Calculation Method of the Design Thickness of a Frozen Wall with Its Inner Edge Radially Incompletely Unloaded
Abstract
:1. Introduction
2. Mechanical Model and Solution
2.1. Mechanical Model
2.2. Initial, Boundary, and Continuity Conditions
2.3. Displacement and Stress of the Frozen Wall Elastic Zone
2.4. Displacement and Stress of the Frozen Wall Plastic Zone
3. Design for the Frozen Wall Thickness
3.1. Calculation Method and Formula
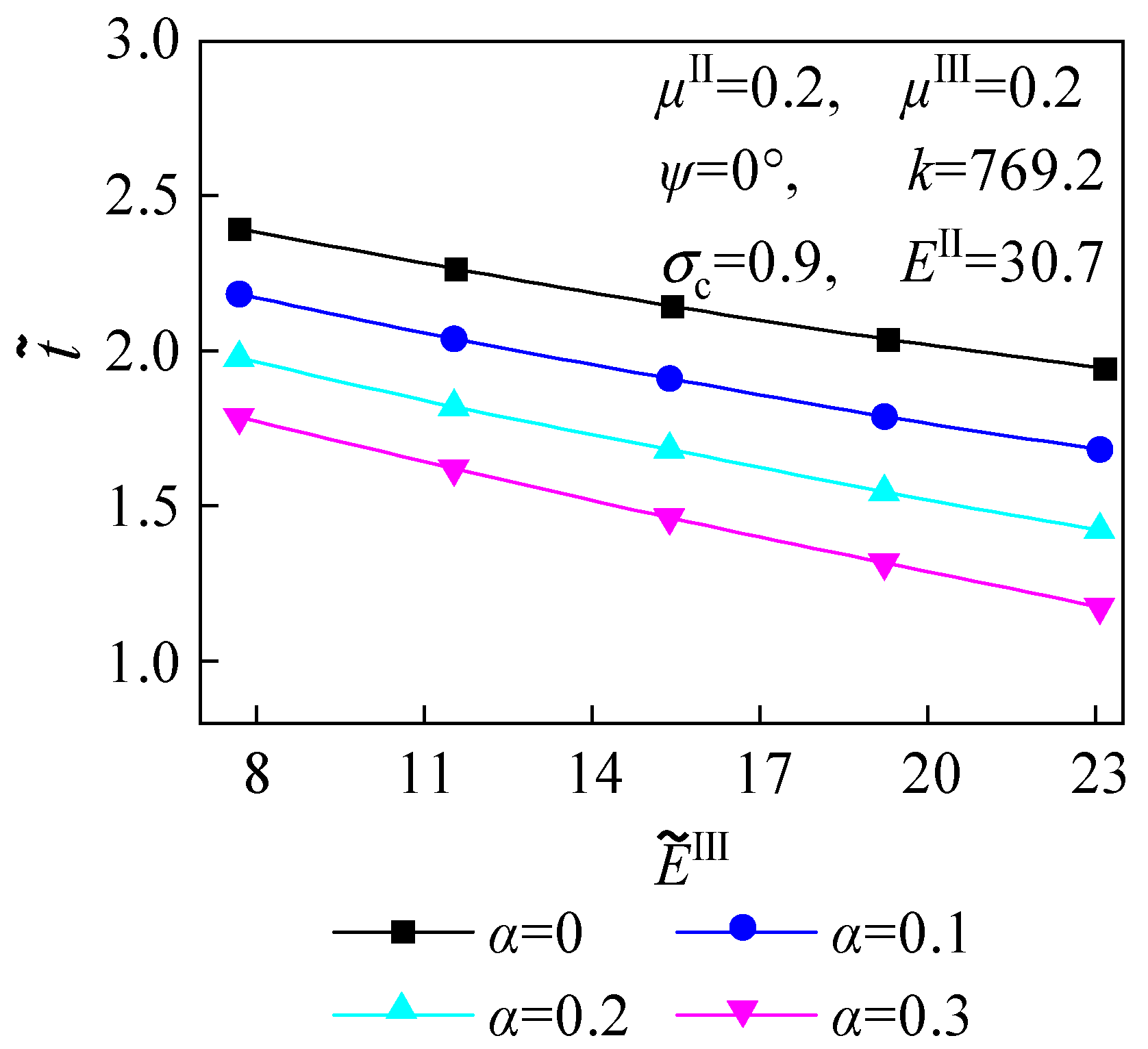
3.2. Influences of the Parameters on the Design Thickness of the Frozen Wall
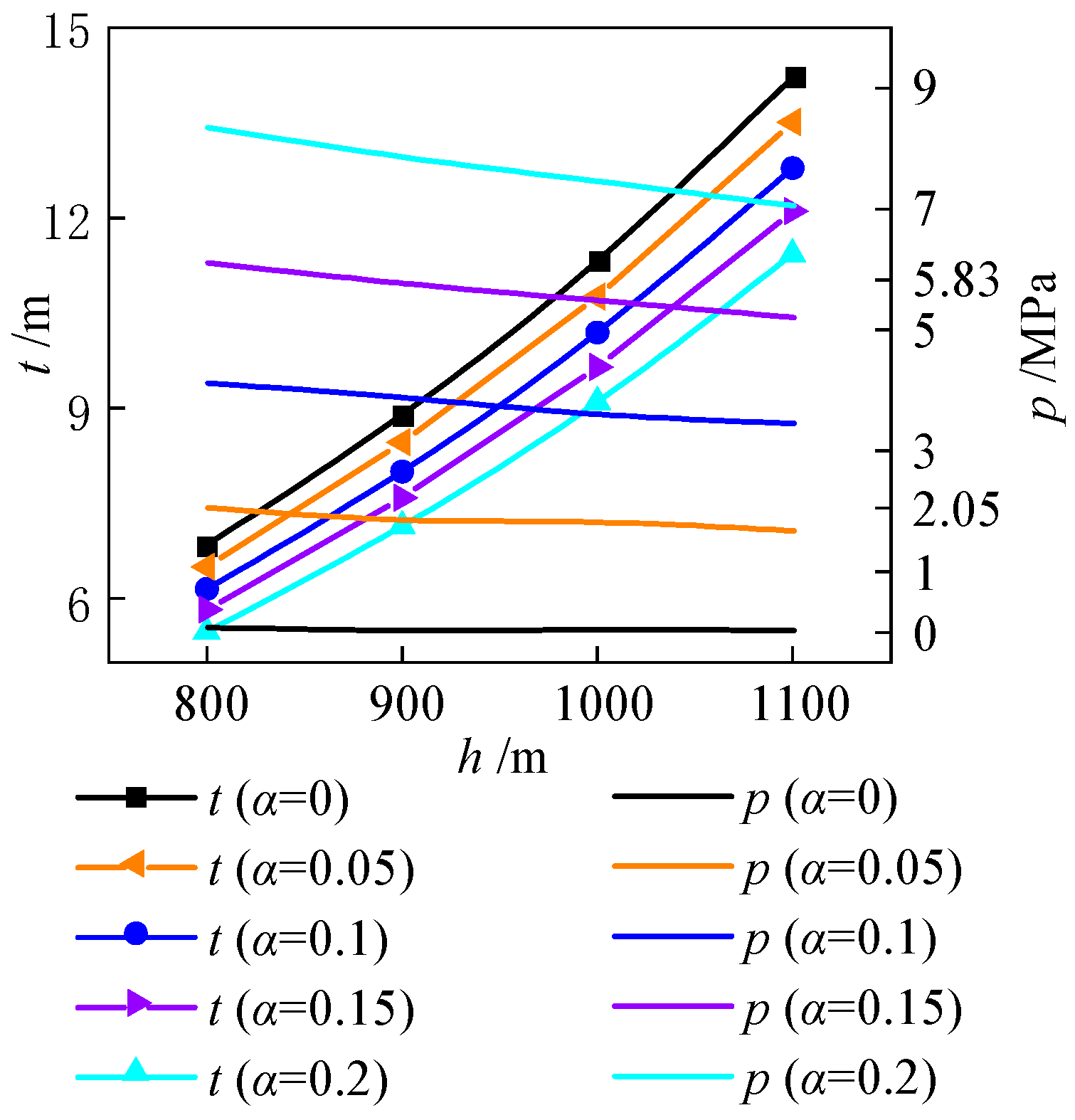
4. Case Example
5. Conclusions
Author Contributions
Funding
Institutional Review Board Statement
Informed Consent Statement
Data Availability Statement
Acknowledgments
Conflicts of Interest
References
- Cai, H.; Yang, L.; Pang, C.; Li, M.; Lu, C.; Hong, R. Model Test Study on Natural Thawing Temperature Field of Artificial Ground Frozen Wall. Sustainability 2023, 15, 3186. [Google Scholar] [CrossRef]
- Harris, J.S. Ground Freezing in Practice; Thomas Telford: London, UK, 1995. [Google Scholar]
- Hu, X.; Wu, Y.; Li, X. A Field Study on the Freezing Characteristics of Freeze-Sealing Pipe Roof Used in Ultra-Shallow Buried Tunnel. Appl. Sci. 2019, 9, 1532. [Google Scholar] [CrossRef]
- Andersland, O.B.; Ladanyi, B. Frozen Ground Engineering; John Wiley & Sons, Inc.: Hoboken, NJ, USA, 2004. [Google Scholar]
- Dorn, E.; Kaledin, O. Modern and innovative shaft sinking and construction technology with examples from current projects/Moderne und innovative Schachtbautechnik am Beispiel aktueller Abteufprojekte. Geomech. Tunn. 2013, 6, 574–581. [Google Scholar] [CrossRef]
- Schmall, P.C.; Braun, B. Ground Freezing—A Viable and Versatile Construction Technique. In Proceedings of the 13th International Conference on Cold Regions Engineering, Orono, ME, USA, 23–26 July 2006; 2006; pp. 1–11. [Google Scholar]
- Zhou, Y.; Zhou, G. Intermittent freezing mode to reduce frost heave in freezing soils—Experiments and mechanism analysis. Can. Geotech. J. 2012, 49, 686–693. [Google Scholar] [CrossRef]
