Cold and Wet Mantle Transition Zone Beneath the Mediterranean Sea Revealed by the Electrical Image
Abstract
Featured Application
Abstract
1. Introduction
2. Data and Methods
2.1. Theory of GDS
2.2. L-BFGS Inversion
2.3. Data Processing
2.4. Influence of Ocean
3. Inversion Results and Stability
3.1. Electrical Conductivity Model
3.2. Robustness of Anomalies
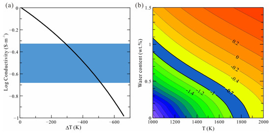
4. Discussions
5. Conclusions
Author Contributions
Funding
Institutional Review Board Statement
Informed Consent Statement
Data Availability Statement
Acknowledgments
Conflicts of Interest
References
- Bercovici, D.; Karato, S.-I. Whole-Mantle Convection and the Transition-Zone Water Filter. Nature 2003, 425, 39–44. [Google Scholar] [CrossRef] [PubMed]
- Koppers, A.A.P.; Becker, T.W.; Jackson, M.G.; Konrad, K.; Müller, R.D.; Romanowicz, B.; Steinberger, B.; Whittaker, J.M. Mantle Plumes and Their Role in Earth Processes. Nat. Rev. Earth Environ. 2021, 2, 382–401. [Google Scholar] [CrossRef]
- Li, S.; Weng, A.; Zhang, Y.; Schultz, A.; Li, Y.; Tang, Y.; Zou, Z.; Zhou, Z. Evidence of Bermuda Hot and Wet Upwelling from Novel Three-Dimensional Global Mantle Electrical Conductivity Image. Geochem. Geophys. Geosyst. 2020, 21, e2020GC009016. [Google Scholar] [CrossRef]
- Maguire, R.; Ritsema, J.; van Keken, P.E.; Fichtner, A.; Goes, S. P- and S-Wave Delays Caused by Thermal Plumes. Geophys. J. Int. 2016, 206, 1169–1178. [Google Scholar] [CrossRef][Green Version]
- Maguire, R.; Ritsema, J.; Bonnin, M.; van Keken, P.E.; Goes, S. Evaluating the Resolution of Deep Mantle Plumes in Teleseismic Traveltime Tomography. J. Geophys. Res. Solid Earth 2018, 123, 384–400. [Google Scholar] [CrossRef]
- Zhao, D. Global Tomographic Images of Mantle Plumes and Subducting Slabs: Insight into Deep Earth Dynamics. Phys. Earth Planet. Inter. 2004, 146, 3–34. [Google Scholar] [CrossRef]
- Wang, X.; Chen, Q.F.; Niu, F.; Wei, S.; Ning, J.; Li, J.; Wang, W.; Buchen, J.; Liu, L. Distinct Slab Interfaces Imaged within the Mantle Transition Zone. Nat. Geosci. 2020, 13, 822–827. [Google Scholar] [CrossRef]
- Tian, Y.; Zhu, H.; Zhao, D.; Liu, C.; Feng, X.; Liuand, T.; Ma, J. Mantle Transition Zone Structure beneath the Changbai Volcano: Insight into Deep Slab Dehydration and Hot Upwelling near the 410km Discontinuity. J. Geophys. Res. Solid Earth 2016, 121, 5794–5808. [Google Scholar] [CrossRef]
- Huang, J.; Zhao, D. High-Resolution Mantle Tomography of China and Surrounding Regions. J. Geophys. Res. Solid Earth 2006, 111, 1–21. [Google Scholar] [CrossRef]
- Zahedi, R.; Daneshgar, S.; Ali, M.; Seraji, N.; Asemi, H. Modeling and Interpretation of Geomagnetic Data Related to Geothermal Sources, Northwest of Delijan. Renew. Energy 2022, 196, 444–450. [Google Scholar] [CrossRef]
- French, S.W.; Romanowicz, B. Broad Plumes Rooted at the Base of the Earth’s Mantle beneath Major Hotspots. Nature 2015, 525, 95–99. [Google Scholar] [CrossRef]
