Mechatronics Design of a Gait-Assistance Exoskeleton for Therapy of Children with Duchenne Muscular Dystrophy
Abstract
1. Introduction
2. Methods
2.1. Exoskeleton Design
2.2. Hybrid Dynamic Model of Exoskeleton and Child’s Body
2.3. Motion Control Strategy
2.3.1. Trajectory Design Based on Gait Parameters
2.3.2. Nonlinear Tracking Control Strategy
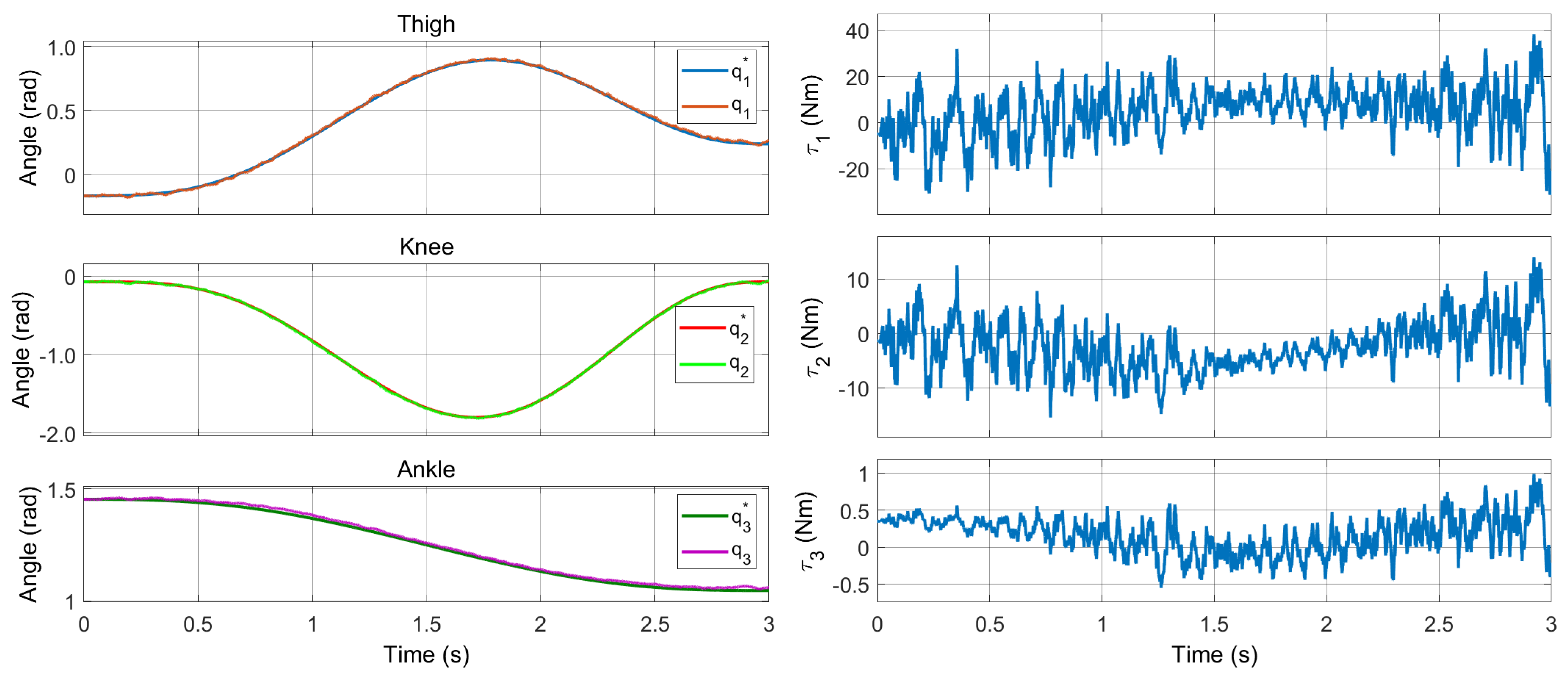
3. Results
Numerical Analysis
4. Conclusions
Author Contributions
Funding
Institutional Review Board Statement
Informed Consent Statement
Acknowledgments
Conflicts of Interest
References
- Mendell, J.R.; Lloyd-Puryear, M. Report of MDA muscle disease symposium on newborn screening for Duchenne muscular dystrophy. Muscle Nerve 2013, 48, 21–26. [Google Scholar] [CrossRef] [PubMed]
- Mah, J.K.; Korngut, L.; Dykeman, J.; Day, L.; Pringsheim, T.; Jette, N. A systematic review and meta-analysis on the epidemiology of Duchenne and Becker muscular dystrophy. Neuromuscul. Disord. 2014, 24, 482–491. [Google Scholar] [CrossRef] [PubMed]
- Baiardini, I.; Minetti, C.; Bonifacino, S.; Porcu, A.; Klersy, K.; Petralia, P.; Balestracci, S.; Tarchino, F.; Parodi, S.; Canonica, W.; et al. Quality of life in Duchenne Muscular Dystrophy: The subjective Impact on Children and Parents. J. Child Neurol. 2011, 26, 707–713. [Google Scholar] [CrossRef] [PubMed]
- Schofield, C.; Evans, K.; Young, H.; Paguinto, S.G.; Townsend, E.; Carroll, K.; Downs, J. The development of a consensus statement for the prescription of powered wheelchair standing devices in Duchenne muscular dystrophy. Disabil. Rehabil. 2020, 44, 1889–1897. [Google Scholar] [CrossRef] [PubMed]
- Biggar, W.; Politano, V.; Passamano, J.; Alman, B.; Palladino, A.; Comi, L.; Nigro, G. Deflazacort in Duchenne muscular dystrophy: A comparison of two different protocols. Neuromuscul. Disord. 2004, 14, 476–482. [Google Scholar] [CrossRef]
- Soto Vargas, J. Distrofia Muscular de Duchenne. Reporte de un caso. Revista Médica MD 2010, 2, 33. [Google Scholar]
- Osorio, A.N.; Cantillo, J.M.; Salas, A.C.; Garrido, M.M.; Padilla, J.V. Consensus on the diagnosis, treatment and follow-up of patients with Duchenne muscular dystrophy. Neurol. (Engl. Ed.) 2019, 34, 469–481. [Google Scholar]
- Brooke, M.; Fenichel, G.; Griggs, R.; Mendell, J.; Moxley, R.; Florence, J.; King, W.; Pandya, S.; Robison, J.; Schierbecker, J.; et al. Duchenne muscular dystrophy: Patterns of clinical progression and effects of supportive therapy. Neurology 1989, 39, 475–481. [Google Scholar] [CrossRef]
- Banala, S.; Hun Kim, S.; Agrawal, S.; Scholz, J. Robot assisted gait training with active led exoskeleton (ALEX). IEEE Trans. Neural Syst. Rehabil. Eng. 2009, 17, 2–8. [Google Scholar] [CrossRef]
- Kooren, P.N.; Lobo-Prat, J.; Keemink, A.Q.; Janssen, M.M.; Stienen, A.H.; de Groot, I.J.; Paalman, M.I.; Verdaasdonk, R.; Koopman, B.F. Design and control of the Active A-Gear: A wearable 5 DOF arm exoskeleton for adults with Duchenne muscular dystrophy. In Proceedings of the 2016 6th IEEE International Conference on Biomedical Robotics and Biomechatronics (BioRob), Singapore, 26–29 June 2016; pp. 637–642. [Google Scholar]