- Xie, H.; Zhang, R.; Zhang, Z.; Gao, M.; Li, C. Reflections and explorations on deep earth science and deep earth engineering technology. J. China Coal Soc. 2023, 1–21. [Google Scholar]
- Wang, Y.S.; Yang, R. Monitoring and analysis of the stress and deformation of shaft lining and the influence of freezing tube fracture in deep topsoil. Cold Reg. Sci. Technol. 2022, 193, 103420. [Google Scholar] [CrossRef]
- Zhou, F.C.; Zhou, P.; Li, J.Y.; Ge, T.C.; Lin, J.Y.; Wang, Z.J. Key Parameters Design Method of AGF Method for Metro Connecting Passage in Water-Rich Coastal Area. KSCE J. Civ. Eng. 2022, 26, 5301–5317. [Google Scholar] [CrossRef]
- Alzoubi, M.A.; Zueter, A.; Nie-Rouquette, A.; Sasmito, A.P. Freezing on demand: A new concept for mine safety and energy savings in wet underground mines. Int. J. Min. Sci. Technol. 2019, 29, 621–627. [Google Scholar] [CrossRef]
- Andersland, O.B.; Ladanyi, B. An Introduction to Frozen Ground Engineering; Springer Science & Business Media: Dordrecht, The Netherlands, 2013. [Google Scholar]
- Domke, O. Über die Beanspruchung der Frostmauer beim Schachtabteufen nach dem Gefrierverfahren. Glückauf 1915, 51, 1129–1135. [Google Scholar]
- Klein, J. Present State of Freeze Shaft Design in Mining. In Developments in Geotechnical Engineering; Farmer, I.W., Ed.; Elsevier: Amsterdam, The Netherlands, 1981; Volume 32, pp. 147–153. [Google Scholar]
- Sanger, F.J.; Sayles, F.H. Thermal and rheological computations for artificially frozen ground construction. Eng. Geol. 1979, 13, 311–337. [Google Scholar] [CrossRef]
- Yang, W.; Du, Z.; Yang, Z.; Bo, D. Plastic design theory of frozen soil wall based on interaction between frozen soil wall and surrounding rock. Chin. J. Geotech. Eng. 2013, 35, 1857–1862. [Google Scholar]
- Yang, W.; Yang, Z.; Bo, D. Elastic-plastic design theory of frozen soil wall based on interaction between frozen wall and surrounding rock. Chin. J. Geotech. Eng. 2013, 35, 175–180. [Google Scholar]
- Zhang, W.; Wang, B.; Wang, Y. Elastic Analysis of Nonhomogeneous Frozen Wall under Nonaxisymmetric Ground Stress Field and in State of Unloading. Adv. Mater. Sci. Eng. 2018, 2018, 2391431. [Google Scholar] [CrossRef]
- Hu, X.D. Determination of Load on Frozen Soil Wall in Unloaded State. J. Tongji Univ. (Nat. Sci.) 2002, 1, 6–10. [Google Scholar]
