Design and Analysis of Photon Imaging Detector Based on Printed Circult Board Technology Cross Strip Anode
Abstract
1. Introduction
2. Theory and Simulation of XS Anode
2.1. Subsection
2.2. Anode Theoretical Model
2.3. Crosstalk Effect of the Inter-Electrode Capacitance
3. Simulation Results and Discussion
3.1. Dynamic Properties of Charge Density
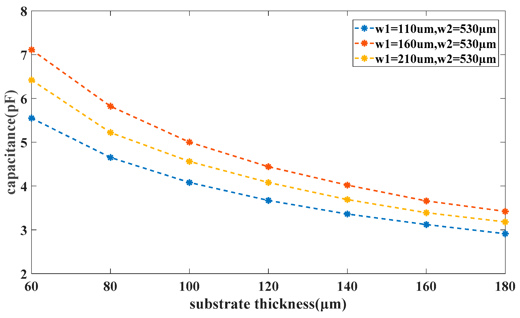
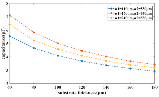
3.2. Optimization of XS Anode Parameters
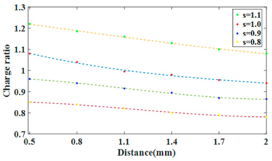
3.3. Crosstalk between Strips
4. Experimental Setup
Cross-Strip Anode Design
5. Experimental Results and Discussion
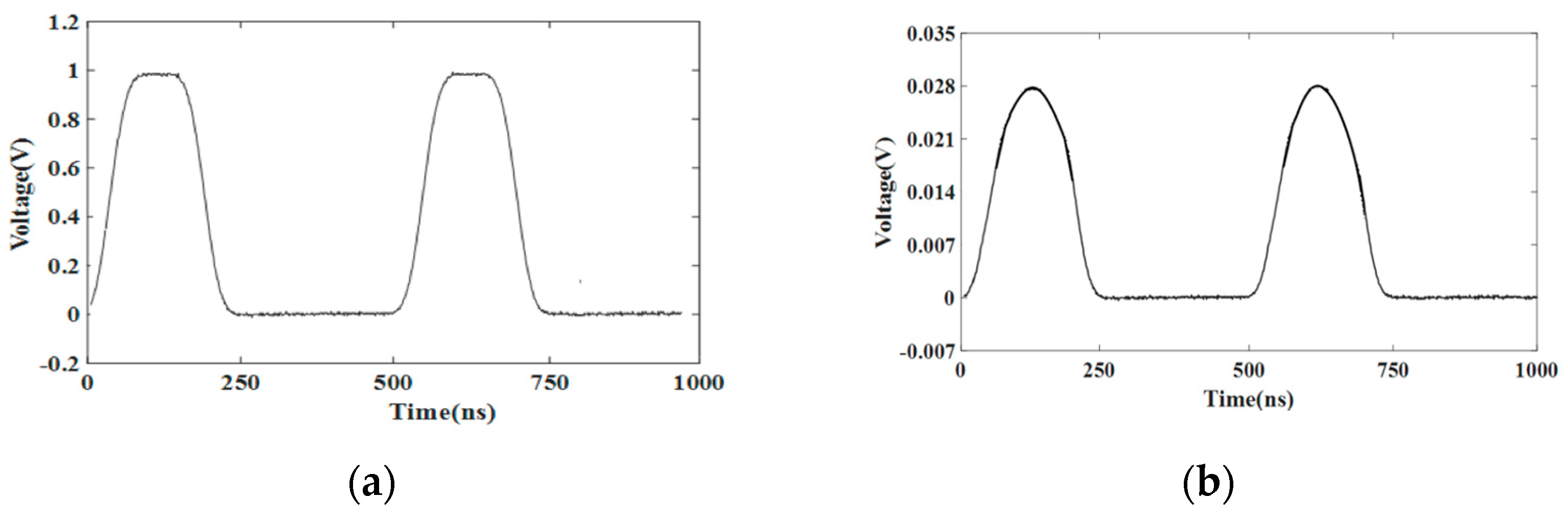
5.1. Actual Measurement
5.2. XS Anode Test
6. Conclusions
Author Contributions
Funding
Institutional Review Board Statement
Informed Consent Statement
Data Availability Statement
Conflicts of Interest
References
- Tremsin, A.; Lebedev, G.V.; Siegmund, O.H.W.; Vallerga, J.; McPhate, J.B.; Hussain, Z. High-resolution detection system for time-of-flight electron spectrometry. Nucl. Instrum. Methods Phys. Res. Sect. A 2007, 582, 172–174. [Google Scholar] [CrossRef][Green Version]
- Siegmund, O.H.W.; Welsh, B.; Vallerga, J.; Tremsin, A.; McPhate, J. High-performance microchannel plate imaging photon counters for spaceborne sensing. Proc. SPIE 2006, 6220, 622004. [Google Scholar]
- Tremsin, A.; Siegmund, O.H.W.; Vallerga, J.; Hull, J.S.; Abiad, R. Cross-strip readouts for photon counting detectors with high spatial and temporal resolution. IEEE Trans. Nucl. Sci. 2004, 51, 1707–1711. [Google Scholar] [CrossRef]
- Zhang, X.; Chen, B. Wide-field auroral imager onboard the Fengyun satellite. Light Sci. Appl. 2019, 45, 3957–3960. [Google Scholar] [CrossRef]
- Martin, D.C.; Fanson, J.; Schiminovich, D.; Morrissey, P.; Friedman, P.G.; Barlow, T.A.; Conrow, T.; Grange, R.; Jelinsky, P.N.; Milliard, B.; et al. The Galaxy Evolution Explorer: A Space Ultraviolet Survey Mission. Astrophys. J. 2005, 619, L1–L4. [Google Scholar] [CrossRef]
- Medallon, S.; Welty, D. STIS Instrument Handbook, Version 22.0; STScI: Baltimore, MD, USA, 2023.
- Conti, L.; Barnstedt, J.; Buntrock, S.; Diebold, S.; Hanke, L.; Kalkuhl, C.; Kappelmann, N.; Kaufmann, T.; Rauch, T.; Stelzer, B.; et al. Microchannel-Plate Detector Development for Ultraviolet Missions. arXiv 2020, arXiv:2012.12548. [Google Scholar]
- Casolino, M.; Barghini, D.; Battisti, M.; Blaksley, C.; Belov, A.; Bertaina, M.; Bianciotto, M.; Bisconti, F.; Blin, S.; Bolmgren, K.; et al. Observation of night-time emissions of the earth in the near UV range from the international space station with the mini-EUSO detector. Remote Sens. Environ. 2023, 284, 113336. [Google Scholar] [CrossRef]
