Study of the Mechanical Properties and Thermal Control Performance of Plasma-Sprayed Alumina Coating on Aluminum Alloy Surface
Abstract
1. Introduction
2. Materials and Methods
2.1. Powder Characterization
2.2. Coating Preparation and Characterization
3. Results and Discussion
3.1. The Microstructure and Phase of the Coatings
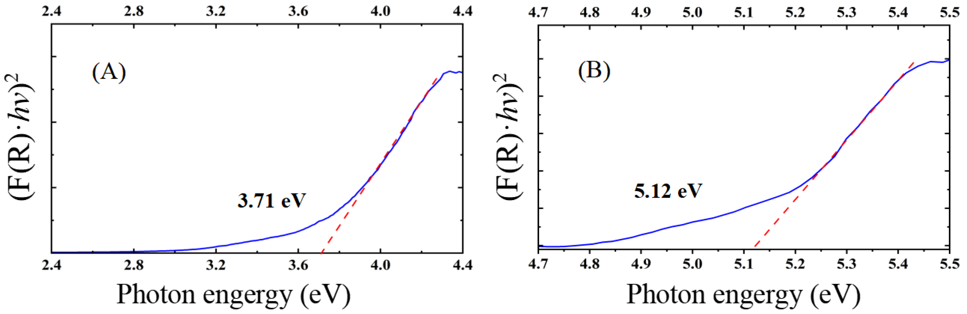
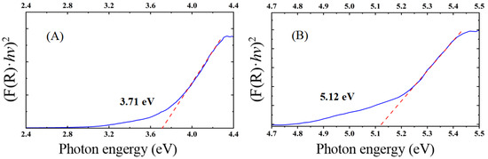
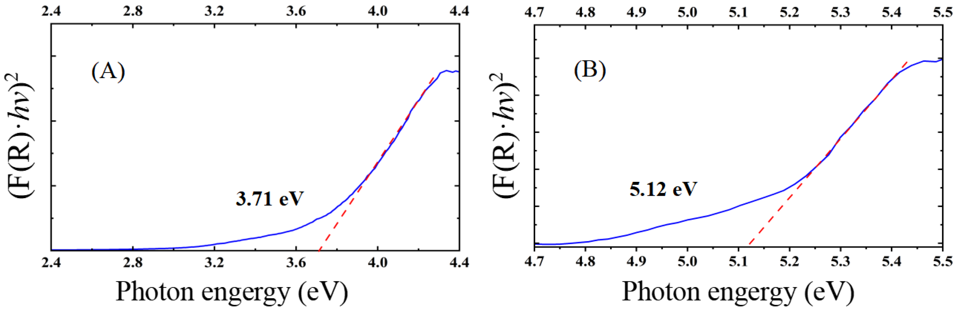
3.2. Thermal Control Property
4. Conclusions
Author Contributions
Funding
Conflicts of Interest
References
- Jiang, J.; Zhang, Y.; Wang, Y.; Xiao, G.; Liu, Y.; Zeng, L. Microstructure and mechanical properties of thixoforged complex box-type component of 2A12 aluminum alloy. Mater. Des. 2020, 193, 108859. [Google Scholar] [CrossRef]
- Chen, J.H.; Xu, W.F.; Xie, R.Z.; Zhang, F.J.; Hu, W.J.; Huang, X.C.; Chen, G. Sample size effect on the dynamic torsional behaviour of the 2A12 aluminium alloy. Theor. Appl. Mech. Lett. 2017, 7, 317–324. [Google Scholar] [CrossRef]
- Heydari, V.; Bahreini, Z.; Heidari, M.; Sedrpoushan, A. Synthesis of Zn-SBA-15 as a new pigment for spacecraft white thermal control coatings. J. Coat. Technol. Res. 2016, 13, 727–733. [Google Scholar] [CrossRef]
- Xing, H.; Zhao, H.; Zhang, Y.; Zhang, Q. Thermal modeling and analysis of a radiometer for thermal control coatings in situ measurement. Acta Astronaut. 2012, 71, 99–108. [Google Scholar] [CrossRef]
- Mikhailov, M.M.; Neshchimenko, V.V.; Chundong, L. Optical properties of zinc oxide powders modified by nanoparticles ZrO2, Al2O3, TiO2, SiO2, CeO2 and Y2O3 with various concentrations, Dye. Pigment 2016, 131, 256–263. [Google Scholar] [CrossRef]
- Mikhailov, M.M.; Neshchimenko, V.V.; Yuryev, S.A.; Shcherbina, V.V.; Vlasov, V.A. Optical properties and radiation stability of TiO2 powders modified by Al2O3, ZrO2, SiO2, TiO2, ZnO, and MgO nanoparticles, Dye. Pigment 2015, 123, 72–77. [Google Scholar] [CrossRef]
- Tului, M.; Arezzo, F.; Pawlowski, L. Optical properties of plasma sprayed ZnO-Al2O3 coatings. Surf. Coat. Technol. 2004, 179, 47–55. [Google Scholar] [CrossRef]
- Wang, X.D.; He, S.Y.; Yang, D.Z. A study of electron exposure effects on ZnO/K2SiO3 thermal control coatings. Mater. Chem. Phys. 2003, 78, 38–42. [Google Scholar] [CrossRef]
- Mikhailov, M.M.; Yuryev, S.A.; Lapin, A.N. Prospects for applying BaSO4 powders as pigments for spacecraft thermal control coatings. Acta Astronaut. 2019, 165, 191–194. [Google Scholar] [CrossRef]
- Sun, C.; Sun, H.F.; Wang, Z.Y.; Xia, X.L. Experiment and analysis on radiation properties of SiO2/Ag optical solar reflector coating. Aerosp. Sci. Technol. 2018, 82, 372–377. [Google Scholar] [CrossRef]
- Miyazaki, E.; Yamagata, I. Results of Space-Environment Exposure of the Flexible Optical Solar Reflector. J. Spacecr. Rocket. 2009, 46, 28–32. [Google Scholar] [CrossRef]
- Liu, Y.; Bai, A.; Fang, Z.; Ni, Y.; Lu, C.; Xu, Z. A Pragmatic Bilayer Selective Emitter for Efficient Radiative Cooling under Direct Sunlight. Materials 2019, 12, 1208. [Google Scholar] [CrossRef]