- Bo, Z.; Weihao, Y.; Cheng, J. An elastoplastic design method for deep frozen wall considering shaft-flankdisplacement convergence. J. Min. Saf. Eng. 2023, 40, 112–119. [Google Scholar]
- Zhang, Y.; Sego, D.C.; Morgenstern, N.R. Deformation of artificially frozen shafts during excavation. In Proceedings of the Seventh International Symposium on Ground Freezing (Ground Freezing 94), Nancy, France, 24–28 October 1994. [Google Scholar]
- Yu, H.S. Cavity Expansion Methods in Geomechanics; Springer: Dordrecht, The Netherlands, 2000. [Google Scholar]
- Yang, R.; Wang, Q.; Yang, L. Closed-form elastic solution for irregular frozen wall of inclined shaft considering the interaction with ground. Int. J. Rock Mech. Min. Sci. 2017, 100, 62–72. [Google Scholar] [CrossRef]
- Lu, A.; Zhang, N.; Xu, Y.; Cui, P. Stress-displacement solution for a lined vertical borehole due to non-axisymmetric in situ stresses. Int. J. Rock Mech. Min. Sci. 2013, 57, 64–74. [Google Scholar] [CrossRef]
- Brady, B.H.; Brown, E.T. Rock Mechanics for Underground Mining; Springer: Dordrecht, The Netherlands, 2004. [Google Scholar]
- Vincenzo, V. Circular Cylinders and Pressure Vessels; Springer International Publishing: Cham, Switzerland, 2014. [Google Scholar]
- Carranza-Torres, C.; Fairhurst, C. The elasto-plastic response of underground excavations in rock masses that satisfy the Hoek-Brown failure criterion. Int. J. Rock Mech. Min. Sci. 1999, 36, 777–809. [Google Scholar] [CrossRef]
- Carranza-Torres, C.; Fairhurst, C. Application of the Convergence-Confinement method of tunnel design to rock masses that satisfy the Hoek-Brown failure criterion. Tunn. Undergr. Space Technol. 2000, 15, 187–213. [Google Scholar] [CrossRef]
- Liu, C. Distribution Laws of in-Situ Stress in Deep Underground Coal Mines. Procedia Eng. 2011, 26, 909–917. [Google Scholar] [CrossRef]
- Reed, M.B. The influence of out-of-plane stress on a plane strain problem in rock mechanics. Int. J. Numer. Anal. Methods Geomech. 1988, 12, 173–181. [Google Scholar] [CrossRef]