- Zhao, D. Seismic Images under 60 Hotspots: Search for Mantle Plumes. Gondwana Res. 2007, 12, 335–355. [Google Scholar] [CrossRef]
- Yoshino, T. Laboratory Electrical Conductivity Measurement of Mantle Minerals. Surv. Geophys. 2010, 31, 163–206. [Google Scholar] [CrossRef]
- Karato, S.I. Water Distribution across the Mantle Transition Zone and Its Implications for Global Material Circulation. Earth Planet. Sci. Lett. 2011, 301, 413–423. [Google Scholar] [CrossRef]
- Koyama, T.; Khan, A.; Kuvshinov, A. Three-Dimensional Electrical Conductivity Structure beneath Australia from Inversion of Geomagnetic Observatory Data: Evidence for Lateral Variations in Transition-Zone Temperature, Water Content and Melt. Geophys. J. Int. 2014, 196, 1330–1350. [Google Scholar] [CrossRef][Green Version]
- Guo, J.; Lian, X.; Wang, X. Electrical Conductivity Evidence for the Existence of a Mantle Plume beneath Tarim Basin. Appl. Sci. 2021, 11, 893. [Google Scholar] [CrossRef]
- Kelbert, A.; Schultz, A.; Egbert, G. Global Electromagnetic Induction Constraints on Transition-Zone Water Content Variations. Nature 2009, 460, 1003–1006. [Google Scholar] [CrossRef]
- Chen, C.; Kuvshinov, A.; Kruglyakov, M.; Rigaud, R. Constraining the Crustal and Mantle Conductivity Structures beneath Islands by a Joint Inversion of Multi-Source Magnetic Transfer Functions. J. Geophys. Res. Solid Earth 2023, 128, e2022JB024106. [Google Scholar] [CrossRef]
- Zhang, Y.; Weng, A.; Li, S.; Yang, Y.; Tang, Y.; Liu, Y. Electrical Conductivity in the Mantle Transition Zone beneath Eastern China Derived from L1-Norm C-Responses. Geophys. J. Int. 2020, 221, 1110–1124. [Google Scholar] [CrossRef]
- Yuan, Y.; Uyeshima, M.; Huang, Q.; Tang, J.; Li, Q.; Teng, Y. Continental-Scale Deep Electrical Resistivity Structure beneath China. Tectonophysics 2020, 790, 228559. [Google Scholar] [CrossRef]
- Semenov, A.; Kuvshinov, A. Global 3-D Imaging of Mantle Conductivity Based on Inversion of Observatory C-Responses-II. Data Analysis and Results. Geophys. J. Int. 2012, 191, 965–992. [Google Scholar] [CrossRef]
- Utada, H.; Koyama, T.; Obayashi, M.; Fukao, Y. A Joint Interpretation of Electromagnetic and Seismic Tomography Models Suggests the Mantle Transition Zone below Europe Is Dry. Earth Planet. Sci. Lett. 2009, 281, 249–257. [Google Scholar] [CrossRef]
- Goes, S.; Agrusta, R.; van Hunen, J.; Garel, F. Subduction-Transition Zone Interaction: A Review. Geosphere 2017, 13, 644–664. [Google Scholar] [CrossRef]
- Yoshino, T.; Manthilake, G.; Matsuzaki, T.; Katsura, T. Dry Mantle Transition Zone Inferred from the Conductivity of Wadsleyite and Ringwoodite. Nature 2008, 451, 326–329. [Google Scholar] [CrossRef]
- Banks, R.J. Geomagnetic Variations and the Electrical Conductivity of the Upper Mantle. Geophys. J. R. Astron. Soc. 1969, 17, 457–487. [Google Scholar] [CrossRef]
