Abstract
Release-type communication is a common way to guide the public to reduce food waste. It is of great significance to clarify the intervention effect of release-type communication on residents’ waste behavior and reveal the time evolution law of public response to reduce food waste. This study obtains 13,958 comments on food waste through big data mining and explores characteristics of public response to food waste behavior in different time and space from two dimensions of support intention and implementation intention. Through statistical analysis, empirical mode decomposition method, and cross-analysis, we find that: Public concern about release-type communication to stop food waste has experienced five stages: Incubation period, outbreak period, recession period, second outbreak period, and fading period. Overall, the support intention presents a down-up-down trend, the implementation intention rises and then descends, both appear inflection point in recession period. The trend term of empirical mode decomposition shows that the support intention goes down, the implementation intention goes up. Besides, the support intention and implementation intention of release-type communication to stop food waste are generally higher in western China. In particular, the support intention is significantly reduced in Beijing, Guangdong, and Fujian. The implementation intention is significantly increased in Shanghai, while it’s reduced notably in Shandong. This study provides important implications for guiding the public to reduce food waste, the government should formulate differentiated governance strategies to guide the public to reduce food waste according to the time change characteristics and spatial territorial differences of the public on release-type communication.
1. Introduction
The Opinions on Strict Economy and Combating Food Waste issued by the General Office of the CPC Central Committee pointed out that fighting against food waste is an urgent need to ensure national food security [1]. Reducing food waste is an important content of China’s food security, as well as an essential ingredient of its plan to promote carbon neutrality and ecological and environmental protection. Hence, how to effectively deal with the problem of public food waste is an important issue for the whole society [2]. Chinese government departments have repeatedly called “to practice strict economy and combat waste” [1,3]. However, the relevant policies and communication contents only express the attitude of “not advocating” or “opposing” and have not yet risen to the level of “resolutely stop” [4]. With the improvement of people’s living standards, the unhealthy practices of food waste have spread again in recent years [5]. Reducing food waste is a key step in promoting carbon neutrality and environmental protection by changing public consumption behavior. On 11 August 2020, the mainstream media, such as Xinhuanet and People’s Daily, reported an important instruction about stopping food waste resolutely, which was stressed by the Party Central Committee with Xi Jinping at its core, that it was “necessary to put an end to wasting food and call for promoting thrift and foster a social environment where waste is shameful, and thriftiness is applaudable”. This is the first time that the Chinese government and leaders have issued the communication contents of “resolutely stop” to express the attitude toward food waste to the whole society, which marks that China’s anti-food waste will soon be taken on the legal track. In relevant studies, release-type communication refers to the fact that the government, colleges, and universities, or other public welfare organizations with high credibility simply convey the information requiring individual thrift in communication [6]. Studies have pointed out that release-type communication can change individual codes of conduct and further affect their food waste behavior [6,7]. However, it is undeniable that the effectiveness of release-type communication is affected by multiple factors, such as folk custom [8], free-riding psychology [9], group shelter psychology [10], face psychology [11], product situation [12], etc. Especially mandatory communication contents may cause a psychological conflict [13]. Although the public accepts the communication content, the rigid information may cause the public’s psychological dissatisfaction and conflict and thus lead to the occurrence of opposite behaviors [14]. Therefore, the effectiveness of release-type communication to stop food waste remains to be further explored, which is issued by the government, colleges and universities, official media, and other authoritative organizations emphasizing the need to firmly stop food waste and advocate individual saving.
The most direct manifestation of the effectiveness of policy interventions is whether the intervention object’s psychology and behavior have changed [15]. In other words, the public psychological and behavioral response to release-type communication to stop food waste directly reflects the effectiveness of the policy. Government intervention can change the public’s perception [16]. After reading the published communication content, the public will realize the harm of food waste, which may awaken their sense of guilt. A high level of cognition promotes the generation of a positive attitude [17]. Therefore, the public psychological and behavioral response to various intervention measures is mainly reflected through attitude [18,19], a positive attitude leads to a high level of individual support for the intervention policy [20]. Reynolds et al. [21] analyzed the effectiveness of the government’s propaganda activities on food conservation in interfering with the public’s attitude towards food waste and found that the government’s intervention reduced food waste by 28%. Teoh et al. [22] predicted food waste prevention behavior by analyzing the impact of social media use on consumers’ attitudes towards food waste. Gunarathne et al. [23] also believe that the key to the successful implementation of intervention policies to reduce sugar drinks lies in public acceptance and support. Jabeen et al. [24] used the theory of interpersonal behavior to explore the relationship between emotion and attitude and the individual’s behavioral intention to reduce food waste. Based on this, combining with the attitudinal response model of individual cognition, emotion, and behavioral intention [25], this study explores public response characteristics to release-type communication to stop food waste from the aspects of the attention, support intention, and implementation intention.
At present, food waste has become a social phenomenon. Clarifying the public attitude can provide a useful reference for the government to formulate strategies to reduce food waste [26]. Kim et al. [27] pointed out that obtaining consumers’ views can improve consumers’ acceptance of activities to reduce food waste. Hao et al. [28] found that activities aimed at food security and environmental issues can promote consumers’ altruistic attitudes and reduce food waste. In reality, individuals’ attitudes change over time [29]. Revealing the dynamic law of individual attitude response characteristics to stop food waste through public communication can analyze the evolution trend of public attitudes and help policy-makers adjust strategies in a timely manner [30]. Stensta and Bendz [19] explored public response to the generosity of welfare programs by analyzing the changes in public attitude toward the Swedish Social Insurance Agency during the decade 1999–2010. Semenza and Bernau [31] studied the public concern and reaction model to mass shootings through the use of public search data on Google from 2004 to 2018. In conclusion, response analysis based on time series can provide a more comprehensive and clear insight into the evolution of public psychology and behavior. This paper will analyze the public response to release-type communication to stop food waste from the temporal evolution perspective based on time series data as well.
Empirical mode decomposition (EMD) is a commonly used method in research focusing on time series data, which can analyze the trend of complex signals over time. Zilrahmi et al. [32] analyzed and forecasted the price trend of red pepper using the EMD method. Sun et al. [33] improved the EMD method to decompose the original solar radiation data and proposed a decomposition-clustering-ensemble learning method to analyze the solar radiation data in the Beijing area. Zhang et al. [34] proposed a Walsh Transform and EMD-based Integral algorithm to obtain the desired velocity and displacement from acceleration. The EMD method can linearize and stabilize non-stationary series, which is suitable for studying individual emotions with characteristics of variability and sensitivity. In this study, in order to reveal the law of the evolution of public response characteristics, the EMD method is innovatively introduced to decompose the public support intention and implementation intention to release-type communication to stop food waste.