- Murakami, G.; Yoshioka, K.; Yoshikawa, I. High-resolution imaging detector using five microchannel plates and a resistive anode encoder. Appl. Opt. 2010, 49, 2985–2993. [Google Scholar] [CrossRef]
- Jagutzki, O.; Lapington, J.S.; Worth, L.; Spillman, U.; Mergel, V.; Schmidt-Böcking, H. Position sensitive anodes for MCP read-out using induced charge measurement. Nucl. Instrum. Methods Phys. Res. Sect. A 2004, 477, 256–261. [Google Scholar] [CrossRef]
- Siegmund, O.H.W.; Vallerga, J.; Jelinsky, P.; Redfern, M.; Michalet, X.; Weiss, S. Cross delay line detectors for high time resolution astronomical polarimetry and biological fluorescence imaging. IEEE. Nucl. Sci. 2005, 1, 448–452. [Google Scholar]
- Diebold, S.; Barnstedt, J.; Hermanutz, S.; Kalkuhl, C.; Kappelmann, N.; Pfeifer, M.; Schanz, T.; Werner, K. UV MCP Detectors for WSO-UV: Cross Strip Anode and Readout Electronics. IEEE Trans. Nucl. Sci. 2013, 60, 918–922. [Google Scholar] [CrossRef]
- Vallerga, J.; McPhate, J.; Tremsin, A.; Siegmund, O.H.W.; Raffanti, R.; Cumming, H.; Seljak, A.; Virta, V.; Varner, G. Development of a flight qualified 100 × 100 mm MCP UV detector using advanced cross strip anodes and associated ASIC electronics. Proc. SPIE 2016, 9905, 99053F. [Google Scholar]
- Vallerga, J.; Raffanti, R.; Cooney, M.; Cumming, H.; Varner, G.; Seljak, A. Cross strip anode readouts for large format, photon counting microchannel plate detectors: Developing flight qualified prototypes of the detector and electronics. Proc. SPIE 2014, 9144, 91443J. [Google Scholar]
- Vallerga, J.; Raffanti, R.; Tremsin, A.; Siegmund, O.H.W.; McPhate, J.; Varner, G. Large-format high-spatial resolution cross-strip readout MCP detectors for UV astronomy. Proc. SPIE 2010, 7732, 773203. [Google Scholar]
- Siegmund, O.H.W.; Curtis, T.L.; McPhate, J.B.; Vallerga, J. High performance cross strip imaging readout Planacon sealed tubes. Nucl. Instrum. Methods Phys. Res. Sect. A 2023, 1049, 168077. [Google Scholar] [CrossRef]
- Bezrukov, L.B.; Grabmayr, P.; Greiner, D.; Jochum, J.; Lubsandorzhiev, B.; Lubsandorzhiev, N.; Poleshuk, V. Large area photodetectors for astroparticle physics Cherenkov arrays: PMTs vs. HPDs. Nucl. Instrum. Methods Phys. Res. Sect. A 2011, 639, 65–69. [Google Scholar] [CrossRef]
- Lei, F. Research on the Key Technology of Single Photon Imaging Based on Position Sensitive Anode. Ph.D. Dissertation, Xi’an Institute of Optics and Precision Mechanics, University of Chinese Academy Sciences, Xi’an, China, 2019. [Google Scholar]
- Xing, Y.; Chen, B.; Zhang, H.J.; Wang, H.-F.; He, L.-P.; Jin, F.-Y. Calculating and optimizing inter-electrode capacitances of charge division microchannel plate detectors. Nucl. Instrum. Methods Phys. Res. Sect. A 2016, 814, 82–89. [Google Scholar] [CrossRef]
