Next Article in Journal
Algorithm Research on Detail and Contrast Enhancement of High Dynamic Infrared Images
Previous Article in Journal
Simplified Calculation Method for Active Anti-Floating of Elliptical Basements by Relief Wells
 
 
Font Type:
Arial Georgia Verdana
Font Size:
Aa Aa Aa
Line Spacing:
Column Width:
Background:
Article

Numerical Study on the Application of Near-Infrared Temperature Distribution Measurement of HIFU

1
College of Optoelectronic Engineering, Changchun University of Science and Technology, Changchun 130013, China
2
College of Metrology and Measurement Engineering, China Jiliang University, Hangzhou 310018, China
*
Author to whom correspondence should be addressed.
Appl. Sci. 2023, 13(23), 12648; https://doi.org/10.3390/app132312648
Submission received: 17 October 2023 / Revised: 19 November 2023 / Accepted: 21 November 2023 / Published: 24 November 2023
(This article belongs to the Section Applied Thermal Engineering)

Abstract

:
Accurate temperature distribution measurement during high-intensity focused ultrasound (HIFU) treatment is crucial for avoiding damage to sensitive tissues and organ systems. To surpass the constraints of conventional thermocouple temperature measurement approaches, near-infrared temperature measurement, as a non-invasive imaging method, is proposed. Using infrared glass as a temperature observation window allows for studying the temperature distribution on the surface of biological tissues under ultrasound exposure. The temperature rise in the tissues near the infrared glass under ultrasound exposure was investigated through numerical simulations. Moreover, the effects of the shear waves and thermal viscosity induced by the infrared glass were also analyzed. The results indicate that the shear wave in the glass weakens the intensity of the ultrasound pressure in the focal region while enhancing the efficiency of the acoustic thermal conversion. Thermal viscosity increases the acoustic pressure and temperature in the focal zone. Furthermore, oblique incidence facilitates the transformation of the acoustic thermal effect, caused by shear waves and thermal viscosity, resulting in an expanded temperature rise range on the tissue surface. The non-linear effects in the ultrasound field further enhance the acoustic thermal effect. Significant errors occur in the near-infrared method when utilizing infrared glass for temperature measurement, with the shear waves exerting the most substantial impact on the temperature distribution. These research findings carry substantial implications for optimizing treatment plans, enhancing treatment safety and efficacy, and offering potential application value for temperature control in HIFU treatment.

1. Introduction

High-intensity focused ultrasound (HIFU) is an emerging tumor treatment method with the potential for a wide range of medical applications due to its non-invasive nature. In clinical practice, HIFU technology can be used in various treatment areas, including the thermal ablation of uterine fibroids [1], thrombolysis [2], drug delivery [3], and gene activation [4]. This technique utilizes the propagation of ultrasound waves within the human body to convert the mechanical energy of ultrasound into thermal energy. It rapidly elevates the temperature of targeted cells by 40–60 °C within a few seconds, inducing irreversible necrosis.
Measuring the temperature distribution during HIFU treatment is pivotal to ensure treatment efficacy, safeguard surrounding normal tissues, and mitigate potential side effects and complications. Scholars, both domestically and internationally, have extensively researched this topic. Among these methods, thermocouples have gained widespread use due to their simplicity, cost-effectiveness, and effectiveness in measuring the transient temperature rise induced by HIFU. Baki Karaboce et al. studied the temperature distribution generated by HIFU using a T-type thermocouple. In this study, the HIFU beam was focused on an array comprising five thermocouples to mitigate errors resulting from direct exposure to the thermocouples [5]. Kosuke Matsuki et al. used a thin-film thermocouple array to measure the temperature distribution produced by high-intensity focused ultrasound and estimated the heating errors caused by thermocouples [6]. These studies offer critical insights into temperature monitoring in HIFU therapy while highlighting the limitations of the thermocouple temperature measurement method. Some of the limitations are as follows: Firstly, the insertion of thermocouples into the tissue for temperature measurement does not qualify as a non-invasive use of HIFU. Secondly, measurement errors may arise due to the inaccuracy of the positioning method; that is, the positioning of the thermocouple deviating from the location of the region of interest. Additionally, density differences between the thermocouples and surrounding tissues can lead to issues such as viscous heating artifacts (VHA) [7].
In clinical practice, in addition to thermocouples, several non-destructive temperature measurement methods are extensively utilized for HIFU temperature monitoring [8]. These methods prevent harm to the human body and offer precise and dependable temperature data. For example, Ahmed et al. used MRI to monitor the temperature field during the ultrasound treatment of central nervous system diseases [9]. Jungson Kim et al. used thermochromic films to monitor the temperature distribution on the skin surface during the HIFU treatment of skin diseases [10]. Zhaojun Liu et al. fabricated a temperature film sensor based on flexible thin film materials with two-dimensional measurement characteristics and fast response advantages. This sensor fulfills the real-time monitoring requirements for the surface temperature of non-planar objects [11]. Chang Wei Huang proposed a hybrid method for spatial mapping temperature estimation based on diagnostic ultrasound [12].
Near-infrared temperature measurement technology has emerged as a non-invasive, efficient, and accurate method for thermal effect research in recent years. It can monitor tissue surface temperature in real time with high temporal and spatial resolution. Felix Wong investigated the effect of HIFU on skin surface temperature using infrared thermal imaging technology with the objective of risk identification and the prevention of skin burns [13]. Using the easy visualization of thermal imaging, Adam Shaw and John Nunn utilized infrared thermal imaging to gather qualitative information on the ultrasound field, mapping the strength distribution by measuring the temperature generated by thin sheet materials [14]. These studies have expanded the methods of HIFU temperature monitoring and demonstrated the potential application of near-infrared temperature measurement technology in the field of HIFU.
In basic HIFU experiments, in vitro tissues are typically immersed in water. However, with water adhering to the surface of the tissue, infrared cameras may struggle to obtain the actual surface temperature accurately. Utilizing infrared glass for auxiliary temperature measurement is a possible solution to address this issue. Infrared glass has good transmittance and a low refractive index in the near-infrared band, while being very sensitive to heat. It can provide accurate temperature measurements in high-temperature environments and maintain stability and reliability. Infrared glass is positioned near the tissue surface to circumvent direct contact with moisture, thereby eliminating the temperature errors caused by such contact. This method not only overcomes the limitations of thermocouples in traditional methods but also records the temperature distribution and diffusion, offering new insights for using near-infrared temperature measurement methods.
This study primarily investigates the impact of infrared glass on the temperature distribution of high-intensity focused ultrasound in near-infrared temperature measurement. Due to inherent differences in the characteristic parameters between infrared glass and the surrounding tissues, viscous heating is inevitably introduced. Therefore, the increase in the temperature of tissues near-infrared glass was calculated through numerical simulations. Moreover, a detailed analysis of the nonlinearity, shear waves, and thermal viscosity was also conducted. In addition, particular focus was put on the effects of oblique incidence on shear waves and viscous heating. The results of this study will provide an essential reference for the application of near-infrared technology in HIFU temperature measurement practice.