- Nizamis, K.; Stienen, A.H.; Kamper, D.G.; Keller, T.; Plettenburg, D.H.; Rouse, E.J.; Farina, D.; Koopman, B.F.; Sartori, M. Transferrable expertise from bionic arms to robotic exoskeletons: Perspectives for stroke and duchenne muscular dystrophy. IEEE Trans. Med. Robot. Bionics 2019, 1, 88–96. [Google Scholar] [CrossRef]
- Schabron, B.; Desai, J.; Yihun, Y. Wheelchair-mounted upper limb robotic exoskeleton with adaptive controller for activities of daily living. Sensors 2021, 21, 5738. [Google Scholar] [CrossRef]
- Estilow, T.; Glanzman, A.M.; Powers, K.; Moll, A.; Flickinger, J.; Medne, L.; Tennekoon, G.; Yum, S.W. Use of the Wilmington robotic exoskeleton to improve upper extremity function in patients with Duchenne muscular dystrophy. Am. J. Occup. Ther. 2018, 72, 7202345010p1–7202345010p5. [Google Scholar] [CrossRef] [PubMed]
- Bakker, J.; De Groot, I.; Beckerman, H.t.a.; De Jong, B.; Lankhorst, G. The effects of knee-ankle-foot orthoses in the treatment of Duchenne muscular dystrophy: Review of the literature. Clin. Rehabil. 2000, 14, 343–359. [Google Scholar] [CrossRef] [PubMed]
- Case, L.E.; Apkon, S.D.; Eagle, M.; Gulyas, A.; Juel, L.; Matthews, D.; Newton, R.A.; Posselt, H.F. Rehabilitation management of the patient with Duchenne muscular dystrophy. Pediatrics 2018, 142, S17–S33. [Google Scholar] [CrossRef] [PubMed]
- Bushby, K.; Finkel, R.; Birnkrant, D.J.; Case, L.E.; Clemens, P.R.; Cripe, L.; Kaul, A.; Kinnett, K.; McDonald, C.; Pandya, S.; et al. Diagnosis and management of Duchenne muscular dystrophy, part 2: Implementation of multidisciplinary care. Lancet Neurol. 2010, 9, 177–189. [Google Scholar] [CrossRef]
- Romero, P.; Palomino-Díaz, V.; Delgado-Oleas, G.; Gutiérrez, A.; Martín, C.; Martín, I.; Rocon, E. Diseño y modelo de un robot actuado por cables para ayudar a caminar a niños con parálisis cerebral. In Proceedings of the XII Simposio CEA de Bioingeniería, Madrid, España, 3 June 2021. [Google Scholar]
- Zeilig, G.; Weingarden, H.; Zwecker, M.; Dudkiewicz, I.; Bloch, A.; Esquenazi, A. Safety and tolerance of the ReWALK exoskeleton suit for ambulation by people with complete spinal cord injury: A pilot study. J. Spinal Cord Med. 2012, 35, 96–101. [Google Scholar] [CrossRef]
- Dijsseldonk, R.V.; Rijken, H.; Nes, I.V.; van de Meent, H.; Keijsers, N. Predictors of exoskeleton motor learning in spinal cord injured patients. Disabil. Rehabil. 2019, 43, 1982–1988. [Google Scholar] [CrossRef]
- Kapeller, A.; Nagenborg, M.H.; Nizamis, K. Wearable robotic exoskeletons: A socio-philosophical perspective on Duchenne muscular dystrophy research. Paladyn J. Behav. Robot. 2020, 11, 404–413. [Google Scholar] [CrossRef]
- Sarajchi, M.; Al-Hares, M.K.; Sirlantzis, K. Wearable Lower-Limb Exoskeleton for Children With Cerebral Palsy: A Systematic Review of Mechanical Design, Actuation Type, Control Strategy, and Clinical Evaluation. IEEE Trans. Neural Syst. Rehabil. Eng. 2021, 29, 2695–2720. [Google Scholar] [CrossRef]
