The Calculation Method for the Horizontal Bearing Capacity of Squeezed Branch Piles Considering the Plate–Soil Nonlinear Interaction
Abstract
:1. Introduction
2. Theoretical Analysis of Horizontal Bearing Capacity of Squeezed Branch Pile
2.1. Analysis Model
2.2. Analysis of Bearing Plate Resisting Moment Considering Plate–Soil Nonlinear Interaction
2.3. Calculation Method of Horizontal Bearing Capacity of Squeezed Branch Pile
2.4. Boundary Conditions
2.4.1. Pile Top Boundary Conditions
- (1)
- The pile top is unconstrained
- (2)
- The top of the pile is constrained
2.4.2. Pile End boundary Conditions
- (1)
- The pile bottom is free
- (2)
- The pile bottom is embedded
- (3)
- Pile bottom hinged
3. Model Test Verification
3.1. Introduction to the Test
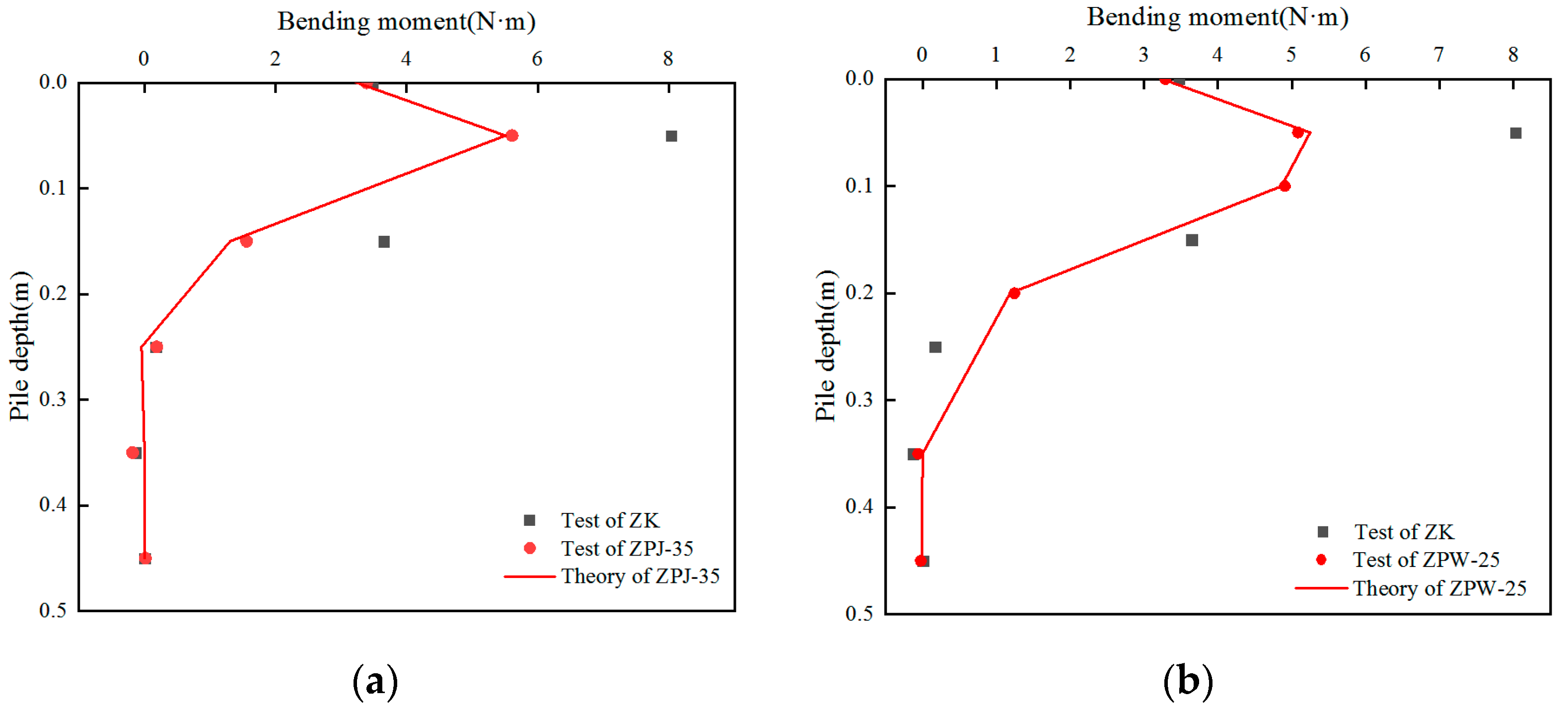
3.2. Analysis of Test Results
- (1)
- Displacement analysis of pile top
- (2)
- Analysis of pile top rotation angle
- (3)
- Analysis of pile bending moment
4. Analysis of the Influencing Factors of the Horizontal Bearing Capacity of the Squeezed Branch Pile
4.1. Influence of Bearing Disk Diameter
4.2. Influence of Bearing Plate Position
4.3. Influence of Pile Top Constraint Conditions
5. Analysis and Discussion
6. Conclusions
- (1)
- Compared with the ordinary straight pile, the pile with the same diameter and pile length but with an added bearing plate has a higher horizontal bearing capacity and better resistance to deformation.
