You are currently viewing a new version of our website. To view the old version click .
Applied Sciences
  • Communication
  • Open Access

16 January 2023

The Honeybee (Apis mellifera L.) Is an Efficient Pollinator for Paeonia lactiflora Pall in the Field

,
,
,
,
,
,
and
1
Institute of Plan Protection, Beijing Academy of Agriculture and Forestry Science, Beijing 100097, China
2
Institute of Vegetables and Flowers, Chinese Academy of Agricultural Sciences, Beijing 100081, China
3
Beijing Apiculture Silkworm Administrative Centre, Beijing 100120, China
*
Authors to whom correspondence should be addressed.
This article belongs to the Special Issue Apiculture: Challenges and Opportunities

Abstract

The herbaceous peony (Paeonia lactiflora Pall.) has high ornamental and nutritional value, and the seeds of P. lactiflora can be used to produce high-quality edible oil. However, low seed yield limits the application of P. lactiflora. This can be mitigated by insect pollinators. Here, we evaluated the pollination services of honeybees (Apis mellifera L.) in a P. lactiflora field. We found that A. mellifera provided pollination for P. lactiflora throughout the day especially in the period from 10:00–15:00. Seed number and weight were significantly increased when P. lactiflora was pollinated by A. mellifera. Furthermore, a DNA barcode, the rbcL gene, was used to analyze pollen samples from the corbiculae (pollen baskets) of A. mellifera (bee pollen, BP) and P. lactiflora flowers (flower pollen, FP). High homology of rbcL genes in the BP and FP suggested that BP was collected from P. lactiflora. Based on our results, A. mellifera provided efficient pollination for P. lactiflora. Therefore, A. mellifera could be a good candidate pollinator for P. lactiflora and could be applied in the field.

1. Introduction

The herbaceous peony (Paeonia lactiflora Pall.) is a kind of traditional plant in Asia that has existed for more than 1200 years [1]. The species is currently largely distributed and cultivated in many regions all over the world, such as New Zealand, Europe, and North America [2,3]. Paeonia lactiflora is well known as an ornamental plant and it is used in traditional medicine [4,5]. Furthermore, the oilseed of P. lactiflora is of high nutritional value including linolenic acid, linoleic acid, oleic acid, calcium, magnesium, and other elements [6,7]. Peony oil has a high proportion of polyunsaturated fatty acids (PUFAs) which can help reduce the risk of cardiovascular disease in human [8,9]. Therefore, the development of P. lactiflora cultivation is of great significance to improving the supply of high-quality edible oil. However, low yield is a key factor limiting the application of P. lactiflora. Efficient pollination could commendably improve seed formation [10].
Insect pollination plays a vital role in the balance and manipulation of both natural and agricultural ecosystems by providing efficient pollination and contributing to improving crop yields and nutrition [11,12,13,14]. Recently, insect pollinators have been widely used in agriculture including crops, vegetables, fruits, and flowers [15,16,17,18,19,20].
A great variety of insects can provide pollination services for plants, including Hymenoptera, Diptera, Coleoptera, and Lepidoptera insects. Among various insect pollinators, bees from Hymenoptera represent an important group. In view of their high pollinating ability and adaptation for artificial breeding, pollinating bees are the dominant pollinators in agricultural systems. Bee pollination has been recognized as an indispensable measure for crop production safety. Honeybees, such as Apis mellifera L. and Apis cerana cerana, are the main species used for pollination in agriculture.
The behavior and efficiency of insects pollinating different crops differ a lot. By analyzing pollination behavior and efficiency, A. mellifera has been characterized as the most suitable pollinator for Citrus maxima [21], whereas for Paeonia ostia, the species A. mellifera, A. cerana cerana, and Bombus flavescens are candidate pollinators [22]. Recently, many kinds of insects were deemed to pollinate P. lactiflora [23].
It is necessary to evaluate the pollination efficiency of insects. DNA barcodes in pollen samples from corbiculae (pollen baskets) of bees have been a useful tool to analyze bee pollination [24]. DNA barcodes refer to a DNA-sequence-based identification system and they have become an important tool in taxonomy [25,26,27]. The plastid rbcL gene is one of the frequently used DNA barcodes and it has been applied as a species-level discriminator [28,29]. Researchers used the rbcL gene in a pollen mixture to identify plant species [24].
Against the background that the pollination behavior and efficiency of A. mellifera in a P. lactiflora field are still not fully understood, we selected A. mellifera as the candidate pollinator for P. lactiflora. To evaluate the pollination efficiency of A. mellifera in P. lactiflora field, we (1) analyzed the pollination behaviors of A. mellifera in a P. lactiflora field; (2) identified the pollen that adhered to A. mellifera legs through molecular markers; and (3) evaluated the number and weight of P. lactiflora seeds.

2. Materials and Methods

2.1. Plants and Honeybees

Paeonia lactiflora was cultivated in a field (23 × 29 m) in Beijing, reaching a plant height of 35–40 cm. The row spacing was 60 cm and the plant spacing was 30 cm. Paeonia lactiflora grow well with fine management. Flowers of P. Iactiflora in the lines 6, 12, 18, 24, and 30 were netted by a nylon net to prevent honeybee pollination as CK (non-bee-pollinated P. lactiflora) (Figure S1). The hive of A. mellifera was placed in the P. lactiflora field during the flowering time (May) for pollination.