- Cai, M.; Chen, C.; Peng, H.; Ji, H.; Qiao, L.; Tan, Z. In-situ stress measurement by hydraulic fracturing technique in deep position of Wanfu coal mine. Yan Shi Li Xue Yu Gong Cheng Xue Bao 2006, 25, 1069–1074. [Google Scholar]
- Vrakas, A. A finite strain solution for the elastoplastic ground response curve in tunnelling: Rocks with non-linear failure envelopes. Int. J. Numer. Anal. Methods Geomech. 2017, 41, 1077–1090. [Google Scholar] [CrossRef]
- Yu, H.S.; Rowe, R.K. Plasticity solutions for soil behaviour around contracting cavities and tunnels. Int. J. Numer. Anal. Methods Geomech. 1999, 23, 1245–1279. [Google Scholar] [CrossRef]
- Peng, S.; Xu, Y.; Cao, G.; Pei, L. Research on the Elastoplastic Theory and Evolution Law of Plastic Zone Contours of Horizontal Frozen Walls under Nonuniform Loads. Appl. Sci. 2023, 13, 9398. [Google Scholar] [CrossRef]
- Vrakas, A.; Anagnostou, G. A simple equation for obtaining finite strain solutions from small strain analyses of tunnels with very large convergences. Géotechnique 2015, 65, 936–944. [Google Scholar] [CrossRef]
- Vrakas, A.; Anagnostou, G. A finite strain closed-form solution for the elastoplastic ground response curve in tunnelling. Int. J. Numer. Anal. Methods Geomech. 2014, 38, 1131–1148. [Google Scholar] [CrossRef]
- Zhang, B.; Yang, W.; Wang, B. Plastic Design Theory of Frozen Wall Thickness in an Ultradeep Soil Layer Considering Large Deformation Characteristics. Math. Probl. Eng. 2018, 2018, 8513413. [Google Scholar] [CrossRef]
- Weng, J.J. Special Construction Engineering of Mine Shaft and Drift; Coal Industry Press: Beijing, China, 1991. [Google Scholar]
- Yang, Z. Study on the Elastoplastic Design Theory of Icewall in Thick Soil Based on the Interaction with Surrounding Stratum. Ph.D. Thesis, China University of Mining and Technology, Xuzhou, China, 2018. [Google Scholar]
- Wang, T.; Zhang, H.; Zhou, G.; Liu, X. Evaluation of variability characteristics of mechanical parameters of artificially frozen clay in deep alluvium. Cold Reg. Sci. Technol. 2020, 171, 102978. [Google Scholar] [CrossRef]














| Factor | α | Average | |||
|---|---|---|---|---|---|
| 0 | 0.1 | 0.2 | 0.3 | ||
| 3.9941 | 3.2104 | 2.5281 | 1.9556 | 2.9221 | |
| 0.0315 | 0.0393 | 0.047 | 0.0584 | 0.044 | |
