Theory and Practice of Determining the Dynamic Performance of Traction Rolling Stock
Abstract
:1. Introduction
- -
- -
- Acceptance train tests, during which the compliance of the dynamic qualities of the locomotive with the requirements of the locomotive customers and all applicable standards for the calculation and operation of locomotives are checked [6]. During these tests, the driving characteristics of the locomotive are determined (running smoothness, stability against transverse overturning of the locomotive in curves, stability of the wheel on the rail), dynamic forces acting on the elements of the locomotive and the railway track and dynamic forces that determine the strength and reliability of the locomotive in long-term operation [7]. Our completed literature review shows that a number of works are devoted to testing railway rolling stock, which reveal many problems associated with full-scale testing of locomotives, cars and their individual components and parts [1,2,3]. To clarify various methods and approaches related to the experimental assessment of the interaction between track and rolling stock, studies of the dynamic characteristics of rolling stock and track are being conducted [4], reflecting the requirements of regulatory and technical documentation [5]. Separate studies are aimed at investigating the impact of moving vehicles on the railway infrastructure and nearby buildings [6] and issues of active and passive safety [7,8]. Various authors have analyzed the dynamic characteristics of rolling stock with increased load capacity [9,10], as well as the influence of operational factors and design features of railway vehicles on the interaction of rolling stock and track [11,12].
2. Preparing the CKD6e Shunting Locomotive for Testing
- -
- Installation of load cells;
- -
- Installation of displacement sensors;
- -
- Installation of acceleration sensors [9].
- (a)
- Before installing the sensors on the cart, the sensor outputs are soldered to the blocks to prevent electrical contact with the surface of the cart.
- (b)
- The installation site is treated (wiped) with acetone in order to degrease the surface. It is also necessary to wipe the glued (lower part) surface of the sensor with acetone.
- (c)
- Glue is applied to the sensor (the second glue moment is universal).
- (d)
- Next, the sensor must be strongly pressed against the surface previously prepared for installation [12]. It is important to avoid the occurrence of air and bubbles between the sensor and the surface to be glued during the installation of the sensor; it is necessary to press the sensor completely against the surface and hold it for at least 30 s.
3. Dynamic Performance of a Diesel Locomotive on Turnouts
4. Dynamic Performance of a Diesel Locomotive on a Straight Section of the Track