China’s economy and culture are relatively complex. The public in different regions have obvious heterogeneous characteristics, such as cognition and values [35]. Therefore, there are differences in attitudes towards food waste. For example, Long et al. [36] found that the public’s attitude towards food waste shows spatial differences. Similarly, there may be differences in response to release-type communication to stop food waste. In addition, the Chinese government mostly adopts territorial governance in the resource environment governance mode [37]. It is of great significance for targeted management of food waste to clarify public response characteristics of release-type communication to stop food waste in different areas.
To sum up, this study uses a big data mining technology to crawl relevant topics on microblog and explores the changes in the response characteristics of the public’s attention, willingness to support, and willingness to act to release-type communication of stopping food waste from the perspective of temporal and spatial differences. In particular, the EMD method is innovatively introduced to clarify the evolution law of public response to release-type communication to stop food waste. Moreover, public response differences and the characteristics of temporal change to release-type communication to stop food waste in different regions have been considered to serve the regional differentiation governance needs. Finally, corresponding policy implications are proposed according to the data analysis results.
2. Research Design and Data Processing
2.1. Research Method
With the help of big data mining technology, this study analyzes the public support intention and implementation intention to release-type communication to stop food waste through the big data text generated by public browsing and topic discussion. The data obtained through big data mining technology not only guarantee the comprehensiveness of data acquisition but also overcome the influence of the participants’ alertness on the analysis results. Therefore, the real public attitude toward food waste can be accurately perceived.
This paper conducted response research based on the emotion dictionary analysis method. Based on Hownet emotional vocabulary and combined with corpus text to expand emotional words, a domain emotion dictionary for “stop food waste behavior” was constructed. Hou et al. [38] built a domain emotion dictionary regarding waste sorting policy from three dimensions of understanding, support intention, and implementation intention. By learning from their study and combining with the actual situation that understanding is less reflected in the text, we built a domain emotion dictionary for “stop food waste behavior” from two dimensions of the support intention and implementation intention. The public’s willingness to support focuses on the psychological level of individuals, which is used to reveal the recognition of individuals to stop food waste and mainly reflects the public’s attitude towards reducing food waste [39,40]. The public’s willingness to implement focuses on the behavior level of individuals, indicating the possibility of individuals to comply with release-type communication to stop food waste [41,42]. In order to distinguish the strengths and weaknesses of emotional words, we carried out expert grading on the strengths and weaknesses of emotional words. Emotional intensity was divided into five levels, and each emotional word had its corresponding emotional type and intensity. The range of intensity values was [−2,2], including five scores of “−2”, “−1”, “0”, “+1”, and “+2”. The positive and negative values correspond to emotional polarity. A positive value indicates a positive part of speech, while a negative value indicates a negative part of speech. The absolute value is consistent with the degree of attitude. The greater the absolute value, the stronger the attitude.
2.2. Data Collection
The data of this study come from the Weibo platform The 47th (Statistical Reports on Internet Development in China) released by China Internet Network Information Center reveals that as of December 2020, the number of netizens in China reached 989 million, and the internet penetration rate reached 70.4%. By June 2020, the utilization rate of Weibo reached 40.4%. With its openness and real-time nature, Weibo has gathered a large number of comments reflecting the public’s views and attitudes toward public events, which is of great research significance and reference value.
We selected relevant terms such as “food waste” as keywords for data crawling using compile crawler and obtain more than 25,000 entries, including original Weibo contents and Weibo comments. The contents captured by each Weibo comment include: Reviewer’s ID, reviewer’s region, comment date, and comment content. The time interval chosen for this study is from 1 January 2016 to 18 October 2020.
2.3. Data Processing
First, the obtained data were preprocessed. After removing the data that had nothing to do with the subject and affected text analysis, various advertisements, and unannotated records, regular expressions were used to filter the noise data. A total of 13,958 comments were available after deleting expressions, such as emojis and website addresses.
The data after noise reduction processing cannot be directly subjected to sentiment analysis. This research used the open-access Chinese word segmentation tool (i.e., Jieba) in Python to process the text, and then we scored the data for word segmentation based on the emotion dictionary. Finally, 50% of the scored entries were randomly selected for a second manual review to improve the accuracy of the emotion dictionary analysis results.
3. Result Analysis
3.1. Time Differences Analysis
3.1.1. Time Differences Analysis Based on Stage Division
First, this article analyzes trends in public concern about food waste (see Figure 1). As can be seen from the data of the line chart, the public has been paying attention to the issue of food waste in recent years. On 11 August 2020, public concern about this topic increased significantly when release-type communication to stop food waste appeared.
Figure 1.
Trends in public concern about food waste. A–E represent five stages. A: incubation period, 2020.8.11–8.16. B: outbreak period, 2020.8.17–8.28. C: recession period, 2020.8.29–9.15. D: second outbreak period, 2020.9.16–9.21. E: fading period, 2020.9.22–10.18.
Next, this paper analyzes the public attitude tendency after release-type communication. The time series of comments is obtained by counting the number of comments on a scale of three natural days (see Figure 1). From the column chart data, it can be found that although the public concern lasts for a long time, the number of comments on Weibo is not continuous or even interrupts. On the other hand, the column chart data show multiple peaks in the number of public comments. We borrowed Kong et al.’s [43] idea of dividing public opinion stages: When the number of comments in a period is significantly higher than in other periods and lasts for a period of time, it is considered a relatively special period. The response of the public shows different characteristics in different periods, and the number of microblog comments, forwarding, and reading can reflect the public’s attention and attention [44]. When the number of comments at a certain stage shows the same trend and reaches the peak at a certain point, this point can be used as the dividing line of public opinion stages. This paper divides the development of public concern about food waste into five stages: (1) Incubation period (A: 2020.8.11–8.16): During this period, the number of Weibo comments was relatively small, and most comments expressed opinions about wasteful phenomena, such as king of the eaters and mukbang. (2) Outbreak period (B: 8.17–8.28): During this period, multi-forces of the government, universities, social organizations, catering industry, online media, public figures appealed to all classes of society to save food and adopted some measures to stop food waste. The multi-forces guidance led to a sharp rise in public concern about the topic of food waste. Based on this, the number of comments quickly soared to a peak. (3) Recession period (C: 8.29–9.15): Both the public concern and the number of comments about the topic of food waste gradually decreased. (4) Second outbreak period (D: 9.16–9.21): The Ministry of Education issued an action plan of “Stop Food Waste and Cultivate Saving Habits”, and then various universities formulated corresponding measures according to actual situations. The impact is that the public concern rebounded, and the number of Weibo comments increased again. (5) Fading period (E: 9.22–10.18): Before and after the double festivals (Mid-Autumn Festival and National Day), the number of comments about food waste decreased greatly. Especially during the National Day holiday, there was even a phenomenon that the number of daily comments was zero. The public concern about food waste gradually faded.