- (2)
- The nonlinear calculation method m-method adopted in the paper can correctly reflect the changes in displacement, rotation angle, and bending moment of the pile and is consistent with the experimental results with a high fitting degree, reflecting the nonlinear transfer relationship between the load and the pile soil.
- (3)
- The horizontal bearing capacity and displacement of the pile can be improved by increasing the diameter of the bearing plate and decreasing the distance between the plate and the ground. However, when the plate diameter increases to a certain extent, the improvement is not obvious. The load range of the pile body is about 10 d (d is the pile diameter); beyond the range, the bearing plate cannot fully play a role, and the force under the plate is similar to that of a straight pile. Changing the constraint conditions of the pile top and reasonably setting the embedded depth of the pile top can better resist the horizontal load and reduce the zero displacement of the pile body.
- (4)
- According to the static load test results of “Technical Code for Building Pile Foundation”, the horizontal displacement at the ground is 10 mm (for horizontal displacement sensitive buildings, it is 6 mm) and the corresponding load is the characteristic value of horizontal bearing capacity of a single pile. When calculating the proportional coefficient m of horizontal resistance coefficient of pile foundation soil, consideration should be given to the large deformation of flexible piles and the small corresponding load. Such conditions have not yet reached the ultimate load.
Author Contributions
Funding
Institutional Review Board Statement
Informed Consent Statement
Data Availability Statement
Conflicts of Interest
References
- Cao, M.; Zhou, A. Fictitious pile method for fixed-head pile groups with dissimilar piles subjected to horizontal loading. Soils Found. 2022, 62, 101212. [Google Scholar] [CrossRef]
- Kumar, A.; Choudhury, D.; Katzenbach, R. Effect of Earthquake on Combined Pile-Raft Foundation. Int. J. Geomech. 2016, 16, 04016013. [Google Scholar] [CrossRef]
- Wu, Y.; Shen, S.; Yuan, D. Characteristics of dewatering induced drawdown curve under blocking effect of retaining wall in aquifer. J. Hydrol. 2016, 539, 554–566. [Google Scholar] [CrossRef]
- Lueprasert, P.; Jongpradist, P.; Jongpradist, P.; Suwansawat, S. Numerical investigation of tunnel deformation due to adjacent loaded pile and pile-soil-tunnel interaction. Tunn. Undergr. Space Technol. 2017, 70, 166–181. [Google Scholar] [CrossRef]
- Yang, S.; Jia, M. Horizontal dynamic behavior of partially embedded pile groups in layer cross-anisotropic poroelastic saturated soils under lateral cyclic and axial coupling loadings. Ocean Eng. 2023, 281, 114803. [Google Scholar] [CrossRef]
- Su, Q.; Xia, H.; Wu, K.; Yang, F. The Effects of Branch Spacing and Number on the Uplift Bearing Capacity of a New Squeezed Multiple-Branch Pile: A Numerical Simulation Analysis. Model. Simul. Eng. 2023, 2023, 3758253. [Google Scholar] [CrossRef]
- Shi, D.; Xiao, J.; Yang, C.; Liu, B. Research on the Plate Cavity Geometry of the Squeezed Branch Pile. Procedia Eng. 2014, 73, 29–34. [Google Scholar]
- Liu, L.; Ma, H.-W.; Yang, X.-L.; He, Q.-R.; Yuan, S. A Calculation Method of Bearing Capacity of Single Squeezed Branch Pile Based on Load Transfer Method. Adv. Mater. Sci. Eng. 2022, 2022, 9597047. [Google Scholar] [CrossRef]