- Grayver, A.V.; Munch, F.D.; Kuvshinov, A.V.; Khan, A.; Sabaka, T.J.; Tøffner-Clausen, L. Joint Inversion of Satellite-Detected Tidal and Magnetospheric Signals Constrains Electrical Conductivity and Water Content of the Upper Mantle and Transition Zone. Geophys. Res. Lett. 2017, 44, 6074–6081. [Google Scholar] [CrossRef]
- Munch, F.D.; Grayver, A.V.; Kuvshinov, A.; Khan, A. Stochastic Inversion of Geomagnetic Observatory Data Including Rigorous Treatment of the Ocean Induction Effect with Implications for Transition Zone Water Content and Thermal Structure. J. Geophys. Res. Solid Earth 2018, 123, 31–51. [Google Scholar] [CrossRef]
- Uyeshima, M.; Schultz, A. Geoelectromagnetic Induction in a Heterogeneous Sphere: A New Three-Dimensional Forward Solver Using a Conservative Staggered-Grid Finite Difference Method. Geophys. J. Int. 2000, 140, 636–650. [Google Scholar] [CrossRef]
- Kelbert, A.; Egbert, G.D.; Schultz, A. Non-Linear Conjugate Gradient Inversion for Global EM Induction: Resolution Studies. Geophys. J. Int. 2008, 173, 365–381. [Google Scholar] [CrossRef]
- Avdeev, D.; Avdeeva, A. 3D Magnetotelluric Inversion Using a Limited-Memory Quasi-Newton Optimization. Geophysics 2009, 74, F45–F57. [Google Scholar] [CrossRef]
- Nocedal, J.; Wright, S.J. Numerical Optimization, 2nd ed.; Mikosch, T.V., Resnick, S.I., Robinson, S.M., Eds.; Springer Science & Business Media, LLC: New York, NY, USA, 2006; Volume 17, ISBN 0196-0202. [Google Scholar]
- Egbert, G.D.; Kelbert, A. Computational Recipes for Electromagnetic Inverse Problems. Geophys. J. Int. 2012, 189, 251–267. [Google Scholar] [CrossRef]
- Chave, A.D.; Thomson, D.J. Bounded Influence Magnetotelluric Response Function Estimation. Geophys. J. Int. 2004, 157, 988–1006. [Google Scholar] [CrossRef]
- Li, G.; Liu, X.; Tang, J.; Deng, J.; Hu, S.; Zhou, C.; Chen, C. Improved Shift—Invariant Sparse Coding for Noise Attenuation of Magnetotelluric Data. Earth Planets Space 2020, 72, 45. [Google Scholar] [CrossRef]
- Li, G.; Liu, X.; Tang, J.; Li, J.; Ren, Z.; Chen, C. De-Noising Low-Frequency Magnetotelluric Data Using Mathematical Morphology Fi Ltering and Sparse Representation. J. Appl. Geophys. 2020, 172, 103919. [Google Scholar] [CrossRef]
- Chen, C.; Kruglyakov, M.; Kuvshinov, A. A New Method for Accurate and Efficient Modeling of the Local Ocean Induction Effects. Application to Long-Period Responses from Island Geomagnetic Observatories. Geophys. Res. Lett. 2020, 47, e2019GL086351. [Google Scholar] [CrossRef]
- Yao, H.; Ren, Z.; Tang, J.; Zhang, K. A Multi-Resolution Finite-Element Approach for Global Electromagnetic Induction Modeling with Application to Southeast China Coastal Geomagnetic Observatory Studies. J. Geophys. Res. Solid Earth 2022, 127, e2022JB024659. [Google Scholar] [CrossRef]
- Kuvshinov, A.V. Electromagnetic Induction in the Oceans and the Anomalous Behaviour of Coastal C-Responses for Periods up to 20 Days. Geophys. Res. Lett. 2002, 29, 12–15. [Google Scholar] [CrossRef]