The sentiment scores of the public support intention and implementation intention in different periods are calculated using Weibo comments. Furthermore, the change in public attitude after release-type communication to stop food waste is analyzed based on the absolute score and relative score. By analyzing the sentiment scores of the public support intention and implementation intention for release-type communication in five periods (see the bar chart in Figure 2), it was found that the total sentiment score of the public support intention is positive in the incubation period (positive score: 243, negative score: −195). In the outbreak period, both positive and negative scores of support intention increase and accumulate continuously (positive score: 869, negative score: −1302), but the sentiment polarity is negative in general (−433). The number of public comments decreases during the recession period, and both positive and negative scores of support intention are lower. On the whole, public attitudes are supportive. On 16 September, the Ministry of Education issued an action plan to “Stop Food Waste and Cultivate Saving Habits”, and the public concern about food waste entered a second outbreak period. The total score of support intention in this period is 225. After that, it enters fading period. Both the positive and negative scores of support intention decreases but the total score is still positive (positive score: 131, negative score: −128). In addition, the study finds that the total score of the public implementation intention to release-type communication to stop food waste is positive in each period, especially the positive emotion of the implementation intention has a clear advantage in the outbreak period.
Figure 2.
Combination diagram of changes in the total score and the proportion of positive emotions of public support, implementation intention in different periods.
Besides, the proportion of positive emotion (relative number) of support intention and implementation intention in different periods is analyzed (see the line chart in Figure 2). The support intention is in a down-up-down trend, and the implementation intention first increases and then decreases. Both the support intention and implementation intention appear inflection point and reach the peak during the recession period.
3.1.2. Time Differences Analysis Based on Empirical Mode Decomposition Method
Through the above analysis process, we have a preliminary understanding of the trend of the public support intention and implementation intention over time. In order to further clarify the law of its internal response over time, this paper innovatively introduces the empirical mode decomposition (EMD) method for research. The EMD method is a signal decomposition method in the Hilber–Huang transform, which is appropriate for nonlinear and non-stationary time series. It can decompose complex signals into several intrinsic mode functions (IMF) with different scales, stationarity, and periodic fluctuation characteristics, and a trend term [45]. The functional relationship is shown in Equation (1).
st: Original signal; imfi(t): The i-th IMF component; rm(t): The trend term.
The EMD method has been widely used in celestial body observation data, seismic record analysis, and mechanical fault diagnosis, etc. In recent years, the EMD method has also been used to analyze price changes, such as agricultural product price changes [32] and crude oil price changes [46].
The change of public emotion time series is a complex process. We calculate the average value of the public support intention and implementation intention by week from 11 August 2020 to 18 October 2020. A simple line chart is drawn accordingly (Figure 3a). It is found that the time series of the public support intention and implementation intention are nonlinear. Based on this, this study uses the EMD method to decompose the public support intention and implementation intention.
Figure 3.
The evolution of public sentiment about food waste (a) and the EMD figure (b).
The experimental process is realized by MATLAB R2019b v9.7.0 software, and the results are shown in Figure 3b. In terms of the support intention, the data are decomposed into two IMF and a trend term by the EMD method. Through observing the original data signal, the support intention has no obvious variety regulation. However, analysis of the IMF term and trend term obtained by decomposition shows a change in IMF from the highest mode to the lowest mode. This is evidenced by an increase in amplitude, a gradual decrease in the frequency of fluctuations and an increasing period of fluctuation. In addition, the trend term is decreasing, which indicates that the support intention tends to decrease in the period after the release-style communication.
In terms of the implementation intention, the data are decomposed into two IMF and a trend term through the EMD method. There is no apparent change rule of the implementation intention based on the original data signal. However, the analysis of the IMF term and trend term shows that the fluctuation period of IMF1 is short and frequent, while the fluctuation period of IMF2 is gentle and long. Furthermore, the trend term is an upward trend, which reflects the implementation intention increases after release-style communication.
3.2. Spatial Differences Analysis
Based on the obtained reviewers’ location information, the regional distribution of the commentators is calculated to reflect public concern about food waste in different regions. The discussion of food waste covers each province and municipality across the country. Particularly, comments from Beijing, Guangdong, and Shanghai account for 12.07%, 11.34%, and 6.57%, respectively. As one of the most developed areas in China, Beijing, Shanghai, and Guangzhou are mostly selected to try the relevant measures for stopping food waste (for example: Food waste is incorporated into social norms in Shanghai. Guangzhou plans to legislate against food waste). Therefore, the public concern about food waste is comparatively high. The regions with more than 4.50% of the people participating in the discussion are Jiangsu, Zhejiang, Shandong, and Sichuan, all of which are populous and economically developed. There is lower public participation in discussion about food waste in the southwest and northwest regions, such as Tibet, Qinghai, and Gansu.
Next, this paper analyzes the spatial distribution characteristics of public emotional response in different regions after release-style communication (see Table 1). In the left table, the public support intention is higher in West China than in East China. Specifically, the support intention of Beijing, Yunnan, Guangdong, Hainan, Macao, and Hong Kong are the lowest relatively. From the right table, we can see that the public has a higher implementation intention in the Midwest.
Table 1.
Means of support intention and implementation intention after release-type communication.
The changes in public support and implementation intention in different regions are analyzed before and after release-style communication. Furthermore, this study uses the T-test to analyze the significant level of public emotion changes in each region (see Figure 4 and Figure 5). It is observed that there is a gap in support intention across the country before release-style communication, but the emotional mean is positive in general. After the release-style communication, 11 regions including Gansu, Guangxi, Guizhou, and Qinghai have increased their support intention. Six regions, including Beijing, Guangdong, and Hainan, have reduced their support intention, and 17 regions, including Anhui, Jiangsu, Henan, Shandong, and elsewhere, show lower support intention at different levels. It is remarkable that the support intention has changed significantly in three regions of Beijing, Guangdong, and Fujian. By analyzing the text data, the initiatives, and measures of “Saving Food and Refusing Waste” initiated by social organizations from all walks of life have a great impact on the public support intention. For example, some colleges and universities reasonably guide students to reduce waste, which is supported by the groups of students. Short videos posted by public figures on “No Food Waste” have received enthusiastic responses from fans. A newspaper reporter criticizes that eating hot pot with three bowls of small ingredients is food waste, which arouses a lot of public discontent. Besides, boxed lunches in a restaurant in male and female versions causes significant resentment. Therefore, the reasonableness or otherwise of measures to stop food waste after release-style communication has a polarizing effect on the public support intention. In addition, the change of support intention in Beijing shows the most dramatic significance level (p < 0.001). On the one hand, population density and consumption levels have an important impact on food waste [47]. On the other hand, big cities tend to be selected to try measures for stopping food waste. Beijing bears the brunt as the national political center. Some unreasonable measures cause public’s negative emotions. One manifestation is that there are a lot of negative words in the comments, such as “crazy”, “madness”, and “insane”, leading to drastic changes in support intention.