2. Theoretical Models

2.1. Basic Theory

2.1.1. Basic Acoustic Equation

The thermal effect of focused ultrasound is the foundation of ultrasound hyperthermia. Ultrasound, a mechanical vibration propagated within the human body, induces displacement and vibrations of tissue particles, leading to thermal effects. As long as the heat absorption rate of biological tissue exceeds the heat dissipation rate, the temperature inside the tissue will increase. Biological tissues are generally modeled as thermal viscous fluids, which refer to substances that exhibit both viscosity and thermal conductivity during the flow process. When finite amplitude ultrasound propagates in thermal viscous fluids, the Westervelt equation can aptly describe the absorption and non-linear effects of ultrasound [15]. Accurately derived from the second-order term of the fluid motion equation, the Westervelt equation can be represented as follows:
2 p 1 c 2 2 p t 2 + δ c 4 3 p t 3 + β ρ c 4 2 p 2 t 2 = 0 .
In Equation (1), is the Laplace operator, p is the total ultrasound pressure, c is the velocity of sound, ρ is the density, β = 1 + B / ( 2 A ) is the non-linear coefficient, B/A is the non-linear parameter of the medium, and δ is the sound diffusion coefficient.
In Equation (1), the first two terms describe the linear propagation of ultrasonic waves without loss. The third term is loss, which describes the ultrasonic loss caused by heat conduction and fluid viscosity. The fourth term is the non-linear term, which describes the non-linear distortion propagation characteristics of ultrasonic waves caused by finite amplitude effects.

2.1.2. Heat Transfer Equation

Ultrasound is a mechanical vibration that, when propagated within the human body, causes vibration displacement and the vibration rate of tissue particles. As long as the heat absorption rate of biological tissue exceeds the heat dissipation rate, the temperature inside the tissue will increase. The prevailing heat transfer model is the biological heat transfer model, known as the Pennes equation, proposed by Pennes in 1948 [16]. The expression of the Pennes equation is given below.
ρ C t T t = k 2 T + W b C b ( T b T ) + Q
In the given formula, T represents the tissue temperature. C t and k represent the specific heat and thermal conductivity of biological tissues, respectively. W b represents the perfusion rate of blood flow for non-living tissues. The perfusion rate of blood flow can be ignored in the model by putting W b = 0. C b represents the specific heat capacity. T b is the temperature of the blood. Q is the ultrasonic power loss. Q can be expressed as follows:
Q = 2 α n ω 2 ρ c ( p t ) 2
In the above formula, α n is the absorption coefficient corresponding to the nth harmonic component, ω is the angular frequency of ultrasound, and the symbol < > represents the time average.

2.1.3. Equation of Solid Mechanics

Although infrared temperature measurement has good spatial and temporal resolution, infrared glass can undeniably impact temperature measurement. When ultrasound waves propagate in tissues, only the influence of longitudinal waves needs to be considered. However, there are still shear waves in infrared glass, and their effects cannot be ignored.
The control equation is given below [17].
ρ ω 2 X = σ + F v e i Φ
In the above equation, ω is the angular frequency, X represents the displacement generated by the structure, σ is a stress tensor, and F v is an external force. The first term on the right side of the equation is the surface load, and the second is the body load.
The boundary load equation is:
σ n = F v e i Φ
In the above equation, n is the surface normal vector.
The symmetric boundary constraint conditions are given below.
n · X = 0
The boundary control equation can be expressed in the following fashion:
ν fluid = i ω χ solid
In the given equation, ν fluid represents the fluid velocity. χ solid represents the displacement of a solid, ensuring continuity on the stress boundary. Moreover, the temperature can comprise adiabatic or isothermal conditions.

2.1.4. Thermal Viscosity Equation

When focused ultrasound propagates at the interface between infrared glass and a tissue layer, thermal and viscous losses can cause acoustic attenuation. Specifically, losses occur in the acoustic, thermal, and viscous boundary layers of near-infrared glass. In order to establish a model that accurately matches the temperature measured by near-infrared spectroscopy, one must account for the thermal viscosity phenomenon induced by infrared glass and assess its influence on the temperature.
The continuity equation used in the thermal viscosity model is given below.
i ω ν + ρ ν = 0
In Equation (8), ν represents the velocity field. The multiplication of ν and i ω represents the differentiation of time. The momentum equation can be expressed as follows:
i ω ρ ν = p I + μ ν + ν T + μ B 2 3 μ ν I
Here, I represents momentum, μ represents dynamic viscosity, and μ B represents volumetric viscosity. The left side of the equation represents the mass of the conserved quantity, and the term on the right represents the divergence of the stress tensor.
The energy conservation equation can be expressed in the following manner:
i ω ρ C b T T 0 α 0 p = ( k T ) + Q .
Here, k represents the thermal conductivity and α 0 represents the thermal expansion coefficient at a constant pressure.
Combining Equations (8)–(10) yields a linearized equation of the state associated with changes in the pressure, temperature, and density, as presented below.
ρ = ρ β T p α 0 T
In this equation, β T represents the isothermal compression rate. Assuming that the medium in the pipeline is static, uniform, continuous, and lossless, the ultrasound pressure undergoes a harmonic change with time. Furthermore, the coefficient representing the influence of time on the ultrasound pressure is denoted as e i ω t . Under minor vibrational disturbances, the dependent variable in the ultrasound field can be represented as follows:
p = p 0 + p e i ω t
v = v 0 + v e i ω t
T = T 0 + T e i ω t
In the given equations, variables with subscript 0 are related to the background flow, while variables with superscripts are related to acoustics. Inserting the control equation, Equation (4), into the above equations and retaining only the linear terms in the first-order variable gives the control equation for ultrasound wave propagation related to viscous and thermal losses [18].
The symmetric boundary constraint conditions in the thermal viscosity model are given below.
n · v = 0