5. Dynamic Performance in a Curve with a Radius of 400 m
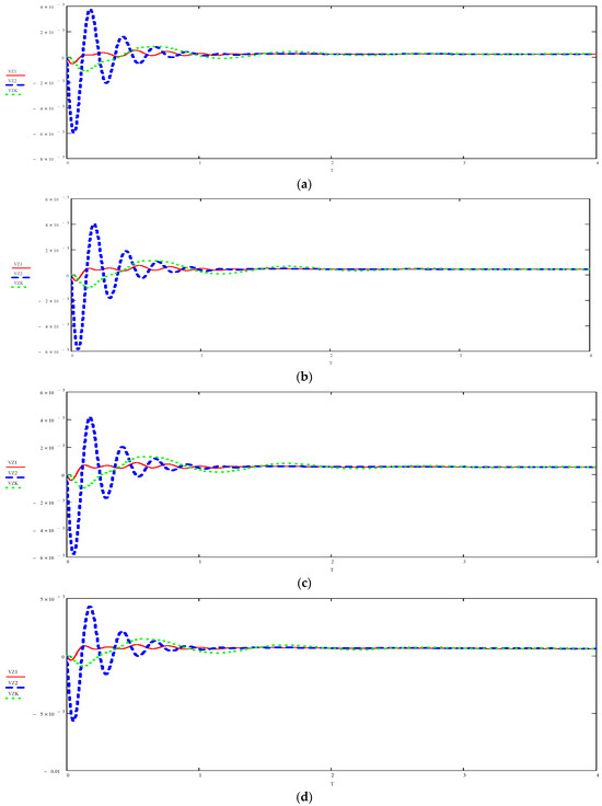
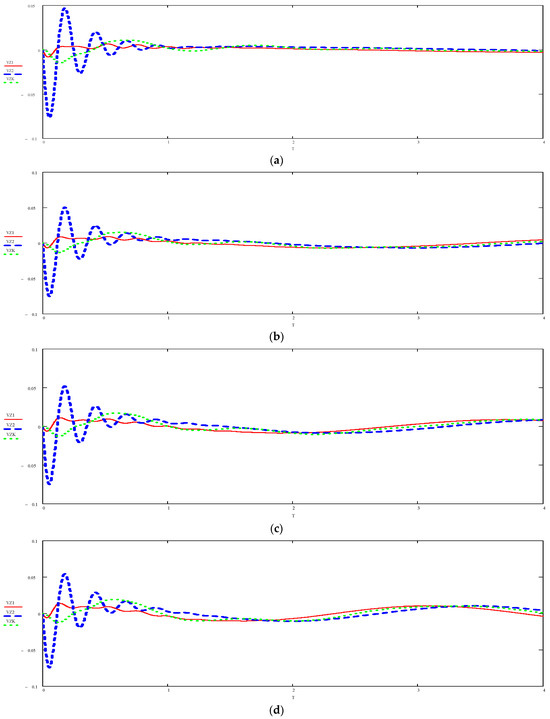
6. Drawing up Equations of Vertical Oscillations of a Diesel Locomotive
7. Results and Discussion
- -
- -
8. Conclusions
- -
- Experimentally obtained values of the vertical dynamics coefficients of the first and second stages of the spring suspension of the tested diesel locomotive CKD6E-2108 did not exceed the permissible limits, and the maximum values for the vertical dynamics coefficients were 0.11 for the first stage and 0.25 for the second stage. In this case, it should be noted that the obtained limit value of 0.25 of the vertical dynamics coefficient of the second stage was recorded when moving at a speed of 90 km/h, which is 12.5% higher than the designated speed [18];
- -
- The experimentally obtained maximum value of the ratio of frame forces to the static load from the wheelset on the rails was 0.08;
- -
- The obtained minimum value of the stability factor against derailment of the wheel on the straight section of the track was much higher than the standard value;
- -
- Thus, the speed of movement along straight sections was in accordance with the norms for permissible movement speeds according to the assessment of dynamic indicators, which may be limited by the declared designated speed of the type of rolling stock under study [20];
- -
- Experimentally obtained dynamic performance of the investigated diesel locomotive CKD6E-2108 (the ratio of frame forces relative to the static load from the wheelset on the rails, the coefficients of vertical dynamics of the first and second stages of suspension and the stability factor against derailment of the wheel from the rail were registered on the track section in a curve with a radius of 400 m) meet current requirements;
- -
- The design scheme and the equation of vertical oscillations were developed.
- -
- An analysis was carried out according to the schedules of movements of the bogies and the body of the locomotive when moving along irregularities of different lengths at different speeds;
- -
- With an increase in speed from 40 km/h to 120 km/h, the amplitude of the bogie oscillation changed (increases), which had a negative effect on the dynamics of the locomotive. On short bumps with the highest speed, the dynamics of the locomotive worsened [3];
- -
- With a long roughness of the track, the amplitude of oscillations was significantly reduced and the smoothness of the movement of the locomotive increased, which did not affect the dynamics of the locomotive.
- -
- Further studies of the dynamic and operational characteristics of the studied diesel locomotive CKD6e can be supplemented as information related to the operation, repair and maintenance of the studied brand of diesel locomotive when it becomes available.