Figure 4.
Temporal and spatial differences in support intention before and after release-type communication. Note: * means p < 0.05; *** means p < 0.001.
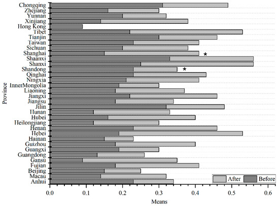
Figure 5.
Temporal and spatial differences in implementation intention before and after release-type communication. Note: * means p < 0.05.
Compared with Figure 4, Figure 5 shows that the implementation intention is higher than the support intention in multiple regions, both before and after release-type communication. After release-type communication, the implementation intention increases in 14 regions (such as Gansu, Tibet, Xinjiang, and Hebei), while the implementation intention decreases in 18 regions in varying degrees (such as Beijing, Jiangsu, Zhejiang, and Shandong). Among them, Shanghai and Shandong have the most significant changes in implementation intention (Shanghai increases markedly, and Shandong decreases dramatically).
4. Discussion
In order to explore the characteristics of the public response to release-type communication to stop food waste, the study explores the changes in the public support intention and implementation intention before and after release-type communication by consideration of time and space dimensions, and further considers the public response in different regions. First of all, according to the fact that the number of comments in a period of time is significantly more than that of other periods and lasts for a period of time, which is considered to be a relatively special period [43]. As Yin et al. [44] pointed out, the response of the public shows different characteristics in different periods, and the number of microblog comments, forwarding, and reading can reflect the public’s attention and attention. When the number of comments at a certain stage shows the same trend and reaches the peak at a certain point, this point can be used as the dividing line of public opinion stages. The public concern after release-type communication is divided into incubation period, outbreak period, recession period, second outbreak period, and fading period, which is used to analyze the changing characteristic of the public support intention and implementation intention. The study shows that public emotional response is not invariable in five periods. Both the support intention and implementation intention appear to have had an inflection point in the recession period. The result indicates that the monitoring and analysis of the effect of release-type communication need a more fine-grained investigation, and the government can provide intervention policies during the recession period to maintain the effect of communication.
Secondly, the results of empirical mode decomposition show that the public’s willingness to support public communication to stop food waste gradually declines over time. Hu and Li [48] proposed that individual support intention to policies was mainly influenced by positive perceptions and emotions, and individual satisfaction had a significant positive impact on support intention. In general, the more positive the public’s views on the policy of reducing food waste, the stronger the individual’s willingness to support the policy of reducing food waste [49,50]. Combined with text, it is found the public initially has positive attitudes toward release-type communication to stop food waste in general. The inappropriate measures taken by local organizations in the response process have aroused dissatisfaction, which has led to a gradual decrease in support intention. Additionally, the effectiveness of the policy will decrease over time. When a policy is just released, the public will pay a high degree of attention to it [51]. However, since the topic has not been strengthened and the public’s attention has shifted, the support for release-type communication to stop food waste will also decrease. Thirdly, in the analysis of spatial differences, the support intention and implementation intention are higher in West China than in East China after release-type communication. Compared with eastern regions, western regions are relatively scarce in resources, so the public in western regions may be more willing to reduce waste and save resources spontaneously. Through the comparative analysis of the public support intention and implementation intention before and after release-type communication, the public support intention decreases significantly in Beijing, Guangdong, and Fujian. The implementation intention increases significantly in Shanghai, while that in Shandong decreases significantly. Specifically, Beijing, as the political center of the country, is the first choice for the trial of measures to stop food waste, which may explain why the support intention in Beijing changes acutely. Combined with a large number of text data, the support intention changes dramatically. This may be related to some unreasonable measures causing the public’s negative mood. Velde et al. [52] pointed out that eating behavior was greatly influenced by social environment (such as dietary culture) and physical environment (such as temptations of the food in the local diet environment). As China’s first and second hometown of overseas Chinese, Guangdong and Fujian not only have a developed economy but also have formed a unique dietary culture and eating habits, such as drinking soup before meals and eating game. Due to the local residents’ love for food, people will continue to try to make new dishes [53] and tend to throw away inferior ingredients when selecting ingredients [54]. These behaviors will aggravate the phenomenon of food waste. When the measures to stop food waste are implemented, the local public’s pursuit of food will be limited, resulting in a significant reduction in public support. Additionally, the study found that the public’s willingness to implement in Shandong was significantly reduced after release-type communication. This may be because food waste is more serious in developed agricultural regions [55]. The supply of grain in Shandong exceeds the demand, and the local residents cannot really realize the severity of the shortage of food resources and food security. That is, the awareness and understanding of the information conveyed by release-type communication to stop food waste are insufficient. Individuals’ views on food waste are closely related to avoiding excessive food waste behavior [56]. Consumers with low awareness of the harmfulness of food waste are more likely to waste food [57,58]. Therefore, the public implementation intention in Shandong has been significantly reduced after release-style communication. In addition, the public implementation intention in Shanghai has increased significantly, which may be related to the fact that stopping food waste has been incorporated into social norms in Shanghai after the release-style communication. Social norms are generally accepted moral standards and codes of conduct in society, which can be regarded as a kind of social pressure [59]. Social norms are an important determinant of behavior [60]. Social norms can help shape individual attitudes, thus having long-term benefits for behavioral intentions to reduce food waste [27,61]. Specifically, Shanghai has incorporated stopping food waste into social norms, which has led the public to consider the gap between their own behavior and that of others or social norms in terms of food waste behavior. For social support purposes, they are more likely to produce behaviors that are consistent with their own group in order to meet social expectations [62]. As a result, they may be more inclined to adopt behaviors that reduce food waste in order to gain the approval of those around them. The implementation intention in Shanghai has increased significantly on this account.