- Hang, L.; Songtao, L.; Wei, Q.; Xiaohong, W. Current density on microstructure and thermal control performances of MgO-ZnO ceramic coatings. J. Inorg. Mater. 2017, 32, 1292–1298. [Google Scholar] [CrossRef]
- Kumar, C.S.; Sharma, A.K.; Mahendra, K.N.; Mayanna, S.M. Studies on anodic oxide coating with low absorptance and high emittance on aluminum alloy 2024. Sol. Energy Mater. Sol. Cells 2000, 60, 51–57. [Google Scholar] [CrossRef]
- Shrestha, S.; Dunn, B.D. Plasma electrolytic oxidation and anodising of aluminium alloys for spacecraft applications. In Surface Engineering of Light Alloys; Woodhead Publishing: Cambridge, UK, 2010; pp. 603–641. [Google Scholar]
- Kim, Y.S.; Yang, H.W.; Shin, K.R.; Ko, Y.G.; Shin, D.H. Heat dissipation properties of oxide layers formed on 7075 Al alloy via plasma electrolytic oxidation. Surf. Coat. Technol. 2015, 269, 114–118. [Google Scholar] [CrossRef]
- Kang, H.K. Microstructure and electrical conductivity of high volume Al2O3-reinforced copper matrix composites produced by plasma spray. Surf. Coat. Technol. 2005, 190, 448–452. [Google Scholar] [CrossRef]
- Heimann, R.B. Plasma Spray Coating: Principles and Applications; Wiley-VCH: Weinheim, Germany, 2008. [Google Scholar]
- Sachidananda, K.B.; Mahesha, K.; Dey, A. Effect of powder particle size on vibration damping behaviour of plasma sprayed alumina (Al2O3) coating on AISI 304 stainless steel substrate. Ceram. Int. 2018, 44, 158–163. [Google Scholar] [CrossRef]
- Jamnapara, N.I.; Frangini, S.; Alphonsa, J.; Chauhan, N.L.; Mukherjee, S. Comparative analysis of insulating properties of plasma and thermally grown alumina films on electrospark aluminide coated 9Cr steels. Surf. Coat. Technol. 2015, 266, 146–150. [Google Scholar] [CrossRef]
- Deng, W.; Li, S.; Hou, G.; Liu, X.; Zhao, X.; An, Y.; Zhou, H.; Chen, J. Comparative study on wear behavior of plasma sprayed Al2O3 coatings sliding against different counterparts. Ceram. Int. 2017, 43, 6976–6986. [Google Scholar] [CrossRef]
- Praveen, A.S.; Sarangan, J.; Suresh, S.; Subramanian, J.S. Erosion wear behaviour of plasma sprayed NiCrSiB/Al2O3 composite coating. Int. J. Refract. Met. Hard Mater. 2015, 52, 209–218. [Google Scholar] [CrossRef]
- Dhayal, V.; Singh, D.; Saini, A.; Sonewane, S.; Agarwal, D.C. Vibration and Corrosion Analysis of Modified Alumina Coating over Aluminum Alloy. J. Fail. Anal. Prev. 2021, 21, 130–137. [Google Scholar] [CrossRef]
- Singh, V.P.; Sil, A.; Jayaganthan, R. A study on sliding and erosive wear behaviour of atmospheric plasma sprayed conventional and nanostructured alumina coatings. Mater. Des. 2011, 32, 584–591. [Google Scholar] [CrossRef]
- Chen, L. Fabrication and Properties of Plasma Sprayed Alumina-Based Ceramic Nanocoating. Ph.D. Thesis, Hebei University of Technology, Tianjing, China, 2015. [Google Scholar]
- Bansal, P.; Padture, N.P.; Vasiliev, A. Improved interfacial mechanical properties of Al2O3-13 wt.% TiO2 plasma-sprayed coatings derived from nanocrystalline powders. Acta Mater. 2003, 51, 2959–2970. [Google Scholar] [CrossRef]
