ± 2.34.6 ± 4.83.7 ± 4.95.0 ± 3.72.0 ± 1.3
NAI2.6 ± 4.42.3 ± 3.76.8 ± 9.62.0 ± 2.610.9 ± 7.44.1 ± 4.72.7 ± 1.52.7 ± 2.4
DAO1.3 ± 1.23.5 ± 2.74.0 ± 5.25.4 ± 3.610.3 ± 18.78.3 ± 8.02.1 ± 1.76.7 ± 4.1
SAO1.5 ± 1.52.8 ± 2.33.7 ± 4.84.0 ± 2.44.7 ± 5.18.1 ± 8.52.4 ± 2.28.2 ± 5.4
NAO1.7 ± 1.94.9 ± 7.87.9 ± 9.65.9 ± 5.612.3 ± 14.68.8 ± 8.32.7 ± 2.86.1 ± 3.6
Table 5. Summary of statistically significant effects (p < 0.01) for muscle activation results between armrests (DA = dynamic armrest, SA = stationary armrest, and NA = no armrest) and movement direction (fore, aft, inward, and outward) for each muscle group (BB = biceps brachii, TRI = triceps brachii, AD = anterior deltoid, PD = posterior deltoid, UT = upper trapezius, ECR = extensor carpi radialis, FCR = flexor carpi radialis). EMG—integrated EMG; pEMG—peak EMG. N = 15, except for the UT data where N = 14.
Table 5. Summary of statistically significant effects (p < 0.01) for muscle activation results between armrests (DA = dynamic armrest, SA = stationary armrest, and NA = no armrest) and movement direction (fore, aft, inward, and outward) for each muscle group (BB = biceps brachii, TRI = triceps brachii, AD = anterior deltoid, PD = posterior deltoid, UT = upper trapezius, ECR = extensor carpi radialis, FCR = flexor carpi radialis). EMG—integrated EMG; pEMG—peak EMG. N = 15, except for the UT data where N = 14.
MuscleEMG VariableSignificant Differences between Armrest Conditions (Bonferroni)pηp2F-Value for Armrest (ANOVA)
Fore
BBiEMGDA < NA0.0070.34F(2,24) = 6.21
pEMGDA < NA0.0010.44F(2,24) = 9.38
ADiEMGDA < NA, SA<0.0010.63F(2,24) = 20.24
pEMGDA < NA, SA<0.0010.69F(2,24) = 27.04
PDpEMGDA, SA > NA<0.0010.55F(2,24) = 14.47
FCRiEMGDA > SA0.0040.37F(2,24) = 6.93
pEMGDA > SA0.0060.35F(2,24) = 6.37
Aft
TRIpEMGDA > SA0.0030.39F(2,24) = 7.71
ADiEMGDA < SA0.0030.38F(2,24) = 7.28
pEMGDA < SA0.0050.36F(2,24) = 6.62
PDiEMGDA > NA, SA<0.0010.58F(2,24) = 16.24
pEMGDA > NA<0.0010.51F(2,24) = 12.33
ECRiEMGDA = NA = SA0.0070.34F(2,24) = 6.15
pEMGDA = NA = SA0.0070.34F(2,24) = 6.09
Inward
TRIiEMGDA, NA > SA0.0010.43F(2,24) = 9.00
pEMGDA, NA > SA0.0050.36F(2,24) = 6.64
ADiEMGDA, SA > NA<0.0010.25F(2,24) = 13.82
pEMGDA, SA > NA<0.0010.58F(2,24) = 16.35
PDiEMGDA > SA0.0060.34F(2,24) = 6.31
UTiEMGSA < NA<0.0010.54F(2,24) = 12.87
pEMGDA, SA < NA<0.0010.60F(2,24) = 16.41
ECRiEMGSA > NA0.0020.41F(2,24) = 8.23
pEMGSA > NA0.0020.41F(2,24) = 8.49
Outward
BBpEMGDA < NA0.0070.34F(2,24) = 6.08
TRIiEMGSA < NA0.0060.35F(2,24) = 6.43
ADiEMGDA, SA < NA<0.0010.61F(2,24) = 19.14
pEMGDA, SA < NA<0.0010.61F(2,24) = 18.79
UTiEMGSA < NA<0.0010.57F(2,24) = 14.50
pEMGSA < NA<0.0010.55F(2,24) = 13.51
FCRpEMGSA > NA0.0050.36F(2,24) = 6.82
Table 6. Peak joystick input force data for each armrest condition and motion direction, expressed as mean ± standard deviation (DA = dynamic armrest, SA = stationary armrest, and NA = no armrest) movement direction (F = fore, A = aft, I = inward, and O = outward).
Table 6. Peak joystick input force data for each armrest condition and motion direction, expressed as mean ± standard deviation (DA = dynamic armrest, SA = stationary armrest, and NA = no armrest) movement direction (F = fore, A = aft, I = inward, and O = outward).