Finally, whether in the process of time differences analysis or spatial differences analysis, public implementation intention is generally higher than support intention. Chang et al. [63] also found a similar finding in their research on the public attitude and cognition toward the compulsory water-saving policy. Even if the local residents did not support the compulsory water-saving policy, they still reduced water consumption. The phenomenon of low support intention and high implementation intention is analyzed from two perspectives:
In the process of transforming individual intention into the behavior, if the transformation is restricted by situation and other conditions, there will be a conflict between the two [64]. This is because although attitude and behavior intention are the core elements that cause behavior, there is a gap between individuals’ behavior intention and actual behavior [65,66,67]. He et al. [68] proposed that environmental behaviors might be directly promoted or hindered when the environment is extremely favorable or unfavorable. The introduction of a punishment mechanism in social governance can reduce the occurrence of food waste through strict punishment, which forms a punishment situation [69,70,71]. Li and Chen [72] showed that punishment situation would affect the individual implementation intention. Overall, related studies have expressed a point of view: The punishment environment may force individuals to perform behaviors that they are unwilling to do [73,74]. The public, as a rational economic man, will choose to maximize their own benefits by weighing the pros and cons. That is, even if individuals do not support policies and measures about stopping food waste, they still reduce food waste under the pressure of some punitive measures (such as fines for an excessive surplus of buffets). This explains the phenomenon of low support and high implementation. Moreover, there is another possible explanation. Based on regulation-focusing theory, individuals will use preventive focusing and promoting focusing to self-regulate when they make behavioral decisions [75]. Individuals who adopt promoting focusing concentrate on achieving their ideals and visions. They also pay attention to the emergence of positive outcomes, so they are more likely to adopt food-saving behaviors. The others who adopt preventive focusing attach great importance to the responsibility and obligation. They are more sensitive to losses and failure. Guilt and loss aversion guide individual behavior [76,77]. According to the theory of emotional events, emotions generated by individuals in life will indirectly affect behavior by influencing individual attitudes [78,79], and thus the public tends to choose to reduce food waste behavior. This study selects Weibo, the largest social media platform in China, as the data source. Large data volume and the wide range of space-time are helpful to better analyze the characteristics of public response. On this basis, we obtain valuable research results. However, this paper selects comments on the Weibo platform as the only data source for the research, which has certain limitations. Future studies can be considered collecting data information from more diversified channels.
5. Conclusions and Suggestions
5.1. Conclusions
From the perspective of temporal and spatial differences, this research innovatively introduces an empirical mode decomposition method to reveal the evolutionary law of public response to release-type communication. Furthermore, this study delves into the differences in public response time evolution law of release-type communication in different regions. The temporal and spatial differences in public response to release-type communication to stop food waste are clarified, which provides important enlightenment for the governance of food waste. The main findings are as follows:
- (1)
- With release-type communication, the public concern about the issue of food waste has gone through five stages: Incubation period, outbreak period, recession period, secondary outbreak period, and fading period. In general, the support intention shows a down-up-down trend, and the implementation intention rises and then descends. Both the support intention and implementation intention appear to have an inflection point and reach the peak during the recession period. Besides, the general effect of public support intention tends to decline while the implementation intention tends to rise by using the EMD method.
- (2)
- Public concern and emotional performance toward food waste are different in different regions, which is generally related to the regional economic development level. After release-type communication, the support intention and implementation intention are higher in West China than in East China in general.
- (3)
- The results of spatio-temporal differences analysis show the changes in the support intention and implementation intention after the release-style communication. Specifically, 11 regions, including Gansu, Guangxi, Guizhou, and Qinghai, increase the support intention. However, the support intention in six regions, including Beijing, Guangdong, and Hainan, goes negative. Moreover, the support intention in 17 regions, including Anhui, Jiangsu, Henan, and Shandong, and elsewhere, is lower at different levels. It is remarkable that the support intention has changed significantly in three regions of Beijing, Guangdong, and Fujian. In terms of the implementation intention, 14 regions (such as Gansu, Tibet, Xinjiang, and Hebei) increase, while 18 regions decrease in varying degrees (such as Beijing, Jiangsu, Zhejiang, and Shandong). Among them, the implementation intention of Shanghai significantly increases, while Shandong significantly decreases.
5.2. Suggestions
- (1)
- New Vitality Injection Strategy at Inflection Point Based on Time Perspective
The public response to release-type communication in five periods is not static. Both support intention and implementation intention have an inflection point during the recession period. This offers a new perspective for the government to strengthen the communication effect. To be specific, the government can conduct a more fine-grained survey on the characteristics of public response after the release-style communication. According to the five-stage law of public response, an attitudes-public-opinions warning mechanism can be designed. In addition, the government should take stimulus steps at the inflection point in the recession period. For example, feedback communication is introduced to make individuals associate food conservation with themselves, so to enhance the effectiveness of communication and reduce food waste.
- (2)
- Territorial Differential Governance Strategies Based on Spatial Perspective
Based on the analysis of spatial dimension, it can be seen that the public response to release-type communication is quite different in different regions of China. Especially, the emotional attitude decreases significantly after release-type communication in Beijing, Guangdong, Fujian, and Shandong. This result suggests that the effect of release-type communication has territorial differences characteristics. This inspires local governments to design and implement territorial differentiation governance strategies. On the one hand, according to regional attributes (such as economy, culture, geographic features, customs, etc.) and combining the questionnaires and interviews to obtain public psychological needs, food waste governance policies are designed. On the other hand, it is necessary to obtain the changes in the public psychological response timely, after the strategy is implemented. Meanwhile, the strategy will be actively adjusted in accordance with public attitudes and emotions so as to give full play to the effectiveness of the strategy.
- (3)
- Balance Both Support Intention and Implementation Intention
The EMD method concludes that the support intention and the implementation intention show two opposite trends in the effect of release-type communication (the trend of support intention decreases while the trend of implementation intention increases.). This may lead to phenomena, such as green paradox, retaliatory rebound, etc. In consequence, the government should balance the public support intention and implementation intention in guiding the behavior of stopping food waste. Some ways can be used to make up for the gradual decline of the public support intention so as to promote the consistency level of the support intention and the implementation intention. For instance, spread the need to save food through online media, guide the public to establish the concept that saving food is a virtue, etc.
Author Contributions
F.C.: Conceptualization, Methodology, Formal analysis, Writing-Original Draft; C.G.: Software, Investigation, Writing-Original Draft; X.G.: Resources, Conceptualization, Visualization; T.Y.: Supervision, Writing-Review & Editing. All authors have read and agreed to the published version of the manuscript.
Funding
This work was financially supported by the Fundamental Research Funds for the Central Universities (2019XKQYMS42).
Institutional Review Board Statement
Not applicable.
Informed Consent Statement
Not applicable.
Data Availability Statement
The data presented in this study are available on request from author.
Conflicts of Interest
The authors declare no conflict of interest.