| 0.0017 | 0.0030 | 0.0045 | 0.0064 | 0.0039 | |
| μIII | 0.0014 | 0.0017 | 0.0020 | 0.0024 | 0.001 |
| ψ | 0.000 | 0.0002 | 0.000 | 0.0006 | 0.0003 |
| μII | 0.0001 | 4.0 × 10−6 | 3.9 × 10−5 | 0.0002 | 0.0001 |
| 9.3 × 10−10 | 2.6 × 10−6 | 1.3 × 10−6 | 2.2 × 10−6 | 1.5 × 10−6 | |
| Formula | h/m | ||||
|---|---|---|---|---|---|
| 800 | 900 | 1000 | 1100 | ||
| Yang’s formula [17] | 6.85 | 8.90 | 11.32 | 14.21 | |
| 0 | 6.85 | 8.90 | 11.32 | 14.21 | |
| 0.05 | 6.50 | 8.46 | 10.75 | 13.51 | |
| 0.1 | 6.15 | 8.00 | 10.20 | 12.79 | |
| 0.15 | 5.83 | 7.59 | 9.65 | 12.11 | |
| 0.2 | 5.48 | 7.15 | 9.10 | 11.43 | |
Disclaimer/Publisher’s Note: The statements, opinions and data contained in all publications are solely those of the individual author(s) and contributor(s) and not of MDPI and/or the editor(s). MDPI and/or the editor(s) disclaim responsibility for any injury to people or property resulting from any ideas, methods, instructions or products referred to in the content. |
© 2023 by the authors. Licensee MDPI, Basel, Switzerland. This article is an open access article distributed under the terms and conditions of the Creative Commons Attribution (CC BY) license (https://creativecommons.org/licenses/by/4.0/).
Share and Cite
Hu, C.; Yang, Z.; Han, T.; Yang, W. Calculation Method of the Design Thickness of a Frozen Wall with Its Inner Edge Radially Incompletely Unloaded. Appl. Sci. 2023, 13, 12650. https://doi.org/10.3390/app132312650
Hu C, Yang Z, Han T, Yang W. Calculation Method of the Design Thickness of a Frozen Wall with Its Inner Edge Radially Incompletely Unloaded. Applied Sciences. 2023; 13(23):12650. https://doi.org/10.3390/app132312650
Chicago/Turabian StyleHu, Chenchen, Zhijiang Yang, Tao Han, and Weihao Yang. 2023. "Calculation Method of the Design Thickness of a Frozen Wall with Its Inner Edge Radially Incompletely Unloaded" Applied Sciences 13, no. 23: 12650. https://doi.org/10.3390/app132312650
APA StyleHu, C., Yang, Z., Han, T., & Yang, W. (2023). Calculation Method of the Design Thickness of a Frozen Wall with Its Inner Edge Radially Incompletely Unloaded. Applied Sciences, 13(23), 12650. https://doi.org/10.3390/app132312650