2.2. Simulation

To date, there is no analytical solution to the Westervelt equation. It can only be solved numerically. In this study, the COMSOL V6.1 finite element simulation software was used to solve the Westervelt acoustic wave propagation equation.
Figure 1 illustrates a two-dimensional axisymmetric simulation model developed using COMSOL V6.1. Figure 1a represents biological tissues alone, while Figure 1b incorporates infrared glass. A focused ultrasound transducer with parameters, shown in Table 1, was used. The excitation signal was a sine wave with a frequency of 1 MHz. Multiple layers of human tissue, including skin, fat, muscle, and liver, were used with ultrasound beams focused 42 mm deep into the liver. The specific biological tissue parameters used in the model are shown in Table 2.
When dividing the COMSOL V6.1 finite element model into grids, the two-dimensional axisymmetric model was discretized using a free triangular mesh. Reducing the grid size brings the numerical solution closer to the exact solution. However, it consumes significant computational resources. Therefore, when conducting temperature simulation calculations, it is necessary to determine the optimal grid size of the model. Considering the glass-free model depicted in Figure 1a, its temperature distribution along the acoustic axis direction was computed, as demonstrated in Figure 2. The model adopts four different grid sizes from four units per wavelength to seven units per wavelength for parameterized scanning. The grid sizes are shown in Table 3.
Figure 2 shows that the temperature distribution waveforms of different grid size models are roughly the same, with some errors in the highest temperature. The maximum axial temperature values of Grid1, Grid2, Grid3, and Grid4 are 51.7997, 49.4845, 48.4640, and 48.4003, respectively. The maximum error between Grid1 and Grid4 is 3%, while the maximum error between Grid3 and Grid4 is only 0.1%. Based on the temperature distribution curve results in this model, a maximum unit size of the grid at 0.2463 mm renders the numerical solution reliable. At this point, further grid refinement leads to marginal alterations in the solution accuracy. Considering the overall solution accuracy and calculation time, the grids for the models under different working conditions are segmented into six units per wavelength.

3. Results

3.1. Linear Model

The model shown in Figure 1a shows the maximum ultrasound pressure and temperature rise on the ultrasound axis (z-axis) when the input sound power is 20 W, 40 W, 60 W, 80 W, and 100 W, and the irradiation time is 5 s, as shown in Figure 3.
As shown in Figure 3, there is a linear relationship between the sound power and peak ultrasound pressure. As the power linearly increases, the peak ultrasound pressure and maximum temperature increase. The larger the power difference, the more pronounced this trend becomes.
The simulated sound and thermal field distributions that occur when the sound power is 100 W are shown in Figure 4. Figure 4a depicts the ultrasound field distribution of the ultrasound, showcasing an elliptical region within the −6 dB focal zone. Furthermore, Figure 4c illustrates the ultrasound pressure distribution along the sound axis, offering a deeper understanding of the intensity and shape of the ultrasound waves at various positions. In theory, the focus should be on the origin of the coordinate, and the maximum ultrasound pressure should coincide with it. However, the simulation results showed that the actual peak ultrasound pressure occurred at the coordinate −5.17 mm, indicating a 5.17 mm offset, which is independent of the power. When the HIFU penetrates multiple layers of tissue, the propagation path of the ultrasound waves is bent due to factors such as absorption and scattering, which affect the focusing effect. Figure 4b shows the temperature distribution, with the highest temperature point deviating from the focal point by 5.5 mm. This phenomenon can be attributed to the influence of thermal effects and the thermal conductivity properties within the tissue. These factors work together to cause non-uniformity in the temperature distribution. Figure 4d shows the highest temperature rise after 5 s of ultrasound application. The highest temperature within the tissue rapidly increased from 20 °C to 71 °C. At the end of the ultrasound application, the temperature begins to decrease slowly; this is related to tissue heat conduction, heat dissipation, and action time.

3.2. Nonlinear Effect

When ultrasound propagates in biological tissues, its amplitude is sufficient to generate higher-order harmonics. Under the influence of strong ultrasound fields, non-linear effects have an important impact on the temperature field. As the energy increases, the non-linear effects excite higher-order harmonics. As the number of harmonics increases, the ultrasound pressure in the ultrasound field also increases. In this study, the non-linear components of the second order and above were ignored. The focus was on studying the non-linear characteristics, including the second harmonic. Figure 5 shows the comparison results of the ultrasound and thermal fields between the non-linear model and the linear model under different input powers.
The following conclusion can be drawn by comparing the calculation results of the linear and non-linear models. With the increase in power, the maximum axial sound pressure shows an upward trend in both models. However, considering the non-linear effect, the increase in ultrasound pressure is more significant. The ultrasound pressure value calculated using the non-linear model is higher for a given power. Since the thermal field is calculated based on the ultrasound field, the significant enhancement of non-linear effects on the ultrasound pressure means that the trend of the temperature rise is also more pronounced. These results indicate that non-linear effects significantly impact the ultrasound and temperature fields of HIFU, especially in high-power situations. Under the action of 100 W sound power, the non-linear maximum ultrasound pressure is 38% higher than the linear one, and the maximum temperature is 13% higher.
There is a slight deviation of 0.07 mm at the highest point of ultrasound pressure in both the linear and non-linear models. However, the highest point of temperature shifted by 0.9 mm away from the direction of the transducer. The influence of the non-linear effects on the propagation characteristics of the ultrasound waves can explain this offset. The non-linear effect enhances the focusing of the ultrasound energy, allowing the ultrasound waves to be more concentrated and converted into thermal energy, resulting in the corresponding movement of the highest temperature point away from the transducer. This result is of great significance for the application of HIFU technology. Understanding the influence of non-linear effects on ultrasound focusing and temperature distribution enables us to optimize and regulate HIFU device parameters effectively. It ensures the maximum focus on the ultrasound energy and the accurate positioning of the temperature, thereby achieving more effective treatment effects and ensuring patient safety.