- Ma, H.-W.; Wu, Y.-Y.; Tong, Y.; Jiang, X.-Q. Research on Bearing Theory of Squeezed Branch Pile. Adv. Civ. Eng. 2020, 2020, 6637261. [Google Scholar] [CrossRef]
- Zhang, M.; Xu, P.; Cui, W.; Gao, Y. Bearing Behavior and Failure Mechanism of Squeezed Branch Piles. J. Rock Mech. Geotech. Eng. 2018, 10, 935–946. [Google Scholar] [CrossRef]
- Zhang, S.; Liu, X.; Zhang, H.; Piao, C.; Niu, Y. Study on the Force Model of Squeezed Branch Piles Based on Surface Potential Characteristics. Buildings 2023, 13, 2231. [Google Scholar] [CrossRef]
- Wang, D.; Ju, Y.; Zhao, X.; Bai, J. Field Test and Numerical Simulation on Bearing Capacity of Squeezed Branch Pile in Transmission Line. Mechanics 2017, 23, 762–768. [Google Scholar]
- Qian, Y.; Liu, J.; Wang, R.; Jin, Y. Experimental Study on Influence of Disc Position on Soil Failure State of Expanded Pile under Horizontal Force in Oceanographic Engineering. J. Coast. Res. 2020, 36, 274–282. [Google Scholar] [CrossRef]
- Qian, Y.; He, M.; Wang, R. Experimental Study on Influence of Disc Number on Soil Failure State of Concrete Expanded-Plate Pile under Horizontal Force in Oceanographic Engineering. J. Coast. Res. 2020, 106, 660–663. [Google Scholar] [CrossRef]
- Qian, Y.; Fang, B.; Jin, Y.; Wang, R. Experimental Study on Effect of Disc Spacing on Soil Failure State of Expanded Pile under the Action of Horizontal Force and Application in Oceanographic Engineering. J. Coast. Res. 2020, 36, 283–287. [Google Scholar] [CrossRef]
- Chen, Y.; Qian, Y.; Hong, G.; Jin, Y.; Wang, R. Study of Undisturbed Soil Test about Slope Angle of the Expanded-Plate Affecting the Failure Mechanism of the NT-CEP Pile under Vertical Tension. J. Phys. Conf. Ser. 2022, 2202, 012023. [Google Scholar] [CrossRef]
- Broms, B.B. Design of Laterally Loaded Piles. ASCE Soil Mech. Found. Div. J. 1965, 91, 79–99. [Google Scholar] [CrossRef]
- Broms, B.B. Lateral Resistance of Pile in Cohesionless Soils. J. Soil Mech. Found. Div. 1964, 90, 123–156. [Google Scholar] [CrossRef]
- Matlock, H. Correlation for Design of Laterally Loaded Piles in Soft Clay. In Proceedings of the Offshore Technology Conference, Houston, TX, USA, 22–24 April 1970. [Google Scholar]
- Reese, L.C.; Cox, W.R.; Koop, F.D. Analysis of Laterally Loaded Piles in Sand. In Proceedings of the Offshore Technology Conference, Houston, TX, USA, 6–8 May 1974. [Google Scholar]
- Raes, P.E. Theory of Lateral Bearing Capacity of Pile. In Proceedings of the 1st International Conference on Soil Mechanics and Foundation Engineering (Harvard), Cambridge, MA, USA, 22–26 June 1936. [Google Scholar]
- Snitko, N.K. Static and Dynamic Earth Pressure: Analysis and Calculation; Industry books: Tokyo, Japan, 1967; pp. 258–262. [Google Scholar]
- Winkler, E. Die Lehre von der Elasticitaet und Festigkeit Besonderer Rucksicht auf ihre Anwendung in der Technik für polytechnische Schulen, Bauakademien, Ingenieure, Maschinenbauer, Architecten, etc.; Dominicius: Prague, Czech Republic, 1867. [Google Scholar]
- Naeini, S.; Ziaie Moayed, R.; Allahyari, F. Subgrade Reaction Modulus (Ks) of Clayey Soils Based on Field Tests. J. Eng. Geol. 2014, 8, 2021–2046. [Google Scholar]
- JGJ 94-2008; Technical Code for Building Pile Foundations. Industry Standard—Construction Industry: Beijing, China, 2008; 327p; A5.