- Kuvshinov, A.; Olsen, N. A Global Model of Mantle Conductivity Derived from 5 Years of CHAMP, Ørsted, and SAC-C Magnetic Data. Geophys. Res. Lett. 2006, 33, 1–5. [Google Scholar] [CrossRef]
- Schmucker, U. Substitute Conductors for Electromagnetic Response Estimates. Pure Appl. Geophys. 1987, 125, 341–367. [Google Scholar] [CrossRef]
- Key, K.; Constable, S.; Liu, L.; Pommier, A. Electrical Image of Passive Mantle Upwelling beneath the Northern East Pacific Rise. Nature 2013, 495, 499–502. [Google Scholar] [CrossRef]
- Xu, Y.; Shankland, T.J.; Poe, B.T. Laboratory-Based Electrical Conductivity in the Earth’s Mantle. J. Geophys. Res. 2000, 105, 27865–27875. [Google Scholar] [CrossRef]
- Sinmyo, R.; Pesce, G.; Greenberg, E.; McCammon, C.; Dubrovinsky, L. Lower Mantle Electrical Conductivity Based on Measurements of Al, Fe-Bearing Perovskite under Lower Mantle Conditions. Earth Planet. Sci. Lett. 2014, 393, 165–172. [Google Scholar] [CrossRef]
- Hirschmann, M.M. Water, Melting, and the Deep Earth H2O Cycle. Annu. Rev. Earth Planet. Sci. 2006, 34, 629–653. [Google Scholar] [CrossRef]
- Ohtani, E. Hydration and Dehydration in Earth’s Interior. Annu. Rev. Earth Planet. Sci. 2021, 49, 253–278. [Google Scholar] [CrossRef]
- Kuvshinov, A.; Semenov, A. Global 3-D Imaging of Mantle Electrical Conductivity Based on Inversion of Observatory C-Responses-I. An Approach and Its Verification. Geophys. J. Int. 2012, 189, 1335–1352. [Google Scholar] [CrossRef]
- Hosseini, K.; Sigloch, K.; Tsekhmistrenko, M.; Zaheri, A.; Nissen-meyer, T.; Igel, H. Global Mantle Structure from Multifrequency Tomography Using P, PP and P -Diffracted Waves. Geophys. J. Int. 2020, 220, 96–141. [Google Scholar] [CrossRef]











| Code | Long | Lat | GM- Long | GM- Lat | Data Length | Code | Long | Lat | GM- Long | GM- Lat | Data Length |
|---|---|---|---|---|---|---|---|---|---|---|---|
| AQU | 42.38 | 13.32 | 42.39 | 94.65 | 1960–2009 | KZN | 55.83 | 48.85 | 49.8 | 131.71 | 1957–2016 |
| ARS | 56.43 | 58.57 | 49.2 | 140.05 | 1973–2018 | LVV | 49.9 | 23.75 | 47.87 | 107.22 | 1957–2019 |
| ASH | 37.95 | 58.11 | 31.06 | 135.3 | 1959–1990 | MAB | 50.3 | 5.68 | 51.39 | 90.15 | 1995–2021 |
| BDV | 49.08 | 14.02 | 48.75 | 97.73 | 1994–2020 | MBO | 14.38 | 343.03 | 20.03 | 57.51 | 1952–2020 |
| BEL | 51.84 | 20.79 | 50.24 | 105.27 | 1966–2021 | MNK | 54.5 | 27.88 | 51.62 | 112.91 | 1961–2019 |
| BFE | 55.62 | 11.67 | 55.43 | 98.54 | 1981–2008 | MOS | 55.47 | 37.32 | 51.08 | 121.68 | 1957–2020 |
| BFO | 48.33 | 8.32 | 49.03 | 91.91 | 2006–2021 | NCK | 47.63 | 16.72 | 46.88 | 99.74 | 1993–2021 |
| BGY | 31.72 | 35.09 | 28.27 | 112.66 | 1989–2019 | NGK | 52.07 | 12.68 | 51.86 | 97.73 | 1932–2021 |
| BOX | 58.07 | 38.23 | 53.45 | 123.61 | 1977–2020 | ODE | 46.78 | 30.88 | 43.67 | 112.69 | 1957–1991 |
| CLF | 48.02 | 2.26 | 49.79 | 85.79 | 1936–2021 | PAG | 42.52 | 24.18 | 40.64 | 105.09 | 1956–2020 |