3.3. Shear Wave Effect

When using the near-infrared method to measure the temperature distribution of tissues irradiated by HIFU, selecting a suitable observation window involves using infrared glass with infrared transmission functionality. There are significant structural differences between infrared glass and tissue, and when ultrasound waves propagate through the tissue, only the influence of longitudinal waves needs to be considered. Moreover, the influence of shear waves in infrared glass cannot be ignored [19].
An ultrasound-solid coupling model for multi-layer tissue and infrared glass was developed, as shown in Figure 1b. The impact of infrared glass on HIFU temperature measurement was compared with linear models. The characteristic parameters of infrared glass are shown in Table 1. Assuming that the longitudinal wave velocity in the glass remains constant during the HIFU process, the comparison results of the ultrasound and thermal fields between the shear wave model and the linear model under different input powers are shown in Figure 6.
Figure 6 shows that when the input power is 100 W, the maximum ultrasound pressure with infrared glass is 3.13 MPa, whereas without infrared glass, the maximum ultrasound pressure reaches 3.53 MPa. Meanwhile, in the absence of infrared glass, the maximum temperature reaches 71.9 °C. In contrast, in the presence of glass, the maximum temperature is 77.7 °C—about 8% higher than that without considering the shear waves. These results indicate that under the same input power, the maximum ultrasound pressure significantly decreases when considering shear waves in the presence of glass. It indicates that infrared glass has a particular blocking effect on the propagation of focused ultrasound. In addition, through the reflection and attenuation of the glass and multi-layer tissues, the maximum ultrasound pressure point coordinates moved from −5.10 mm to −15.14 mm. This indicates that at the same energy intensity, shear waves weaken the ultrasound pressure of HIFU and impact its focusing effect. At the same time, although infrared glass weakens the ultrasound pressure, it improves the efficiency of converting ultrasound energy into heat energy, thus increasing the tissue temperature.

3.4. Thermal Viscosity

The thermal viscosity effect refers to the phenomenon of energy dissipation and conversion into thermal energy during the propagation of ultrasound waves. This happens due to the interaction and friction between medium molecules. This heating phenomenon is pronounced, especially at the adjacent interface between the tissue and glass. The thermal viscosity effect is a crucial factor that cannot be ignored in the HIFU-heating of biological tissues, and its impact on the temperature field must be comprehensively considered and accurately evaluated.
Based on the shear wave model, a thermal viscous boundary layer is introduced at the interface between the glass and tissue, followed by simulation calculations. Considering the addition of a thermal viscous boundary layer and only accounting for the shear wave model, the ultrasound and temperature fields were compared under different input powers. The specific comparison results are shown in Figure 7.
Figure 7 shows that after introducing the thermal viscosity effect, the thermal loss significantly increases, based on shear waves, and becomes more significant with the increase in power. Under thermal viscosity, the acoustic thermal effect is significantly enhanced, and the temperature is further increased. The thermal viscosity increases the friction between the media, and the heat generated by friction increases the temperature. However, at a power of 100 W, the temperature difference caused by the thermal viscosity effect is only 1.7 °C, which is not substantial compared to the significant temperature rise effect caused by shear waves. This is due to the fact that the temperature rise caused by the thermal viscosity effect is a local effect. The thermal energy in the medium is mainly concentrated in the friction and collision processes between molecules. This energy cannot effectively propagate throughout the entire medium, limiting the range and degree of thermal viscosity effect propagation within the medium. In contrast, shear waves can induce a comprehensive motion within the medium, leading to a more even heat distribution within the medium.