- TB 10002.5-2005; Code for Design on Subsoil and Foundation of Railway and Culvert. Industry Standard—Railway: Tianjin, China, 2005; 266P; A5.
- Wang, J.-P.; Su, J.-B.; Wu, F.; Zhang, Z.; Lv, Y. Lateral Dynamic Load Tests of Offshore Piles Based Using the M-method. Ocean Eng. 2020, 220, 108413. [Google Scholar] [CrossRef]
- Wu, F.; Shi, B.L.; Zhuo, Y. Nonlinear M-method for Piles under Lateral Load. Chin. J. Geotech. Eng. 2009, 31, 1398–1401. [Google Scholar]
- Gao, X.; Liu, F.; Li, Y.; Zhu, X. Calculation and Influence Factor Analysis on Lateral Bearing Capacity of Squeezed Branch and Plate Pile. Eng. Mech. 2009, 26, 97–104. [Google Scholar]
- Chang, Y. Discussion on “Lateral Pile-Loading Test” by Feagin. Trans. ASCE 1937, 102, 272–278. [Google Scholar]
- Peng, W. Study on Laterally Bearing Characteristic of DX Theory Analysis and Numerical Analysis; Beijing Jiaotong University: Beijing, China, 2014. [Google Scholar]
- Zhang, Q.; Li, S.; Liang, F. Simplified Method for Settlement Prediction of Single Pile and Pile group using A Hyperbolic Model. Int. J. Civ. Eng. 2014, 12, 249178537. [Google Scholar]
- Janbu, N. Static Bearing Capacity of Friction Piles. In Proceedings of the Sechste Europaeische Konferenz Fuer Bodenmechanik Und Grundbau, Vienna, Austria, 22–24 March 1976. [Google Scholar]
- Li, L.; Li, X.; Liu, B. A Simplified Nonlinear Settlement Analysis Method for Axial Loaded Squeezed and Branch Piles. Chin. J. Undergr. Space Eng. 2018, 14, 904–911. [Google Scholar]
- O’neill, M.W.; Raines, R.D. Load Transfer for Pipe Piles in Highly Pressured Dense Sand. J. Geotech. Eng. 1991, 117, 1208–1226. [Google Scholar] [CrossRef]
- Liu, X.; Zhu, H. Experiment on Interaction between Typical Soils in Shanghai and Concrete. J. Tongji Univ. 2004, 32, 601–606. [Google Scholar]
- Jardine, R.; Chow, F.; Overy, R.; Standing, J. ICP Design Methods for Driven Piles in Sands and Clays; Thomas Telford: London, UK, 2005. [Google Scholar]
- Wang, B. General Solution of Pile with Variable Section in Different Soil Layers under Lateral Load. Northeast. Highw. 1992, 15, 27–37. [Google Scholar]
- JTG D63-2007; Specifications for Design of Foundation of Highway Bridges and Culverts. Industry Standard—Transportation: Beijing, China, 2007; 182P; A4.