- Lima, R.S.; Kucuk, A.; Berndt, C.C. Integrity of nanostructured partially stabilized zirconia after plasma spray processing. Mater. Sci. Eng. A 2001, 313, 75–82. [Google Scholar] [CrossRef]
- Gammel, F.J.; Jonke, D.P.; Rohr, O. Nanopowders-an approach to enhanced surface coatings. In Nanostructured Thin Films and Nanodispersion Strengthened Coatings; Springer: Dordrecht, The Netherlands, 2004; pp. 261–272. [Google Scholar]
- Marthe, J.; Meillot, E.; Jeandel, G.; Enguehard, F.; Ilavsky, J. Enhancement of scattering and reflectance properties of plasma-sprayed alumina coatings by controlling the porosity. Surf. Coat. Technol. 2013, 220, 80–84. [Google Scholar] [CrossRef]
- Toru, D.; Quet, A.; De Sousa Meneses, D.; del Campo, L.; Echegut, P. Influence of Microstructure and Composition on Optical Properties of Plasma Sprayed Al/Al2O3 Cermets. J. Phys. Chem. C 2015, 119, 5426–5433. [Google Scholar] [CrossRef]
- Song, X.; Suhonen, T.; Varis, T.; Huang, L.; Zheng, X.; Zeng, Y. Fabrication and characterization of amorphous alumina-yttria-stabilized zirconia coatings by air plasma spraying. J. Therm. Spray Technol. 2014, 23, 1302–1311. [Google Scholar] [CrossRef]
- Xing, Y.Z.; Wei, Q.L.; Hao, J.M. The fracture toughness of alumina coatings plasma-sprayed at different in situ temperatures. Ceram. Int. 2012, 38, 4661–4667. [Google Scholar] [CrossRef]
- Stahr, C.C.; Saaro, S.; Berger, L.M.; Dubský, J.; Neufuss, K.; Herrmann, M. Dependence of the stabilization of a-alumina on the spray process. J. Therm. Spray Technol. 2007, 16, 822–830. [Google Scholar] [CrossRef]
- Gell, M.; Jordan, E.H.; Sohn, Y.H.; Goberman, D.; Shaw, L.; Xiao, T.D. Development and implementation of plasma sprayed nanostructured ceramic coatings. Surf. Coat. Technol. 2001, 146–147, 48–54. [Google Scholar] [CrossRef]
- Bertrand, G.; Bertrand, P.; Roy, P.; Rio, C.; Mevrel, R. Low conductivity plasma sprayed thermal barrier coating using hollow psz spheres: Correlation between thermophysical properties an dmicrostructure. Surf. Coat. Technol. 2008, 202, 1994–2001. [Google Scholar] [CrossRef]
- Carpio, P.; Borrell, A.; Salvador, M.D.; Gómez, A.; Martínez, E.; Sánchez, E. Microstructure and mechanical properties of plasma spraying coatings from YSZ feedstocks comprising nano- and submicron-sized particles. Ceram. Int. 2015, 41, 4108–4117. [Google Scholar] [CrossRef]
- Sarikaya, O. Effect of some parameters on microstructure and hardness of alumina coatings prepared by the air plasma spraying process. Surf. Coat. Technol. 2005, 190, 388–393. [Google Scholar] [CrossRef]
- Jordan, E.H.; Gell, M.; Sohn, Y.H.; Goberman, D.; Shaw, L.; Jiang, S.; Wang, M.; Xiao, T.D.; Wang, Y.; Strutt, P. Fabrication and evaluation of plasma sprayed nanostructured alumina-titania coatings with superior properties. Mater. Sci. Eng. A 2001, 301, 80–89. [Google Scholar] [CrossRef]
- Zeng, Y.; Lee, S.W.; Ding, C.X. Plasma spray coatings in different nanosize alumina. Mater. Lett. 2002, 52, 495–501. [Google Scholar] [CrossRef]
- Babu, A.S.; Jayabalan, V. Weibull Probability Model for Fracture Strength of Aluminium (1101)-Alumina Particle Reinforced Metal Matrix Composite. J. Mater. Sci. Technol. 2009, 25, 341–343. [Google Scholar]