3.5. Thermal Viscosity

From the above, it can be concluded that when using infrared glass to measure the temperature rise of the tissue surface under the action of HIFU, it is influenced by both shear waves and thermal viscosity, primarily due to the increased sensitivity of oblique incidence to them. In this study, oblique incidences were used to detect and evaluate the additional thermal viscosity effect and shear wave effect of near-infrared temperature measurement.
In changing the deflection angle of the transducer to achieve oblique incidence, it is vital to note that utilizing large-scale models for a comprehensive simulation of the target is not feasible. This is because of the high demand for computer resources in 3D modeling and the constraints of grid accuracy, among other factors. On this basis, a new simplification method is proposed, which uses a small-sized model to replace the original model. Figure 8 illustrates a small-scale, three-dimensional finite element model of focused ultrasound with oblique incidence. Except for the size, all of the other characteristic parameters remain constant, including the deflection angle (θ) of the transducer.
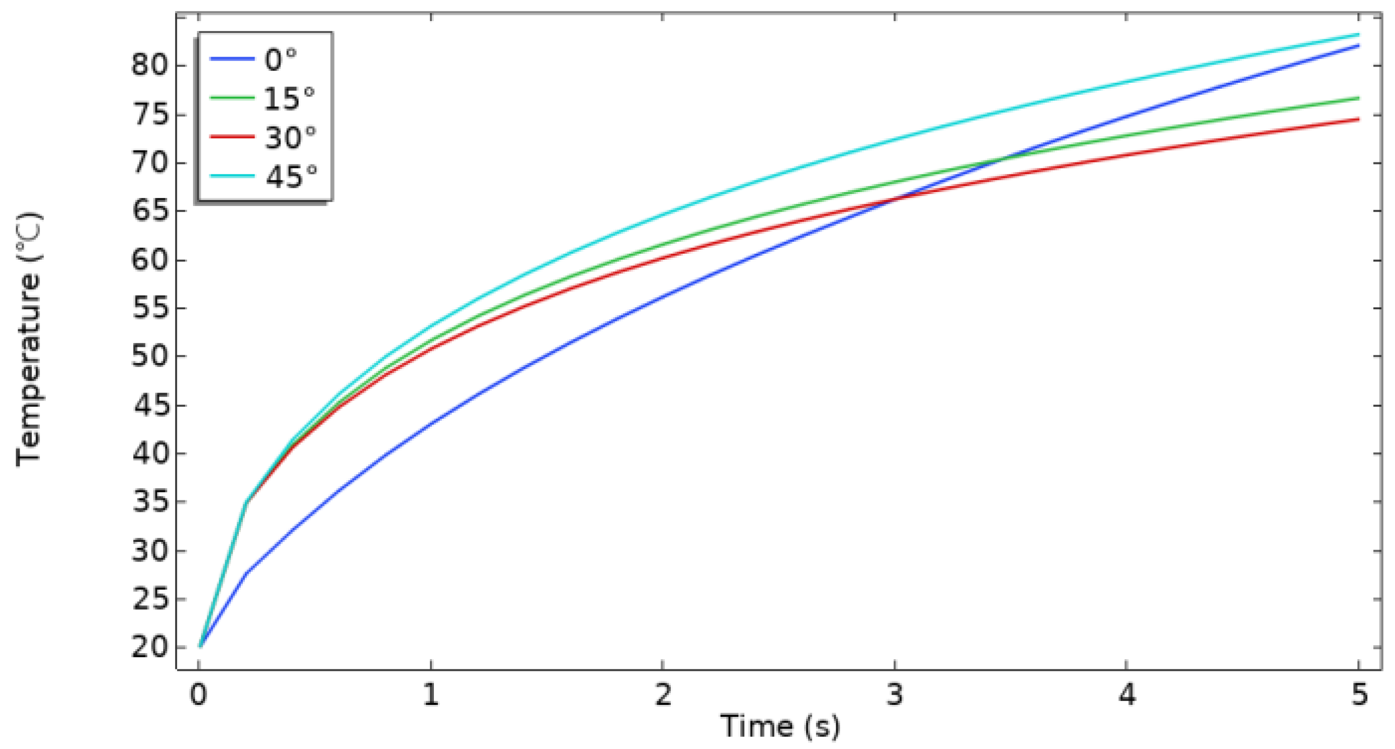
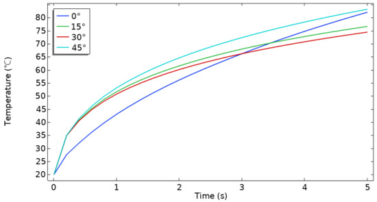
Figure 9 and Figure 10 show the tangential temperature distribution corresponding to different incident angles considering shear waves without and with the presence of the thermal viscous boundary layer, respectively. Correspondingly, temperature rise curves of different incident angles are depicted in Figure 11 and Figure 12. The results indicate that as the deflection angle θ of the transducer gradually increases, the temperature range formed at the interface between the tissue and glass on the axial section also increases, with the maximum temperature during vertical incidence exceeding 80 °C presented in Figure 11. When the deflection angle of the transducer is 15°, the temperature decreases by about 6 ° C compared to vertical incidence. When the deflection angle is 30 °C, the temperature decreases by approximately 10 °C. Thus, with the continuous increase in the deflection angle, the temperature correspondingly decreases. This trend indicates that oblique incidence enhances the shear wave effect, significantly reducing the temperature in the tissue and expanding the temperature rise range on the surface of the tissue.
As shown in Figure 10, at the same deflection angle, the temperature on the surface of the tissue is higher due to the influence of thermal viscosity. Compared to Figure 11, there is almost no change in the maximum temperature under vertical incidence as shown in Figure 12. When thermal viscosity is not considered, the maximum temperature decreases as the deflection angle of the transducer increases. However, this linear change is no longer required, considering the thermal viscosity. Up to 3 s, the order of temperatures from high to low was 45°, 15°, 30°, and 0°. Between 3 to 3.5 s, the order shifted to 45°, 15°, 0°, and 30°. From 3.5 s to 5 s, the values from high to low were 45°, 0°, 15°, and 30°, respectively. The results indicate that the effect of the deflection angle on the temperature varies at different times and powers. When considering the thermal viscosity, 45° has the greatest impact on the temperature.
Considering the thermal viscosity loss based on oblique incidence, the temperature distribution on the glass surface changes. Oblique incidence has an enhanced effect on the acoustic, thermal conversion of the thermal viscosity phenomenon.