- Cao, W.P.; Xia, B.; Zhao, M.; Geo, X. Py Curves of Laterally Loaded Batter Piles in Sand and Its Application. Chin. J. Rock Mech. Eng. 2018, 37, 743–753. [Google Scholar]
- JGJ 4-1980; Code for Design and Construction of Cast-in-Place Pile Foundation for Industrial and Civil Buildings. Industry Standard—Construction Code for Construction Industry Engineering: Beijing, China, 1980.
- Huang, W.; Lu, H.; Peng, X.; Ji, C. Research on Value of m and Displacement of Pile Top Based on Pile Test of Photovoltaic Pile. Eng. J. Wuhan Univ. 2018, 51, 238–241. [Google Scholar]
- Ding, Z.; Zhao, Q.; Peng, S. Experimental Study on the Effect of Strength of Foundation Soil on the Pile-soil Interaction and m Value. Hydrogeol. Eng. Geol. 2016, 43, 113–117. [Google Scholar]
- Zhang, L.; Hai, W.S.; Gan, H.; Cao, W.P.; Wang, T.H. Study on Bearing Behavior of Flexible Single Pile Subject to Horizontal and Uplift Combined Load. Rock Soil Mech. 2020, 41, 2261–2270. [Google Scholar]
- Guo, Z.; He, W.; Bai, X. Pseudo-Static Model Experiment of Pile-Cap-Soil System. Rock Soil Mech. 2018, 39, 3321–3331. [Google Scholar]













| Literature Sources | Pile-Soil Working Conditions | Reference Value |
|---|---|---|
| Neil et al. [35] | Pipe piles, dense sand | δ = 29.4° |
| Liu et al. [36] | Concrete piles, silty soil and clay | δ = 21.3°–31.6° |
| Jardine et al. [37] | Drive piles, sand soil | δ = 28°–30° |
| No. | Pile Diameter d (mm) | Plate Diameter D (mm) | Plate Height L′ (mm) | Plate Diameter Ratio (D/d) | Pile Length on Plate L1 (mm) | Pile Length under Plate L2 (mm) |
|---|---|---|---|---|---|---|
| ZK | 20 | / | / | / | / | / |
| ZPJ-35 | 20 | 35 | 20 | 1.75 | 90 | 390 |
| ZPW-25 | 20 | 55 | 40 | 2.75 | 230 | 230 |
Disclaimer/Publisher’s Note: The statements, opinions and data contained in all publications are solely those of the individual author(s) and contributor(s) and not of MDPI and/or the editor(s). MDPI and/or the editor(s) disclaim responsibility for any injury to people or property resulting from any ideas, methods, instructions or products referred to in the content. |
© 2023 by the authors. Licensee MDPI, Basel, Switzerland. This article is an open access article distributed under the terms and conditions of the Creative Commons Attribution (CC BY) license (https://creativecommons.org/licenses/by/4.0/).
Share and Cite
Yang, Y.; Ma, H.; Hu, Z.; Wang, L.; Chen, X. The Calculation Method for the Horizontal Bearing Capacity of Squeezed Branch Piles Considering the Plate–Soil Nonlinear Interaction. Appl. Sci. 2023, 13, 13229. https://doi.org/10.3390/app132413229
Yang Y, Ma H, Hu Z, Wang L, Chen X. The Calculation Method for the Horizontal Bearing Capacity of Squeezed Branch Piles Considering the Plate–Soil Nonlinear Interaction. Applied Sciences. 2023; 13(24):13229. https://doi.org/10.3390/app132413229
Chicago/Turabian StyleYang, Yuqi, Hongwei Ma, Zhitao Hu, Lina Wang, and Xin Chen. 2023. "The Calculation Method for the Horizontal Bearing Capacity of Squeezed Branch Piles Considering the Plate–Soil Nonlinear Interaction" Applied Sciences 13, no. 24: 13229. https://doi.org/10.3390/app132413229
APA StyleYang, Y., Ma, H., Hu, Z., Wang, L., & Chen, X. (2023). The Calculation Method for the Horizontal Bearing Capacity of Squeezed Branch Piles Considering the Plate–Soil Nonlinear Interaction. Applied Sciences, 13(24), 13229. https://doi.org/10.3390/app132413229