- Chen, B.; Zhong, C.H.; Zhao, X.; Ma, H.; Qin, L.; Liao, W.H. Reference joint trajectories generation of CUHK-EXO exoskeleton for system balance in walking assistance. IEEE Access 2019, 7, 33809–33821. [Google Scholar] [CrossRef]
- Chen, B.; Zhong, C.H.; Zhao, X.; Ma, H.; Guan, X.; Li, X.; Liang, F.Y.; Cheng, J.C.Y.; Qin, L.; Law, S.W.; et al. A wearable exoskeleton suit for motion assistance to paralysed patients. J. Orthop. Transl. 2017, 11, 7–18. [Google Scholar] [CrossRef] [PubMed]
- Schrade, S.O.; Dätwyler, K.; Stücheli, M.; Studer, K.; Türk, D.A.; Meboldt, M.; Gassert, R.; Lambercy, O. Development of VariLeg, an exoskeleton with variable stiffness actuation: First results and user evaluation from the CYBATHLON 2016. J. Neuroeng. Rehabil. 2018, 15, 1–18. [Google Scholar] [CrossRef] [PubMed]
- Wang, C.; Wu, X.; Wang, Z.; Ma, Y. Implementation of a brain-computer interface on a lower-limb exoskeleton. IEEE Access 2018, 6, 38524–38534. [Google Scholar] [CrossRef]
- Colucci, A.; Vermehren, M.; Cavallo, A.; Angerhöfer, C.; Peekhaus, N.; Zollo, L.; Kim, W.S.; Paik, N.J.; Soekadar, S.R. Brain–Computer Interface-Controlled Exoskeletons in Clinical Neurorehabilitation: Ready or Not? Neurorehabilit. Neural Repair 2022, 36, 15459683221138751. [Google Scholar] [CrossRef] [PubMed]
- Hua, Y.; Fan, J.; Liu, G.; Zhang, X.; Lai, M.; Li, M.; Zheng, T.; Zhang, G.; Zhao, J.; Zhu, Y. A novel weight-bearing lower limb exoskeleton based on motion intention prediction and locomotion state identification. IEEE Access 2019, 7, 37620–37638. [Google Scholar] [CrossRef]
- Zhu, L.; Wang, Z.; Ning, Z.; Zhang, Y.; Liu, Y.; Cao, W.; Wu, X.; Chen, C. A novel motion intention recognition approach for soft exoskeleton via IMU. Electronics 2020, 9, 2176. [Google Scholar] [CrossRef]
- Aguirre-Ollinger, G.; Colgate, J.E.; Peshkin, M.A.; Goswami, A. Active-impedance control of a lower-limb assistive exoskeleton. In Proceedings of the 2007 IEEE 10th international conference on rehabilitation robotics, Noordwijk, The Netherlands, 13–15 June 2007; pp. 188–195. [Google Scholar]
- Hussain, S.; Xie, S.Q.; Liu, G. Robot assisted treadmill training: Mechanisms and training strategies. Med. Eng. Phys. 2011, 33, 527–533. [Google Scholar] [CrossRef]
- Bortole, M.; Del Ama, A.; Rocon, E.; Moreno, J.C.; Brunetti, F.; Pons, J.L. A robotic exoskeleton for overground gait rehabilitation. In Proceedings of the 2013 IEEE International Conference on Robotics and Automation, Karlsruhe, Germany, 6–10 May 2013; pp. 3356–3361. [Google Scholar]
- Chen, L.; Wang, C.; Song, X.; Wang, J.; Zhang, T.; Li, X. Dynamic trajectory adjustment of lower limb exoskeleton in swing phase based on impedance control strategy. Proc. Inst. Mech. Eng. Part J. Syst. Control. Eng. 2020, 234, 1120–1132. [Google Scholar] [CrossRef]