4. Discussion

In the existing transient temperature measurement methods, thermocouples are often used. The error introduced by metal thermocouples in biological tissues under ultrasound is related to the VHA in measurement [20]. VHA occur at the thermocouple tissue interface, caused by the difference in the densities between the thermocouple and the surrounding tissue [21]. In 2008,Morris et al. showed that temperature measurements using metal wire thermocouples can have an error of up to 80% [22].
Different methods have been proposed to minimize VHA to obtain the actual temperature in response to this issue. Research has shown that the contribution of viscous heating is significant at the onset of ultrasound action and decreases over time [20]. This method, also known as the “wait and then measure” method, involves waiting for a certain amount of time to measure the temperature in order to minimize the impact of viscous heating. A drawback of this method is the inconsistent waiting times reported in different studies, attributed to variations in the tissue characteristics, acoustic parameters, and thermocouple specifications. For instance, waiting times such as 0.5 s after the start of ultrasound or 200 milliseconds [23], 2 s [24], and 5 s [25] after ultrasound cessation have been reported. Another method is simulation, used to estimate the temperature increase caused by viscous heating and correct the temperature reading [22]. No matter which method is used, there are inconveniences, which also highlight the limitations of thermocouples.
Based on the simulation results in this study, it is observed that the temperature rise due to non-linear effects surpasses that caused by shear waves and thermal viscosity. Importantly, under high-order harmonic excitation, non-linear effects significantly impact the temperature. Hence, accounting for additional temperatures induced by non-linear effects during the analysis is imperative. It is worth noting that although the thermal viscosity effect was considered in this study, the influence of non-linear effects was not considered. Therefore, we still need to understand the influence of non-linear effects on thermal viscosity. However, it is worth noting that there is also a non-linear effect within the thermocouple, which will have a pronounced impact on the thermal viscosity. In summary, compared to thermocouples, the thermal viscosity effect of infrared glass has a relatively small error. It means that infrared glass can effectively overcome the limitations of thermocouples and provide more accurate temperature distribution values, reflecting the temperature diffusion.
In clinical practice, the presence of bone structure can be analogized to that of infrared glass, which will potentially affect the ultrasound field distribution, in turn generating an additional temperature rise during HIFU tumor treatment surgery. By conducting simulations on infrared glass, we can gain a deeper understanding of the characteristics of bones. However, there are noteworthy distinctions between infrared glass and bones. Infrared glass exhibits good thermal sensitivity, yet its attenuation coefficient is small, preventing any significant additional temperature rise. Conversely, bones possess a relatively large structural attenuation coefficient, causing more substantial temperature increases during irradiation, leading to higher heat absorption. Therefore, when conducting HIFU practice, it is necessary to avoid bone parts in order to avoid potential damage risks. Through in-depth research on the relationship between infrared glass and bones, we can provide the necessary guidance and inspiration for clinical practice. These results have significant implications for future scientific research and medical technology innovation.
In future work, comparative experiments between near-infrared temperature measurement and thermocouple temperature measurement should be carried out to verify the accuracy and reliability of the model using experimental data. In the planned experimental process, special attention should be paid to the potential temperature measurement errors caused by the non-uniformity and anisotropy of biological samples, as well as that introduced by thermocouple armor. To reduce these errors, it is worth making all efforts. In addition, previous research results and clinical application cases can also serve as additional evidence to confirm the correctness of the models.

5. Conclusions

After adding infrared glass, the role of HIFU in biological tissues is influenced by various factors. Shear waves, thermal viscosity, oblique incidence, and non-linear effects all have a particular regulatory effect on the acoustic thermal effect. Through research, it has been found that infrared glass has a specific impact on HIFU temperature measurement. In the ultrasonic field, non-linear effects cause the interaction between the frequency components of ultrasound waves, generating new frequency components, thereby enhancing the ultrasound pressure and acoustic thermal effect. At an equivalent power level and irradiation duration, shear waves, despite attenuating the ultrasound pressure intensity in the focal region, enhance the efficiency of acoustic thermal conversion. The thermal viscosity increases the ultrasound pressure and temperature in the focal region to a certain extent. Oblique incidence enhances the conversion efficiency of shear waves and thermal viscosity into sound and heat, considerably expanding the temperature rise range on the tissue surface. This work provides a crucial theoretical basis for the applications of infrared glass in the field of HIFU.

Author Contributions

Conceptualization, P.Z. and Y.W.; methodology, X.G.; software, P.Z.; validation, W.L. and W.S.; writing—original draft preparation, P.Z. and Y.W.; supervision, Y.W. All authors have read and agreed to the published version of the manuscript.

Funding

This research was funded by [Zhejiang Provincial Science and Technology Plan Project] grant number [2022C01002].

Institutional Review Board Statement

Not applicable.

Informed Consent Statement

Not applicable.

Data Availability Statement

Data are contained within the article.

Conflicts of Interest

The authors declare no conflict of interest.