ArmrestDirectionForce (N)
DAF27.3 ± 10.1
SAF28.4 ± 9.8
NAF28.5 ± 6.26
DAA7.5 ± 7.1
SAA9.7 ± 10.0
NAA12.4 ± 10.3
DAI12.1 ± 12.7
SAI12.6 ± 13.7
NAI12.6 ± 14.7
DAO30.5 ± 10.3
SAO30.8 ± 10.3
NAO30.3 ± 9.8
Table 7. Summary of statistically significant main effects and interactions (p < 0.05) for the questionnaire results between armrests (DA = dynamic armrest, SA = stationary armrest, and NA = no armrest).
Table 7. Summary of statistically significant main effects and interactions (p < 0.05) for the questionnaire results between armrests (DA = dynamic armrest, SA = stationary armrest, and NA = no armrest).
VariableSignificant Differences between Armrest Conditions (Bonferroni)pηp2F-Value for Armrest (ANOVA)
Perceived effortDA < NA0.010.30F(2,24) = 5.11
Perceived discomfortDA < NA0.040.23F(2,24) = 3.59
Overall effectivenessDA > SA0.010.42F(1,12) = 8.87
Table 8. Questionnaire data for each armrest condition (DA = dynamic armrest, SA = stationary armrest, and NA = no armrest), expressed as mean ± standard deviation (perceived effort and discomfort: 0 = none, 6 = tremendous; overall effectiveness: 0 = not effective, 6 = effective).
Table 8. Questionnaire data for each armrest condition (DA = dynamic armrest, SA = stationary armrest, and NA = no armrest), expressed as mean ± standard deviation (perceived effort and discomfort: 0 = none, 6 = tremendous; overall effectiveness: 0 = not effective, 6 = effective).
ArmrestPerceived EffortPerceived DiscomfortOverall Effectiveness
DA1.9 ± 0.91.3 ± 0.94.9 ± 0.8
SA2.4 ± 1.32.3 ± 1.93.5 ± 1.5
NA2.6 ± 0.82.5 ± 1.5--
Disclaimer/Publisher’s Note: The statements, opinions and data contained in all publications are solely those of the individual author(s) and contributor(s) and not of MDPI and/or the editor(s). MDPI and/or the editor(s) disclaim responsibility for any injury to people or property resulting from any ideas, methods, instructions or products referred to in the content.

Share and Cite

MDPI and ACS Style

Govers, M.E.; Boucher, D.; Oliver, M.L. Validation of a Horizontally Dynamic Armrest for Joystick Controlled Mobile Equipment. Appl. Sci. 2023, 13, 1294. https://doi.org/10.3390/app13031294

AMA Style

Govers ME, Boucher D, Oliver ML. Validation of a Horizontally Dynamic Armrest for Joystick Controlled Mobile Equipment. Applied Sciences. 2023; 13(3):1294. https://doi.org/10.3390/app13031294

Chicago/Turabian Style

Govers, Megan E., Danielle Boucher, and Michele L. Oliver. 2023. "Validation of a Horizontally Dynamic Armrest for Joystick Controlled Mobile Equipment" Applied Sciences 13, no. 3: 1294. https://doi.org/10.3390/app13031294

APA Style

Govers, M. E., Boucher, D., & Oliver, M. L. (2023). Validation of a Horizontally Dynamic Armrest for Joystick Controlled Mobile Equipment. Applied Sciences, 13(3), 1294. https://doi.org/10.3390/app13031294

Note that from the first issue of 2016, this journal uses article numbers instead of page numbers. See further details here.

Article Metrics

Back to TopTop