Author Contributions
Funding
Institutional Review Board Statement
Informed Consent Statement
Data Availability Statement
Acknowledgments
Conflicts of Interest
References
- Tyrell, D.; Jacobsen, K.; Martinez, E.; Benjamin Perlman, A. Train-to-Train Impact Test of Crash Energy Management Passenger Rail Equipment: Structural Results. In Proceedings of the ASME 2006 International Mechanical Engineering Congress and Exposition, Atlanta, GA, USA, 2–4 May 2006; pp. 1–10. [Google Scholar]
- Murzakayeva, M.; Musayev, J.; Kvashnin, M.; Zhunisbekov, S.; Zhauyt, A.; Azilkiyasheva, M. Experimental Evaluation of Railway Crew Impact on Tension Rails. Int. J. Mech. Eng. Robot. Res. 2021, 10, 261–269. [Google Scholar] [CrossRef]
- Musayev, J.; Yelzhanov, Y.; Aliyarova, M.; Yelemanova, A.; Zhauyt, A. Shock-impulse diagnosis of railway. Eng. Rural. Dev. 2018, 17, 1618–1623. [Google Scholar]
- Zhu, T.; Xiao, S.; Lei, C.; Wang, X.; Zhang, J.; Yang, B.; Yang, G.; Li, Y. Rail vehicle crashworthiness based on collision energy management: An overview. Int. J. Rail Transp. 2020, 9, 101–131. [Google Scholar] [CrossRef]
- Liu, P.; Wang, K.; Zhang, D. Influence of Traction and Braking Operation on Wheel-Rail Dynamic Interaction for Heavy Haul Locomotive. China Railw. Sci. 2017, 38, 96–104. [Google Scholar]
- Zakeri, J.A.; Xia, H. Sensitivity analysis of track parameters on train-track dynamic interaction. J. Mech. Sci. Technol. 2008, 22, 1299–1304. [Google Scholar] [CrossRef]
- Musayev, J.; Abilkaiyr Zh Kaiym, T.; Alpeisov, A.; Alimbetov, A.; Zhauyt, A. The interaction of the freight car and way taking into account deformation of assembled rails and sleepers. Vibroeng. Procedia 2016, 8, 269–274. [Google Scholar]
- Musayev, J.; Solonenko, V.; Mahmetova, N.; Kvashnin, M.; Zhauyt, A.; Buzauova, T. Modeling of dynamic characteristics of freight car with optimized parameters of wedge-type shock absorber. J. Vibroeng. 2017, 19, 1197–1213. [Google Scholar]
- Wei, D.; Wei, X.; Jia, L. Automatic Defect Description of Railway Track Line Image Based on Dense Captioning. Sensors 2022, 22, 6419. [Google Scholar] [CrossRef] [PubMed]
- Bižić, M.B.; Petrović, D.Z.; Tomić, M.C.; Djinović, Z.V. Development of method for experimental determination of wheel–rail contact forces and contact point position by using instrumented wheelset. Meas. Sci. Technol. 2017, 28, 075902. [Google Scholar] [CrossRef]
- Dumitriu, M.; Fologea, D.; Cruceanu, I.C. Effects analysis of vertical track irregularities on bogie vibration—Method based on bogie modelling and wheelsets accelerations measurement. IOP Conf. Ser. Mater. Sci. Eng. 2021, 1018, 012001. [Google Scholar] [CrossRef]
- Gao, T.; Cong, J.; Wang, P.; Liu, J.; Wang, Y.; He, Q. Vertical track irregularity analysis of high-speed railways on simply-supported beam bridges based on the virtual track inspection method. Proc. Inst. Mech. Eng. Part F J. Rail Rapid Transit 2020, 235, 328–338. [Google Scholar] [CrossRef]
- GOST R 55050-2012 Railway Rolling Stock Norms of Permissible Impact on the Railway Track and Test Methods. Available online: https://pdf.standartgost.ru/catalog/Data2/1/4293787/4293787514 (accessed on 8 November 2012).