References

  1. Tonguc, T.; Recker, F.; Ganslmeier, J.; Strunk, H.M.; Pieper, C.C.; Ramig, O.; Welz, S.; Egger, E.K.; Mutschler, N.; Warwas, L.; et al. Improvement of fibroid-associated symptoms and quality of life after US-guided high-intensity focused ultrasound (HIFU) of uterine fibroids. Sci. Rep. 2022, 12, 21155. [Google Scholar] [CrossRef] [PubMed]
  2. Guo, S.; Wang, X.; Guo, X.; Ya, Z.; Wu, P.; Bouakaz, A.; Wan, M. Decreased clot debris size and increased efficiency of acoustic vortex assisted high intensity focused ultrasound thrombolysis. J. Appl. Phys. 2020, 128, 094901. [Google Scholar] [CrossRef]
  3. Ashar, H.; Ranjan, A. Immunomodulation and targeted drug delivery with high intensity focused ultrasound (HIFU): Principles and mechanisms. Pharmacol. Ther. 2023, 244, 108393. [Google Scholar] [CrossRef] [PubMed]
  4. Liu, Y.; Kon, T.; Li, C.; Zhong, P. High intensity focused ultrasound-induced gene activation in solid tumors. J. Acoust. Soc. Am. 2006, 120, 492–501. [Google Scholar] [CrossRef] [PubMed]
  5. Karaboce, B. Investigation of thermal effect by focused ultrasound in cancer treatment. IEEE Instrum. Meas. Mag. 2016, 19, 20–64. [Google Scholar] [CrossRef]
  6. Matsuki, K.; Narumi, R.; Azuma, T.; Yoshinaka, K.; Sasaki, A.; Okita, K.; Takagi, S.; Matsumoto, Y. Temperature distributions measurement of high intensity focused ultrasound using a thin-film thermocouple array and estimation of thermal error caused by viscous heating. In Proceedings of the 2013 35th Annual International Conference of the IEEE Engineering in Medicine and Biology Society (EMBC), Osaka, Japan, 3–7 July 2013; Volume 5, pp. 3722–3725. [Google Scholar]
  7. Karaböce, B.; Çetin, E.; Durmuş, H.O.; Özdingiş, M.; Korkmaz, H.; Altun, J.; Argun, S. Experimental investigations of viscous heating effect of thermocouples under focused ultrasound applications. In Proceedings of the IEEE International Symposium on Medical Measurements and Applications (MeMeA), Rochester, MN, USA, 7–10 May 2017; pp. 88–93. [Google Scholar]
  8. Raiko, J.; Koskensalo, K.; Sainio, T. Imaging-based internal body temperature measurements: The journal Temperature toolbox. Temperature 2020, 7, 363–388. [Google Scholar] [CrossRef] [PubMed]
  9. Ahmed, N.; Gandhi, D.; Melhem, E.R.; Frenkel, V. MRI Guided Focused Ultrasound-Mediated Delivery of Therapeutic Cells to the Brain: A Review of the State-of-the-Art Methodology and Future Applications. Front. Neurol. 2021, 12, 669449. [Google Scholar] [CrossRef] [PubMed]
  10. Kim, J.; Jung, J.; Kim, M.; Ha, K.; Lee, E.; Lee, I. Distribution of temperature elevation caused by moving high-intensity focused ultrasound transducer. Jpn. J. Appl. Phys. 2015, 54, 07HF13. [Google Scholar] [CrossRef]
  11. Liu, Z.; Tian, B.; Zhang, B.; Liu, J.; Zhang, Z.; Wang, S.; Luo, Y.; Zhao, L.; Shi, P.; Lin, Q.; et al. A thin-film temperature sensor based on a flexible electrode and substrate. Microsyst. Nanoeng. 2021, 7, 42. [Google Scholar] [CrossRef] [PubMed]
  12. Huang, C.W.; Lien, D.H.; Chen, B.T.; Shieh, J.; Tsui, P.H.; Chen, C.S.; Chen, W.S. Ultrasound thermal mapping based on a hybrid method combining cross-correlation and zero-crossing tracking. J. Acoust. Soc. Am. 2013, 134, 1530–1540. [Google Scholar] [CrossRef] [PubMed]
  13. Wong, W.-S.F. The feasibility of infra-red skin temperature monitoring in the prevention of skin burn and nerve injury during HIFU ablation of fibroids and adenomyoma. World J. Adv. Res. Rev. 2021, 9, 121–126. [Google Scholar] [CrossRef]
  14. Shaw, A.; Nunn, J. The feasibility of an infrared system for real-time visualization and mapping of ultrasound fields. Phys. Med. Biol. 2010, 55, N321–N327. [Google Scholar] [CrossRef] [PubMed]
  15. Lin, H.; Bengisu, T.; Mourelatos, Z.P. Derivation of acoustic wave equation. In Lecture Notes on Acoustics and Noise Control; Springer: Cham, Switzerland, 2022; Volume 1, pp. 27–48. [Google Scholar]
  16. Pennes, H.H. Analysis of tissue and arterial blood temperatures in the resting human forearm. J. Appl. Physiol. 1948, 1, 93–122. [Google Scholar] [CrossRef] [PubMed]
  17. Fung, Y.C. Foundations of Solid Mechanics; Prentice-Hall: Hoboken, NJ, USA, 1965. [Google Scholar]
  18. Diaz, M.A.; Solovchuk, M.A.; Sheu, T.W. A conservative numerical scheme for modeling nonlinear acoustic propagation in thermoviscous homogeneous media. J. Comput. Phys. 2018, 363, 200–230. [Google Scholar] [CrossRef]
  19. Franco, E.E.; Barrera, H.M.; Formigoni, P.O.; Buiochi, F. Shear-wave corner retroreflector device for ultrasonic measurement of viscosity. Ultrasonics 2021, 117, 106538. [Google Scholar] [CrossRef] [PubMed]
  20. Fry, W.J.; Fry, R.B. Determination of Absolute Sound Levels and Acoustic Absorption Coefficients by Thermocouple Probes—Experiment. J. Acoust. Soc. Am. 1954, 26, 311–317. [Google Scholar] [CrossRef]
  21. Goss, S.A.; Cobb, J.W.; Frizzell, L.A. Effect of beam width and thermocouple size on the measurement of ultrasonic absorption using the thermoelectric technique. In Proceedings of the Ultrasonics Symposium, Phoenix, AZ, USA, 26–28 October 1977; Volume 5, pp. 206–211. [Google Scholar]
  22. Tong, S.; Wang, Y.; Zhao, P.; Tao, J.; Guo, X.; Yu, Y. The Power Setting of Focused Ultrasound for the Palliative Treatment of Advanced Pancreatic Cancer: A Study in an Ex Vivo Bovine Liver. Appl. Sci. 2023, 13, 474. [Google Scholar] [CrossRef]
  23. Hynynen, K.; Martin, C.J.; Watmough, D.J.; Mallard, J.R. Errors in temperature measurement by thermocouple probes during ultrasound induced hyperthermia. Br. J. Radiol. 1983, 56, 969–970. [Google Scholar] [CrossRef] [PubMed]
  24. Parker, K.J. The thermal pulse decay technique for measuring ultrasonic absorption coefficients. J. Acoust. Soc. Am. 1983, 74, 1356–1361. [Google Scholar] [CrossRef]
  25. Morris, H.; Rivens, I.; Shaw, A.; ter Haar, G. Investigation of the viscous heating artefact arising from the use of thermocouples in a focused ultrasound field. Phys. Med. Biol. 2008, 53, 4759–4776. [Google Scholar] [CrossRef] [PubMed]
Figure 1. Schematic diagram of the simulation model: (a) is a schematic of the geometric model without infrared glass and with only human tissue; (b) is a schematic of the geometrical model with infrared glass.
Figure 1. Schematic diagram of the simulation model: (a) is a schematic of the geometric model without infrared glass and with only human tissue; (b) is a schematic of the geometrical model with infrared glass.
Applsci 13 12648 g001
Figure 2. Axial temperature distribution corresponding to different grid sizes.
Figure 2. Axial temperature distribution corresponding to different grid sizes.
Applsci 13 12648 g002
Figure 3. Peak acoustic pressure, maximum temperature, and coordinate shift corresponding to different input powers under linear conditions.
Figure 3. Peak acoustic pressure, maximum temperature, and coordinate shift corresponding to different input powers under linear conditions.
Applsci 13 12648 g003
Figure 4. Simulation results of ultrasound and thermal fields corresponding to 100 W under linear conditions: (a) depicts the ultrasound field distribution of ultrasound; (b) shows the temperature distribution; (c) illustrates the ultrasound pressure distribution along the ultrasound axis; (d) shows the highest temperature rise after 5 s of ultrasound application.
Figure 4. Simulation results of ultrasound and thermal fields corresponding to 100 W under linear conditions: (a) depicts the ultrasound field distribution of ultrasound; (b) shows the temperature distribution; (c) illustrates the ultrasound pressure distribution along the ultrasound axis; (d) shows the highest temperature rise after 5 s of ultrasound application.
Applsci 13 12648 g004
Figure 5. Comparison results of ultrasound and thermal fields between non-linear and linear models under different input powers.
Figure 5. Comparison results of ultrasound and thermal fields between non-linear and linear models under different input powers.
Applsci 13 12648 g005
Figure 6. Comparison results of ultrasound and thermal fields between the shear wave model and linear model under different input powers.
Figure 6. Comparison results of ultrasound and thermal fields between the shear wave model and linear model under different input powers.
Applsci 13 12648 g006
Figure 7. Comparison results of ultrasound and thermal fields between the thermal viscosity model and the shear wave model under different input powers.
Figure 7. Comparison results of ultrasound and thermal fields between the thermal viscosity model and the shear wave model under different input powers.
Applsci 13 12648 g007
Figure 8. 3D oblique incidence acoustic, solid coupling model.
Figure 8. 3D oblique incidence acoustic, solid coupling model.
Applsci 13 12648 g008
Figure 9. Temperature distribution corresponding to different incident angles when considering shear waves (0°, 15°, 30°, 45°, respectively).
Figure 9. Temperature distribution corresponding to different incident angles when considering shear waves (0°, 15°, 30°, 45°, respectively).
Applsci 13 12648 g009
Figure 10. Temperature distribution corresponding to different incident angles when considering thermal viscosity (0°, 15°, 30°, 45°, respectively).
Figure 10. Temperature distribution corresponding to different incident angles when considering thermal viscosity (0°, 15°, 30°, 45°, respectively).
Applsci 13 12648 g010
Figure 11. Temperature rise curves corresponding to different incident angles when considering shear waves.
Figure 11. Temperature rise curves corresponding to different incident angles when considering shear waves.
Applsci 13 12648 g011
Figure 12. Temperature rise curves corresponding to different incident angles when considering the thermal viscous boundary layer.
Figure 12. Temperature rise curves corresponding to different incident angles when considering the thermal viscous boundary layer.
Applsci 13 12648 g012
Table 1. Parameters for focused ultrasonic transducers.
Table 1. Parameters for focused ultrasonic transducers.
Frequency (MHz)Aperture Diameter (mm)Focal Length (mm)Power (W)Depth (mm)
1.129515020–10042
Table 2. Organizational parameters used in the simulation.
Table 2. Organizational parameters used in the simulation.
ParametersWaterLiverSkinMuscleFatInfrared Glass
Density (kg/m3)10001050110910909114890
Speed of sound (m/s)150015871624158814782692
Thermal conductivity (W/m·K)0.60.480.30.460.211.72
Thermal capacity (J/kg·K)41803400339035002000410
Absorption coefficient (Np/m/MHz)0.0287.7287.95223.8044.883-
Non-linear coefficient57.377.110-
Thickness (mm)6584310303
Table 3. Grid sizes used in the simulation.
Table 3. Grid sizes used in the simulation.
Grid LabelGrid1Grid2Grid3Grid4
Number of units per wavelength/unit 4567
Maximum unit size/mm0.36950.29560.24630.2111
Minimum unit size/mm0.050.050.050.05
Number of units/unit4.3 × 1055.3 × 1056.4 × 1057.9 × 105
Solve the number of degrees of freedom/piece9.9 × 1051.3 × 1061.6 × 1062.0 × 106
Disclaimer/Publisher’s Note: The statements, opinions and data contained in all publications are solely those of the individual author(s) and contributor(s) and not of MDPI and/or the editor(s). MDPI and/or the editor(s) disclaim responsibility for any injury to people or property resulting from any ideas, methods, instructions or products referred to in the content.