- Tucker, M.R.; Olivier, J.; Pagel, A.; Bleuler, H.; Bouri, M.; Lambercy, O.; Millán, J.d.R.; Riener, R.; Vallery, H.; Gassert, R. Control strategies for active lower extremity prosthetics and orthotics: A review. J. Neuroeng. Rehabil. 2015, 12, 1–30. [Google Scholar] [CrossRef]
- Yan, T.; Cempini, M.; Oddo, C.M.; Vitiello, N. Review of assistive strategies in powered lower-limb orthoses and exoskeletons. Robot. Auton. Syst. 2015, 64, 120–136. [Google Scholar] [CrossRef]
- Baud, R.; Manzoori, A.R.; Ijspeert, A.; Bouri, M. Review of control strategies for lower-limb exoskeletons to assist gait. J. Neuroeng. Rehabil. 2021, 18, 1–34. [Google Scholar] [CrossRef]
- Young, A.J.; Ferris, D.P. State of the art and future directions for lower limb robotic exoskeletons. IEEE Trans. Neural Syst. Rehabil. Eng. 2016, 25, 171–182. [Google Scholar] [CrossRef] [PubMed]
- Pérez, Y.S.C.; Passeiro, O. Diseño preliminar de la estructura mecánica de un exoesqueleto para la rehabilitación de la marcha humana. In Proceedings of the VIII Conferencia Cietífica Internacional de Ingeniería Mecánica, Pasto, Colombia, 17 November 2014; Volume 1, pp. 1–11. [Google Scholar]
- Avila, R.; Prado, L.; Gonzalez, E. Dimensiones Antropométricas de la Población Latinoamericana: Mexico, Cuba, Colombia, Chile; Universidad de Guadalajara: Guadalajara, Mexico, 2007. [Google Scholar]
- Nieto, E.A.B.; Rezazadeh, S.; Gregg, R.D. Minimizing energy consumption and peak power of series elastic actuators: A convex optimization framework for elastic element design. IEEE/ASME Trans. Mechatronics 2019, 24, 1334–1345. [Google Scholar] [CrossRef]
- Sanchez-Villamañan, M.d.C.; Gonzalez-Vargas, J.; Torricelli, D.; Moreno, J.C.; Pons, J.L. Compliant lower limb exoskeletons: A comprehensive review on mechanical design principles. J. Neuroeng. Rehabil. 2019, 16, 1–16. [Google Scholar] [CrossRef] [PubMed]
- Cortés-Orjuela Sergio, C.C.R.; Torres, D.; Arcos-Legarda, J. Mechatronic Design of a Compliant Knee Orthosis for Rehabilitation. In Proceedings of the X Congreso Internacional de Ingeniería Mecatrónica y Automatización, Barranquilla, Colombia, 5–7 May 2021; pp. 1–8. [Google Scholar]
- Arcos-Legarda, J.; Cortes-Romero, J.; Tovar, A. Robust compound control of dynamic bipedal robots. Mechatronics 2019, 59, 154–167. [Google Scholar] [CrossRef]
- Arcos-Legarda, J.; Calderon-Diaz, M. Optimal Trajectory Planning with Dynamic Obstacles Avoidance for Mobile Robots Navigation. In Proceedings of the International Conference on Advanced Engineering Theory and Applications, Bogotá, Colombia, 6–8 November 2019; Springer: Berlin/Heidelberg, Germany, 2019; pp. 639–648. [Google Scholar]
- Ordoñez, R.; Karam, M. Frecuencia de las Alteraciones de la Marcha en Niños de 6–10 Años Obtenidas Mediante la Aplicación de un Análisis Cuantitativo de los Parámetros Espacio-Temporales en Estudiantes de 4º a 6º del Turno Matutino de la Escuela Primaria José Guadalupe Victoria, Lerma estado de Mexico, Durante el Periodo de mayo—Junio de 2012; Universidad autónoma del estado de México: Toluca de Lerdo, Mexico, 2014. [Google Scholar]