- Li, H.; Yang, W.G.; Liu, P.; Wang, M. Prediction method and experimental verification of vibration response caused by underground high-speed railways. J. Low Freq. Noise Vib. Act. Control 2022, 42, 452–469. [Google Scholar] [CrossRef]
- Olivier, B.; Verlinden, O.; Kouroussis, G. Comparison of X–T and X–X co-simulation techniques applied on railway dynamics. Multibody Syst. Dyn. 2022, 55, 39–56. [Google Scholar] [CrossRef]
- Bondarenko, I.; Keršys, R.; Neduzha, L. Analysis of Problem Related to Experimental Data Processing in the Study of the Rolling Stock Influence on the Track. In Proceedings of the 26th International Conference Transport Means, Kaunas, Lithuania, 5–7 October 2022; pp. 663–668. [Google Scholar]
- Doi, H.; Hondo, T.; Nishiyama, Y.; Kuniyuki, S.; Tanaka, T. Stationary Test Method for Evaluating Wheel Unloading of Railway Vehicle on Twisted Track Simulated with Spacers between Wheel and Rail. Proc. Transp. Logist. Conf. 2020, 29, 3801. [Google Scholar] [CrossRef]
- Wang, H.; Berkers, J.; Hurk, N.V.D.; Layegh, N.F. Study of loaded versus unloaded measurements in railway track inspection. Measurement 2020, 169, 108556. [Google Scholar] [CrossRef]
- De Souza, E.F.; Bittencourt, T.N.; Ribeiro, D.; Carvalho, H. Feasibility of Applying Mel-Frequency Cepstral Coefficients in a Drive-by Damage Detection Methodology for High-Speed Railway Bridges. Sustainability 2022, 14, 13290. [Google Scholar] [CrossRef]
- DSTU 7571:2014; Railway Rolling Stock Permissible Exposure Norms to the Railway Track Width 1520 m. Minekonomrozvitku: Kyiv, Ukraine, 2015.
- Spiroiu, M.A.; Nicolescu, M. On the estimation of the reliability probabilistic model of railway wheelset. IOP Conf. Ser. Mater. Sci. Eng. 2019, 682, 012001. [Google Scholar] [CrossRef]
- Wang, K.; Huang, C.; Zhai, W.; Liu, P.; Wang, S. Progress on wheel-rail dynamic performance of railway curve negotiation. J. Traffic Transp. Eng. (Engl. Ed.) 2014, 1, 209–220. [Google Scholar] [CrossRef]
- Ahmed, K.W.; Sankar, S. Steady-state curving performance of railway freight truck with damper-coupled wheelsets. Veh. Syst. Dyn. 1988, 26, 295–315. [Google Scholar] [CrossRef]
- Cherkashin, Y.M.; Pogorelov, D.Y.; Simonov, V.A. Influence of rolling stock and track parameters on train traffic safety. Vestn. VNIIZhT 2010, 2, 11–20. [Google Scholar]
- Chi, M.R.; Wang, K.W.; Fu, M.H.; Ni, W.; Zhang, W. Study on curving performance for bogie with magnetic fluid coupled wheel-sets. J. China Railw. Soc. 2002, 24, 28–33. [Google Scholar]
- Dukkipati, R.V.; Swamy, S.N. Lateral stability and steady state curving performance of unconvertional rail truck. Mech. Mach. Theory 2001, 36, 577–587. [Google Scholar] [CrossRef]
- Gialieonaido, E.D.; Braghin, F.; Biuni, S. The influence of track modeling options on the simulation of rail vehicle dynamics. J. Sound Vib. 2012, 331, 4246–4258. [Google Scholar]
- Huang, Y.H.; Li, F.; Fu, M.H. Research on curving performance of a bogie with independently rotating wheels. China Railw. Sci. 2001, 22, 7–11. [Google Scholar]
- Kurzeck, B. Combined friction induced oscillations of wheelset and track during the curving of metres and their influence on corrugation. Wear 2011, 271, 299–310. [Google Scholar] [CrossRef]
- Lee, S.Y.; Cheng, Y.C. Influences of the vertical and the roll motions of frames on the hunting stability of trucks moving on curved tracks. J. Sound Vib. 2006, 294, 441–453. [Google Scholar] [CrossRef]