Share and Cite

MDPI and ACS Style

Zhao, P.; Guo, X.; Liu, W.; Shi, W.; Wang, Y. Numerical Study on the Application of Near-Infrared Temperature Distribution Measurement of HIFU. Appl. Sci. 2023, 13, 12648. https://doi.org/10.3390/app132312648

AMA Style

Zhao P, Guo X, Liu W, Shi W, Wang Y. Numerical Study on the Application of Near-Infrared Temperature Distribution Measurement of HIFU. Applied Sciences. 2023; 13(23):12648. https://doi.org/10.3390/app132312648

Chicago/Turabian Style

Zhao, Peng, Xiaoan Guo, Wenjing Liu, Wanting Shi, and Yuebing Wang. 2023. "Numerical Study on the Application of Near-Infrared Temperature Distribution Measurement of HIFU" Applied Sciences 13, no. 23: 12648. https://doi.org/10.3390/app132312648

APA Style

Zhao, P., Guo, X., Liu, W., Shi, W., & Wang, Y. (2023). Numerical Study on the Application of Near-Infrared Temperature Distribution Measurement of HIFU. Applied Sciences, 13(23), 12648. https://doi.org/10.3390/app132312648

Note that from the first issue of 2016, this journal uses article numbers instead of page numbers. See further details here.

Article Metrics

Back to TopTop