- Guillard, H.; Bourles, H. Robust feedback linearization. In Proceedings of the 14th International Symposium on Mathematical Theory of Networks and Systems, Perpignan, France, 19–23 June 2000. [Google Scholar]
- Isidori, A. Nonlinear Control Systems: An Introduction; Springer: Berlin/Heidelberg, Germany, 1985. [Google Scholar]












| Anthropometric Measurements | |||
|---|---|---|---|
|
Body Section |
Type of Measure |
Min. Size (mm) |
Max. Size (mm) |
| Hip | height | 74 | 102 |
| width | 229 | 255 | |
| Thigh | length | 276 | 387 |
| width | 74 | 102 | |
| Forefoot | length | 266 | 355 |
| width | 65 | 81 | |
| Foot | length | 170 | 213 |
| width | 64 | 76 | |
| Body Section | Mass (kg) | Inertia (kg·m) | Friction Coeff. (kg·m/s) | Center of Mass [X,Y,Z] (mm) |
|---|---|---|---|---|
| Fixed leg | 11.12 | 1.120 | 0.8 | [0, 0, 338] |
| Trunk | 18.05 | 2.080 | 0.8 | [0, 0, 235] |
| Thigh | 7.46 | 0.138 | 0.8 | [0, 0, 158] |
| Foreleg | 3.66 | 0.031 | 0.8 | [0, 0, 338] |
| Foot | 0.89 | 0.002 | 0.8 | [29, 67, 47] |
| Step Length (m) | Step Angle (degrees) | Cadence (steps/min) | Speed (m/s) | Step Time (s) | |
|---|---|---|---|---|---|
| Value | 0.68 | [102 to 78] | 20 | 0.226 | 3 |
| Index | ISE | ISU |
|---|---|---|
| Nominal conditions | 0.00056 | 36,725 |
| Variation of parameters | 0.00077 | 37,336 |
Disclaimer/Publisher’s Note: The statements, opinions and data contained in all publications are solely those of the individual author(s) and contributor(s) and not of MDPI and/or the editor(s). MDPI and/or the editor(s) disclaim responsibility for any injury to people or property resulting from any ideas, methods, instructions or products referred to in the content. |
© 2023 by the authors. Licensee MDPI, Basel, Switzerland. This article is an open access article distributed under the terms and conditions of the Creative Commons Attribution (CC BY) license (https://creativecommons.org/licenses/by/4.0/).
Share and Cite
Arcos-Legarda, J.; Torres, D.; Velez, F.; Rodríguez, H.; Parra, A.; Gutiérrez, Á. Mechatronics Design of a Gait-Assistance Exoskeleton for Therapy of Children with Duchenne Muscular Dystrophy. Appl. Sci. 2023, 13, 839. https://doi.org/10.3390/app13020839
Arcos-Legarda J, Torres D, Velez F, Rodríguez H, Parra A, Gutiérrez Á. Mechatronics Design of a Gait-Assistance Exoskeleton for Therapy of Children with Duchenne Muscular Dystrophy. Applied Sciences. 2023; 13(2):839. https://doi.org/10.3390/app13020839
Chicago/Turabian StyleArcos-Legarda, Jaime, David Torres, Fredy Velez, Hernan Rodríguez, Alexander Parra, and Álvaro Gutiérrez. 2023. "Mechatronics Design of a Gait-Assistance Exoskeleton for Therapy of Children with Duchenne Muscular Dystrophy" Applied Sciences 13, no. 2: 839. https://doi.org/10.3390/app13020839
APA StyleArcos-Legarda, J., Torres, D., Velez, F., Rodríguez, H., Parra, A., & Gutiérrez, Á. (2023). Mechatronics Design of a Gait-Assistance Exoskeleton for Therapy of Children with Duchenne Muscular Dystrophy. Applied Sciences, 13(2), 839. https://doi.org/10.3390/app13020839