- Micciulla, S.; Duan, X.; Strebe, J.; Löhmann, O.; Lamb, R.N.; von Klitzing, R. Transparent Aluminium Oxide Coatings of Polymer Brushes. Angew. Chem. Int. Ed. 2016, 55, 5028–5034. [Google Scholar] [CrossRef]
- Inamdar, D.; Agashe, C.; Kadam, P.; Mahamuni, S. Doping optimization and surface modification of aluminum doped zinc oxide films as transparent conductive coating. Thin Solid Film. 2012, 520, 3871–3877. [Google Scholar] [CrossRef]
- Arunnellaiappan, T.; Anoop, S.; Rameshbabu, N. Fabrication of multifunctional black PEO coatings on AA7075 for spacecraft applications. Surf. Coat. Technol. 2016, 307, 735–746. [Google Scholar]
- Teodorescu, G. Radiative Emissivity of Metals and Oxidized Metals at High Temperature. Ph.D. Thesis, Auburn University, Auburn, AL, USA, 2007. [Google Scholar]












| Composition | Si | Cu | Mg | Zn | Mn | Ti | Ni | Fe | Al |
|---|---|---|---|---|---|---|---|---|---|
| Percentage, w/w | ≤0.5 | 3.8~4.9 | 1.2~1.8 | ≤0.3 | 0.3~0.9 | ≤0.15 | ≤0.1 | ≤0.5 | Bal |
| Parameters | NiCrCoAlY | Al2O3 | Unit |
|---|---|---|---|
| Plasma gas (Primary-Argon) | 50 | 41 | NLPM |
| Carrier gas (Secondary-Hydrogen) | 9 | 14 | NLPM |
| Arc current | 530 | 580 | A |
| Arc voltage | 65 | 71 | V |
| Spray distance | 130 | 120 | mm |
| Powder feed rate | 30 | 20 | g/min |
Disclaimer/Publisher’s Note: The statements, opinions and data contained in all publications are solely those of the individual author(s) and contributor(s) and not of MDPI and/or the editor(s). MDPI and/or the editor(s) disclaim responsibility for any injury to people or property resulting from any ideas, methods, instructions or products referred to in the content. |
© 2023 by the authors. Licensee MDPI, Basel, Switzerland. This article is an open access article distributed under the terms and conditions of the Creative Commons Attribution (CC BY) license (https://creativecommons.org/licenses/by/4.0/).
Share and Cite
He, G.; Guo, W.; He, D.; Zhang, J.; Xing, Z.; Lv, Z.; Jia, L.; Huang, Y. Study of the Mechanical Properties and Thermal Control Performance of Plasma-Sprayed Alumina Coating on Aluminum Alloy Surface. Appl. Sci. 2023, 13, 956. https://doi.org/10.3390/app13020956
He G, Guo W, He D, Zhang J, Xing Z, Lv Z, Jia L, Huang Y. Study of the Mechanical Properties and Thermal Control Performance of Plasma-Sprayed Alumina Coating on Aluminum Alloy Surface. Applied Sciences. 2023; 13(2):956. https://doi.org/10.3390/app13020956
Chicago/Turabian StyleHe, Gengchao, Weiling Guo, Dongyu He, Jiaqiang Zhang, Zhiguo Xing, Zhenlin Lv, Lei Jia, and Yanfei Huang. 2023. "Study of the Mechanical Properties and Thermal Control Performance of Plasma-Sprayed Alumina Coating on Aluminum Alloy Surface" Applied Sciences 13, no. 2: 956. https://doi.org/10.3390/app13020956
APA StyleHe, G., Guo, W., He, D., Zhang, J., Xing, Z., Lv, Z., Jia, L., & Huang, Y. (2023). Study of the Mechanical Properties and Thermal Control Performance of Plasma-Sprayed Alumina Coating on Aluminum Alloy Surface. Applied Sciences, 13(2), 956. https://doi.org/10.3390/app13020956