References
- General Office of the CPC Central Committee. Opinions on Practicing Strict Economy and Combating Food Waste [EB/OL]. 2014. Available online: http://www.gov.cn/gongbao/content/2014/content_2644806.htm (accessed on 18 March 2014).
- Lin, B.; Guan, C.X. Determinants of household food waste reduction intention in China: The role of perceived government control. J. Environ. Manag. 2021, 299, 113577. [Google Scholar] [CrossRef]
- General Office of the State Council of the People’s Republic of China. Circular on Further Strengthening the Work of Saving Food and Combating Waste [EB/OL]. 2010. Available online: http://www.gov.cn/zwgk/2010-01/22/content_1517138.htm (accessed on 18 January 2010).
- Wang, L.F.; Yang, Y.Q.; Wang, G.Y. The Clean Your Plate Campaign: Resisting Table Food Waste in an Unstable World. Sustainability 2022, 14, 4699. [Google Scholar] [CrossRef]
- Shi, M.; Wang, X.B.; Yu, X.H. Does dietary knowledge affect household food waste in the developing economy of China? Food Policy 2021, 98, 101896. [Google Scholar]
- Liao, F.; Qing, P.; Sun, S.; Liu, B. All roads lead to Rome: The impact of communication types on food waste behavior. Chin. Rural. Econ. 2018, 5, 35–51. [Google Scholar]
- Hamilton, S.F.; Richards, T.J. Food policy and household food waste. Am. J. Agric. Econ. 2019, 101, 597–611. [Google Scholar] [CrossRef]
- Song, Y.; Guo, S.; Zhang, M. Will environmental regulations affect subjective well-being?—A cross-region analysis in China. Environ. Sci. Pollut. Res. 2019, 26, 29191–29211. [Google Scholar] [CrossRef] [PubMed]
- Bruggeman, J.; Sprik, R.; Quax, R. Spontaneous cooperation for public goods. J. Math. Sociol. 2020, 45, 183–191. [Google Scholar] [CrossRef]
- Xu, H.; Tan, D.Q.; Zhang, J.Q.; Han, W. Evolutionary game analysison herding behavior of non-direct stakeholders in mass emergencies. Manag. Rev. 2019, 31, 254–266. [Google Scholar]
- Wang, J.M. The effects of conservation awareness to conservation behavior: An interaction and moderation effect model in Chinese cultural context. Manag. World 2013, 8, 77–90. [Google Scholar]
- Zeng, T.; Durif, F.; Robinot, E. Can eco-design packaging reduce consumer food waste? an experimental study. Technol. Forecast. Soc. Change 2021, 162, 120342. [Google Scholar] [CrossRef]
- Adeyanju, M. Public knowledge, attitudes, and behavior toward Kansas mandatory seat-belt use: Implications for public health policy. J. Health Soc. Policy 1991, 3, 117. [Google Scholar] [CrossRef] [PubMed]
- Gaebler, S.; Potrafke, N.; Roesel, F. Compulsory voting and political participation: Empirical evidence from Austria. Reg. Sci. Urban Econ. 2020, 81, 103499. [Google Scholar] [CrossRef]
- Li, A.; Jiao, D.D.; Liu, T.L. Online detection of public attitudes towards China’s second-child policy: A linguistic analysis of social media responses. Hum. Behav. Emerg. Technol. 2019, 1, 200–207. [Google Scholar] [CrossRef]
- Attiq, S.; Habib, M.D.; Kaur, P.; Hasni MJ, S.; Dhir, A. Drivers of food waste reduction behaviour in the household context. Food Qual. Prefer. 2021, 94, 104300. [Google Scholar] [CrossRef]
- Raziq, M.M.; Ahmed, Q.M.; Ahmad, M.; Yusaf, S.; Sajjad, A.; Waheed, S. Advertising skepticism, need for cognition and consumers’ attitudes. Mark. Intell. Plan. 2018, 6, 678–693. [Google Scholar] [CrossRef]
- Mcquail, D. Mcquail’s Mass Communication Theory; Sage Publications: Thousand Oaks, CA, USA, 2005. [Google Scholar]
- Stensota, H.O.; Bendz, A. Public response to welfare policy retrenchment: The importance of trust in implementing agencies. the case of early retirement in Sweden 1999–2010. Soc. Policy Adm. 2020, 54, 1–17. [Google Scholar] [CrossRef]
- Lin, M.; Mark, L.; Marina, L. Tracking social media during the COVID-19 pandemic: The case study of lockdown in New York State. Expert Syst. Appl. 2021, 187, 115797. [Google Scholar]
- Reynolds, C.; Goucher, L.; Quested, T.; Bromley, S.; Gillick, S.; Wells, V.K.; Evans, D.; Koh, L.; Kanyama, A.C.; Katzeff, C.; et al. Review: Consumption-stage food waste reduction interventions—What works and how to design better interventions. Food Policy 2019, 83, 7–27. [Google Scholar] [CrossRef]
- Chai, W.T.; Kian, Y.K.; Pei, S.C. The role of social media in food waste prevention behaviour. Br. Food J. 2020, 124, 1680–1696. [Google Scholar]
- Gunarathne, A.; Spiller, A.; Risius, A. Public acceptability of government interventions to re-duce obesity: Policy effectiveness, policy fairness, government trust and political ideology. Proc. Nutr. Soc. 2020, 79, 128. [Google Scholar] [CrossRef]
- Jabeen, F.; Dhir, A.; Islam, N.; Talwar, S.; Papa, A. Emotions and food waste behavior: Do habit and facilitating conditions matter? J. Bus. Res. 2023, 155, 113356. [Google Scholar] [CrossRef]
- Breckler, S.J. Empirical validation of affect, behavior, and cognition as distinct compo-nents of attitude. J. Personal. Soc. Psychol. 1984, 47, 1191–1205. [Google Scholar] [CrossRef] [PubMed]
- Liang, Y.; Song, Q.; Liu, G.; Li, J. Uncovering residents and restaurants’ attitude and willingness toward effective food waste management: A case study of macau. Waste Manag. 2021, 130, 107–116. [Google Scholar] [CrossRef] [PubMed]
- Kim, M.J.; Hall, C.M.; Kim, D.K. Predicting environmentally friendly eating out behavior by value-attitude-behavior theory: Does being vegetarian reduce food waste? J. Sustain. Tour. 2020, 28, 797–815. [Google Scholar] [CrossRef]
- Hao, N.; Zhang, Y.; Wang, H.; Wang, H.H. Which Consumer Perceptions Should Be Used in Food Waste Reduction Campaigns: Food Security, Food Safety or Environmental Concerns? Sustainability 2022, 14, 2010. [Google Scholar] [CrossRef]