- Angelico, E.; Seiss, T.; Adams, B. Capacitively coupled pickup in MCP-based photodetectors using a conductive metallic anode. Nucl. Instrum. Methods Phys. Res. Sect. A 2017, 846, 75–80. [Google Scholar] [CrossRef]
- Riegler, W.; Burgarth, D. Signal propagation, termination, crosstalk and losses in resistive plate chambers. Nucl. Instrum. Methods Phys. Res. Sect. A 2002, 481, 130–143. [Google Scholar] [CrossRef]
- Ramo, S. Currents induced electron motion. Proc. IRE 1939, 27, 584–585. [Google Scholar] [CrossRef]
- Dias, T.H.V.T.; Santos, F.P.; Conde, C.A.N. The primary electron cloud in xenon for X-rays in the 0.1 to 10 keV range. Nucl. Instrum. Methods Phys. Res. Sect. A 1991, 310, 137–139. [Google Scholar] [CrossRef]









| Strip Width | Strip Distance | Periodic Width | Area Ratio | Strip Thickness |
|---|---|---|---|---|
| 110 μm | 530 μm | 640 μm | 1:1 | 120 μm |
| Charge | Horizontal Strip Charge | Vertical Strip Charge |
|---|---|---|
| 1000 pC | 380 pC | 350 pC |
Disclaimer/Publisher’s Note: The statements, opinions and data contained in all publications are solely those of the individual author(s) and contributor(s) and not of MDPI and/or the editor(s). MDPI and/or the editor(s) disclaim responsibility for any injury to people or property resulting from any ideas, methods, instructions or products referred to in the content. |
© 2023 by the authors. Licensee MDPI, Basel, Switzerland. This article is an open access article distributed under the terms and conditions of the Creative Commons Attribution (CC BY) license (https://creativecommons.org/licenses/by/4.0/).
Share and Cite
Duan, J.; Zheng, J.; Yang, Y.; Song, Y.; La, A.; Bai, Y. Design and Analysis of Photon Imaging Detector Based on Printed Circult Board Technology Cross Strip Anode. Appl. Sci. 2023, 13, 12304. https://doi.org/10.3390/app132212304
Duan J, Zheng J, Yang Y, Song Y, La A, Bai Y. Design and Analysis of Photon Imaging Detector Based on Printed Circult Board Technology Cross Strip Anode. Applied Sciences. 2023; 13(22):12304. https://doi.org/10.3390/app132212304
Chicago/Turabian StyleDuan, Jinyao, Jinkun Zheng, Yang Yang, Yuchao Song, Anpeng La, and Yonglin Bai. 2023. "Design and Analysis of Photon Imaging Detector Based on Printed Circult Board Technology Cross Strip Anode" Applied Sciences 13, no. 22: 12304. https://doi.org/10.3390/app132212304
APA StyleDuan, J., Zheng, J., Yang, Y., Song, Y., La, A., & Bai, Y. (2023). Design and Analysis of Photon Imaging Detector Based on Printed Circult Board Technology Cross Strip Anode. Applied Sciences, 13(22), 12304. https://doi.org/10.3390/app132212304