- Lu, Z.G.; Zhao, H.X. Curve performance study and parameter design of flexible coupled single-wheelset running gears. China Railw. Sci. 2004, 25, 32–37. [Google Scholar]
- Ni, P.T.; Wang, K.W.; Chen, J. Influence of anti-hunting damper on critical velocity and high-speed curve negotiating performance of the vehicle with MRF coupled wheelsets. J. China Railw. Soc. 2007, 29, 34–39. [Google Scholar]
- Ren, Z.S.; Sun, S.G. Study on the influence of parameters to the dynamics of light rail vehicles with independently rotating wheel. Electr. Locomot. Mass Transit Veh. 2003, 26, 22–24. [Google Scholar]
- Bondarenko, I.; Lukoševičius, V.; Keršys, R.; Neduzha, L. Investigation of Dynamic Processes of Rolling Stock–Track Interaction: Experimental Realization. Sustainability 2023, 15, 5356. [Google Scholar] [CrossRef]






























| Direction of Travel | Minimum KZU Values | ||||||
|---|---|---|---|---|---|---|---|
| Sideways Movement | Straight Line | ||||||
| Speed, km/h | |||||||
| 15 | 25 | 40 | 50 | 760 | 80 | 90 | |
| Forward | 2.49 | 2.47 | 2.43 | 2.24 | 2.83 | 2.73 | 2.71 |
| Reverse | 2.51 | 2.72 | 2.59 | 2.27 | 2.61 | 2.70 | 2.59 |
| Allowed value [13] | 1.4 | ||||||
| Direction of Travel | Minimum KZU Values | ||||||
|---|---|---|---|---|---|---|---|
| Sideways Movement | Straight Line | ||||||
| Speed, km/h | |||||||
| 15 | 25 | 40 | 50 | 60 | 80 | 90 | |
| Forward | 2.86 | 2.68 | 2.78 | 2.45 | 2.85 | 2.68 | 2.60 |
| Reverse | 2.76 | 2.59 | 2.59 | 2.52 | 2.75 | 2.49 | 2.36 |
| Allowed value [13] | 1.4 | ||||||
| Direction of Travel | Minimum KZU Values at Speeds in km/h | |||
|---|---|---|---|---|
| 50 | 70 | 80 | 90 | |
| Forward stroke | 3.31 | 3.39 | 3.25 | 3.04 |
| Reverse stroke | 3.06 | 2.76 | 2.90 | 2.84 |
| Allowed value | 1.4 | |||
| Minimum Values of KZU at Speeds in km/h | ||||
|---|---|---|---|---|
| Direction of Travel | 25 | 40 | 60 | 85 |
| Forward stroke | 3.20 | 3.28 | 3.48 | 3.12 |
| Reverse stroke | 3.05 | 3.11 | 3.04 | 3.05 |
| Allowed value | 1.4 | |||
Disclaimer/Publisher’s Note: The statements, opinions and data contained in all publications are solely those of the individual author(s) and contributor(s) and not of MDPI and/or the editor(s). MDPI and/or the editor(s) disclaim responsibility for any injury to people or property resulting from any ideas, methods, instructions or products referred to in the content. |
© 2023 by the authors. Licensee MDPI, Basel, Switzerland. This article is an open access article distributed under the terms and conditions of the Creative Commons Attribution (CC BY) license (https://creativecommons.org/licenses/by/4.0/).
Share and Cite
Musayev, J.; Zhauyt, A.; Ismagulova, S.; Yussupova, S. Theory and Practice of Determining the Dynamic Performance of Traction Rolling Stock. Appl. Sci. 2023, 13, 12455. https://doi.org/10.3390/app132212455
Musayev J, Zhauyt A, Ismagulova S, Yussupova S. Theory and Practice of Determining the Dynamic Performance of Traction Rolling Stock. Applied Sciences. 2023; 13(22):12455. https://doi.org/10.3390/app132212455
Chicago/Turabian StyleMusayev, Janat, Algazy Zhauyt, Sarakul Ismagulova, and Saltanat Yussupova. 2023. "Theory and Practice of Determining the Dynamic Performance of Traction Rolling Stock" Applied Sciences 13, no. 22: 12455. https://doi.org/10.3390/app132212455
APA StyleMusayev, J., Zhauyt, A., Ismagulova, S., & Yussupova, S. (2023). Theory and Practice of Determining the Dynamic Performance of Traction Rolling Stock. Applied Sciences, 13(22), 12455. https://doi.org/10.3390/app132212455