- Allen, M.; Reynolds, R. The Elaboration Likelihood Model and the Sleeper Effect: An Assessment of Attitude Change over Time. Commun. Theory 1993, 3, 73–82. [Google Scholar] [CrossRef]
- Van Vuuren, D.P.; Bijl, D.L.; Bogaart, P.; Stehfest, E.; Biemans, H.; Dekker, S.C.; Doelman, J.C.; Gernaat, D.E.H.J.; Harmsen, M. Integrated scenarios to support analysis of the food–energy–water nexus. Nat. Sustain. 2019, 2, 1132–1141. [Google Scholar] [CrossRef]
- Semenza, D.C.; Bernau, J.A. Information-seeking in the wake of tragedy: An examination of public response to mass shootings using google search data. Sociol. Perspect. 2020, 65, 216–223. [Google Scholar] [CrossRef]
- Zilrahmi, Z.; Wijayanto, H.; Afendi, F.M.; Bakri, R. Study on emd method for predicting the price of curly red chili in indonesia. Indones. J. Stats Its Appl. 2020, 4, 374–381. [Google Scholar] [CrossRef]
- Sun, S.; Wang, S.; Zhang, G.; Zheng, J. A decomposition-clustering-ensemble learning ap-proach for solar radiation forecasting. Sol. Energy 2018, 163, 189–199. [Google Scholar] [CrossRef]
- Zhang, Q.; Zheng, X.Y. Walsh Transform and Empirical Mode Decomposition Applied to Reconstruction of Velocity and Displacement from Seismic Acceleration Measurement. Appl. Sci. 2022, 10, 3509. [Google Scholar] [CrossRef]
- Sun, W.; Feng, X.; Xu, B. Study on the poverty reduction effect of rural residents in China from the perspective of heterogeneity: A new decomposition method based on FGT poverty index. Stat. Res. 2020, 37, 44–55. [Google Scholar]
- Qian, L.; Li, F.; Cao, B.; Wang, L.; Jin, S. Determinants of food waste generation in Chinese university canteens: Evidence from 9192 university students. Resour. Conserv. Recycl. 2021, 167, 105410. [Google Scholar] [CrossRef]
- Chen, X.H.; Cai, S.J.; Wang, Y.J. The institutional and policy logic of the implementation of the environmental protection supervision system in China. Manag. World 2020, 36, 160–172. [Google Scholar]
- Hou, J.; Jin, Y.J.; Chen, F.Y. Should waste separation be mandatory? a study on public’s re-sponse to the policies in China. Int. J. Environ. Res. Public Health 2020, 17, 4539. [Google Scholar] [CrossRef]
- Oh, Y.; Kim, S.; Kim, S. Searching for New Human Behavior Model in Explaining Energy Transition: Exploring the Impact of Value and Perception Factors on Inconsistency of Attitude toward Policy Support and Intention to Pay for Energy Transition. Int. J. Environ. Res. Public Health 2022, 18, 11352. [Google Scholar] [CrossRef]
- Kritikou, T.; Panagiotakos, D.; Abeliotis, K.; Lasaridi, K. Investigating the determinants of greek households food waste prevention behaviour. Sustainability 2021, 13, 11451. [Google Scholar] [CrossRef]
- Chen, M.F. Integrating the extended theory of planned behavior model and the food-related routines to explain food waste behavior. Br. Food J. 2022; ahead-of-print. [Google Scholar] [CrossRef]
- Ayşen, C.; Raife MY, Ö. What influences consumer food waste behavior in restaurants? An application of the extended theory of planned behavior. Waste Manag. 2020, 117, 170–178. [Google Scholar]
- Kong, J.Y.; Teng, G.Q.; Wang, S.M.; Rui, T. Impact of party’s responses on netizens’ emotions in public opinion. Libr. Inf. Serv. 2020, 64, 89–96. [Google Scholar]
- Yin, F.; Pang, H.; Xia, X.; Shao, X.; Wu, J. COVID-19 Information Contact and Participation Analysis and Dynamic Prediction in the Chinese Sina-Microblog. Phys. A: Stat. Mech. Its Appl. 2021, 507, 125788. [Google Scholar] [CrossRef]
- Huang, N.E.; Shen, Z.; Long, S.R.; Wu, M.C.; Shih, H.H.; Zheng, Q.; Yen, N.-C.; Tung, C.C.; Liu, H.H. The empirical mode decomposition and the hilbert spectrum for nonlinear and non-stationary time series analysis. Proc. R. Soc. A Math. Phys. Eng. Sci. 1998, 454, 903–995. [Google Scholar] [CrossRef]
- Korotin, V.; Dolgonosov, M.; Popov, V.; Korotina, O.; Korolkova, I. The ukrainian crisis, economic sanctions, oil shock and commodity currency analysis based on EMD approach. Res. Int. Bus. Financ. 2019, 48, 156–168. [Google Scholar] [CrossRef]
- Cerciello, M.; Agovino, M.; Garofalo, A. Estimating food waste under the FUSIONS defini-tion: What are the driving factors of food waste in the Italian provinces? Environ. Dev. Ment Sustain. 2019, 21, 1139–1152. [Google Scholar] [CrossRef]
- Hu, X.P.; Li, X. Study on Macao residents’ support intention towards independent visitor scheme: The moderating role of local attachment. World Reg. Stud. 2019, 28, 181–192. [Google Scholar]
- Ahmed, S.; Stewart, A.; Smith, E.; Warne, T.; Byker Shanks, C. Consumer Perceptions, Behaviors, and Knowledge of Food Waste in a Rural American State. Front. Sustain. Food Syst. 2021, 5, 734785. [Google Scholar] [CrossRef]
- Beate, R. Knowledge and perception of food waste among German consumers. J. Clean. Prod. 2017, 166, 641–648. [Google Scholar]
- Ma, Y.; Lin, X.K. Financial development and the effectiveness of monetary policy. J. Bank. Financ. 2016, 68, 1–11. [Google Scholar] [CrossRef]
- van der Velde, L.; Schuilenburg, L.; Thrivikraman, J.; Numans, M.; Kiefte-de Jong, J. Exploring the needs and perceptions regarding healthy eating among people at risk of food insecurity: A qualitative analysis. Proc. Nutr. Soc. 2020, 79, 554. [Google Scholar] [CrossRef]
- Xu, Z.; Zhang, Z.; Liu, H.; Zhong, F.; Bai, J.; Cheng, S. Food-away-from-home plate waste in China: Preference for variety and quantity. Food Policy 2020, 97, 101918. [Google Scholar] [CrossRef]