| COI | 40.22 | 351.58 | 44.09 | 71.96 | 1964–2021 | QSB | 33.87 | 35.64 | 30.29 | 113.65 | 2000–2007 |
| CTS | 46.05 | 11.65 | 46.24 | 94.28 | 1996–2020 | RSV | 55.85 | 12.45 | 55.51 | 99.4 | 1927–1981 |
| DOU | 50.1 | 4.6 | 51.38 | 89 | 1957–2021 | SFS | 36.67 | 354.06 | 40.21 | 73.49 | 1957–2021 |
| EBR | 40.96 | 0.33 | 43.28 | 81.33 | 1957–2021 | SPT | 39.55 | 355.65 | 42.75 | 75.95 | 1997–2021 |
| ELT | 29.67 | 34.95 | 26.28 | 112.09 | 1998–2015 | SUA | 44.68 | 26.25 | 42.39 | 107.71 | 1995–2021 |
| ESK | 55.31 | 356.79 | 57.77 | 83.61 | 1911–2021 | SVD | 56.73 | 61.07 | 49.21 | 142.21 | 1930–1980 |
| FUR | 48.17 | 11.28 | 48.35 | 94.73 | 1940–2021 | SZT | 28.48 | 343.74 | 33.84 | 60.83 | 1961–1992 |
| GCK | 44.63 | 20.77 | 43.28 | 102.53 | 2005–2020 | TAM | 22.79 | 5.53 | 24.6 | 81.97 | 1993–2021 |
| GUI | 28.32 | 343.56 | 33.71 | 60.61 | 1993–2021 | TEN | 28.48 | 343.74 | 33.84 | 60.83 | 1961–1992 |
| HAD | 50.99 | 355.52 | 53.86 | 80.08 | 1957–2021 | TFS | 42.09 | 44.7 | 36.95 | 123.99 | 1957–2001 |
| HLP | 54.61 | 18.82 | 53.23 | 104.71 | 1966–2021 | THY | 46.9 | 17.9 | 45.97 | 100.6 | 1991–2021 |
| HRB | 47.87 | 18.19 | 46.86 | 101.23 | 1906–2021 | UPS | 59.9 | 17.35 | 58.5 | 106.33 | 2003–2020 |
| ISK | 41.06 | 29.06 | 38.4 | 109.26 | 1950–1999 | VAL | 51.93 | 349.75 | 55.75 | 74.53 | 1957–2017 |
| IZN | 40.5 | 29.73 | 37.74 | 109.74 | 2007–2021 | WIK | 48.27 | 16.32 | 47.57 | 99.61 | 1955–2015 |
| KIV | 50.72 | 30.3 | 47.58 | 113.54 | 1958–2019 | WNG | 53.74 | 9.07 | 54.09 | 95.08 | 1943–2021 |
Disclaimer/Publisher’s Note: The statements, opinions and data contained in all publications are solely those of the individual author(s) and contributor(s) and not of MDPI and/or the editor(s). MDPI and/or the editor(s) disclaim responsibility for any injury to people or property resulting from any ideas, methods, instructions or products referred to in the content. |
© 2023 by the authors. Licensee MDPI, Basel, Switzerland. This article is an open access article distributed under the terms and conditions of the Creative Commons Attribution (CC BY) license (https://creativecommons.org/licenses/by/4.0/).
Share and Cite
Li, S.; Liu, Y. Cold and Wet Mantle Transition Zone Beneath the Mediterranean Sea Revealed by the Electrical Image. Appl. Sci. 2023, 13, 689. https://doi.org/10.3390/app13020689
Li S, Liu Y. Cold and Wet Mantle Transition Zone Beneath the Mediterranean Sea Revealed by the Electrical Image. Applied Sciences. 2023; 13(2):689. https://doi.org/10.3390/app13020689
Chicago/Turabian StyleLi, Shiwen, and Yunhe Liu. 2023. "Cold and Wet Mantle Transition Zone Beneath the Mediterranean Sea Revealed by the Electrical Image" Applied Sciences 13, no. 2: 689. https://doi.org/10.3390/app13020689
APA StyleLi, S., & Liu, Y. (2023). Cold and Wet Mantle Transition Zone Beneath the Mediterranean Sea Revealed by the Electrical Image. Applied Sciences, 13(2), 689. https://doi.org/10.3390/app13020689