- Bai, L.; Cao, S.; Gong, S.; Huang, L. Motivations and obstructions of minimizing suboptimal food waste in Chinese households. J. Clean. Prod. 2022, 342, 130951. [Google Scholar] [CrossRef]
- Jean, C.B.; Jeffrey, H. Total and per capita value of food loss in the United States. Food Policy. 2012, 37, 561–570. [Google Scholar]
- Nikolaus, C.J.; Nickols-Richardson, S.M.; Ellison, B. Wasted food: A qualitative study of U.S. young adults’ perceptions, beliefs and behaviors. Appetite 2018, 130, 70–78. [Google Scholar] [CrossRef]
- Zhao, J.; Madni, G.R.; Anwar, M.A. Exploring rural inhabitants’ perceptions towards food wastage during COVID-19 lockdowns: Implications for food security in Pakistan. PLoS ONE 2022, 17, e0264534. [Google Scholar] [CrossRef]
- Carolin, V.K.; Daniel, F. Preventing household food waste via nudging: An exploration of consumer perceptions. J. Clean. Prod. 2018, 184, 32–40. [Google Scholar]
- Bai, G.L.; Bai, Y. Voluntary or forced different effects of personal and social norms on urban residents’ environmental protection behavior. Int. J. Environ. Res. Public Health 2020, 17, 3525. [Google Scholar] [CrossRef]
- Erkut, H. Incentivized measurement of social norms using coordination games. Anal. Krit. 2020, 42, 97–106. [Google Scholar] [CrossRef]
- Teng, C.C.; Wang, Y.C.; Chuang, C.J. Food choice motives and dining-out leftover prevention behavior: Integrated perspectives of planned behavior and norm activation. Int. J. Hosp. Manag. 2020, 107, 103309. [Google Scholar] [CrossRef]
- Dill, K.E.; Anderson, C.A.; Anderson, K.B.; Deuser, W.E. Effects of aggressive personality on social expectations and social perceptions. J. Res. Personal. 1997, 31, 272–292. [Google Scholar] [CrossRef]
- Chang, G.Y.; Wang, L.; Zhang, W.X. Perceptions of peasants in Minqin County for the water conservation polices of Shiyang River basin and their effects. J. Arid. Land Resour. Environ. 2016, 30, 13–19. [Google Scholar]
- Sun, J.; Li, J.J.; Yang, X.R. Why consumer’s word is not in agreement with their deed: Study on factors impeding green consumption behavior. J. Huazhong Agric. Univ. 2015, 5, 72–81. [Google Scholar]
- Aschemann-Witzel, J.; De Hooge, I.; Amani, P.; Bech-Larsen, T.; Oostindjer, M. Consumer-related food waste: Causes and potential for action. Sustainability 2015, 7, 6457–6477. [Google Scholar] [CrossRef]
- Lazell, J. Consumer food waste behaviour in universities: Sharing as a means of prevention. J. Consum. Behav. 2016, 15, 430–439. [Google Scholar] [CrossRef]
- Schanes, K.; Dobernig, K.; Gözet, B. Food waste matters-A systematic review of household food waste practices and their policy implications. J. Clean. Prod. 2018, 182, 978–991. [Google Scholar] [CrossRef]
- He, Z.; Zhou, Y.; Wang, J.; Li, C.; Wang, M.; Li, W. The impact of motivation, intention, and contextual factors on green purchasing behavior: New energy vehicles as an example. Bus. Strategy Environ. 2021, 30, 1249–1269. [Google Scholar] [CrossRef]
- Dickinson, D.L.; Dutcher, E.G.; Rodet, C.S. Observed punishment spillover effects: A laboratory investigation of behavior in a social dilemma. Exp. Econ. 2015, 18, 136–153. [Google Scholar] [CrossRef]
- Sabitzer, T.; Hartl, B.; Marth, S.; Hofmann, E.; Penz, E. Preventing Conflicts in Sharing Communities as a Means of Promoting Sustainability. Sustainability 2018, 10, 2828. [Google Scholar] [CrossRef]
- Knud, S.L. Deviancy and Choice in Cooperative and Punishment Situations. J. Soc. Psychol. 1972, 86, 247–249. [Google Scholar]
- Li, T.; Chen, Y. Do regulations always work? the moderate effects of reinforcement sensitiv-ity on deviant tourist behavior intention. J. Travel Res. 2019, 58, 1317–1330. [Google Scholar] [CrossRef]
- Clemons, K.; Johnson, D.B.; Kiger, A.; Putnam, J. Decreasing campus smoking with pinishments and social pressures. Contemp. Econ. Policy 2018, 36, 629–643. [Google Scholar] [CrossRef]
- Aaron, K.; David, A.G.; Thomas, J.M. School Punishment in the US and England: Divergent Frames and Responses. Youth Justice 2015, 15, 3–22. [Google Scholar]
- Higgins, E.T. Beyond pleasure and pain. Am. Psychol. 1997, 52, 1280–1300. [Google Scholar] [CrossRef] [PubMed]
- Tam, K.-P. Anthropomorphism of nature, environmental guilt, and pro-environmental behavior. Sustainability 2019, 11, 5430. [Google Scholar] [CrossRef]
- He, R.; Jin, J.; Gong, H.; Tian, Y. The role of risk preferences and loss aversion in farmers’ en-ergy-efficient appliance use behavior. J. Clean. Prod. 2019, 215, 305–314. [Google Scholar] [CrossRef]
- Mi, L.; Zhao, J.; Xu, T.; Yang, H.; Lv, T.; Shang, K.; Qiao, Y.; Zhang, Z. How does COVID-19 emergency cognition influence public pro-environmental behavioral intentions? An affective event perspective. Resour. Conserv. Recycl. 2021, 168, 105467. [Google Scholar] [CrossRef] [PubMed]
- Flanagan, A.; Priyadarshini, A. A study of consumer behaviour towards food-waste in Ireland: Attitudes, quantities and global warming potentials. J. Environ. Manag. 2021, 284, 112046. [Google Scholar] [CrossRef]
Disclaimer/Publisher’s Note: The statements, opinions and data contained in all publications are solely those of the individual author(s) and contributor(s) and not of MDPI and/or the editor(s). MDPI and/or the editor(s) disclaim responsibility for any injury to people or property resulting from any ideas, methods, instructions or products referred to in the content. |
© 2023 by the authors. Licensee MDPI, Basel, Switzerland. This article is an open access article distributed under the terms and conditions of the Creative Commons Attribution (CC BY) license (https://creativecommons.org/licenses/by/4.0/).