2.2. Pollination Behavior of A. mellifera

2.2.1. Time and Frequency of Pollination

A single honeybee visiting a flower was used to analyze the pollination behavior of A. mellifera. The period of pollination was determined starting from the time when the bee landed on the flower and ending when the bee flew away from the flower [22]. During pollination, a honeybee landed on the flower and flew away several time, which was accounted for as the pollination frequency. At least 100 honeybees were detected for the experiment and analysis.

2.2.2. Proportion of Efficient Pollinators

The numbers of honeybees arriving back at the hive (A1) and those with pollen arriving at the hive (A2) were determined, resulting in the proportion of pollinators = A2/A1. These numbers of were determined during the following periods: 8:00–8:10, 9:00–9:10, 10:00–10:10, 11:00–11:10, 12:00–12:10, 13:00–13:10, 14:00–14:10, 15:00–15:10, 16:00–16:10, and 17:00–17:10.

2.3. Pollen Identification

To ensure that P. lactiflora plants were pollinated by A. mellifera, pollen samples from the corbiculae (pollen baskets) of A. mellifera (bee pollen, BP) and P. lactiflora flowers (flower pollen, FP) were collected and identified. Pollen samples from the corbiculae of A. mellifera adults were randomly collected when they flew back to the hive. Pollen DNA was extracted using the QIAamp DNA Mini Kit following the manufacturer’s instructions (QIAGEN, Hilden, Germany). The DNA samples were checked using a NanoDrop 2000 spectrophotometer (Thermo Scientific, Wilmington, DE, USA).
The rbcL gene was used as a DNA barcode for the identification of P. lactiflora pollen. Primers of this gene, namely 1F-5′-ATGTCACCACAAACAGAAAC-3′ and 742R-5′-TCGCATGTACCTGCAGTAGC-3′, were applied in the PCR, with the following steps: initial denaturation at 95 °C for 2 min, 35 cycles of denaturation at 94 °C for 1 min, annealing at 55 °C for 30 s, extension at 72 °C for 1 min, and a final extension step at 72 °C for 10 min [24]. Subsequently, we purified the PCR products using the TaKaRa MniBEST Agarose Gel DNA Extraction kit Ver.4.0 (Takara Biotech, Tokyo, Japan), attached them to a pMD18-T vector (Takara Biotech, Tokyo, Japan), and inserted them into Escherichia coli for amplification. The rbcL genes from BP and FP were sequenced by Sanger sequencing at Tsingke Biological Technology, Beijing, China. Last, the sequences of rbcL genes from three FP and 15 BP were blasted and analyzed through DNAMAN 7 (Lynnon Biosoft, San Ramon, CA, USA).

2.4. Pollination Evaluation

To evaluate the efficiency of pollination by A. mellifera for P. lactiflora, mature seeds of 33 honeybee-pollinated and 35 non-honeybee-pollinated P. lactiflora plants were collected and counted. The weights of the seeds from the honeybee-pollinated and non-honeybee-pollinated P. lactiflora plants were detected.

2.5. Data Analysis

Differences were analyzed using one-way ANOVA and Tukey’s test (p < 0.05) in SPSS v. 19 [30].

3. Results

3.1. Pollination Behavior of A. mellifera on P. lactiflora

When visiting P. lactiflora, A. mellifera landed on one flower to collect pollen, then flew away, hovered over the flower, and flew back to collect pollen again. These behaviors suggested that A. mellifera visited a single flower more than once. Different A. mellifera presented different behaviors. The frequency of A. mellifera visiting a single flower was 1–7 times (Figure 1A), and the visiting time ranged from 3.48 to 118.06 s. The most frequent time was 20–29.99 s, with an average of 32.86 ± 0.33 s (Figure 1B).
Figure 1. Pollination behavior of A. mellifera. (A) Time for a single honeybee to visit a single flower. (B) Frequency of honeybees visiting a single flower.
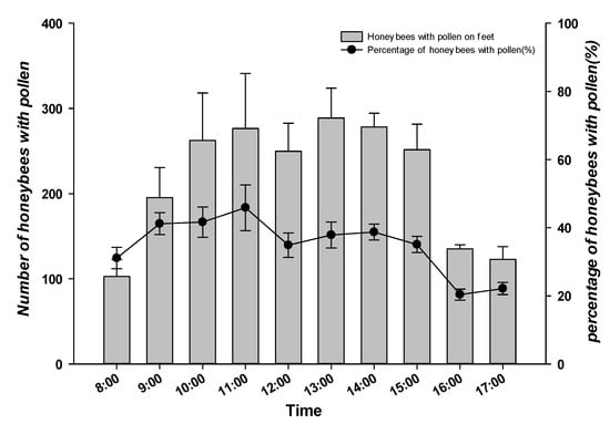
Apis mellifera flying back to the hive during 8:00–17:00 were counted and analyzed. We found that A. mellifera visited P. lactiflora flowers throughout the day, and the number of honeybees with pollen that flew back to the hive gradually increased. The proportion of pollinators (A2/A1) was highest at 10:00–15:00, suggesting that A. mellifera efficiently pollinated P. lactiflora in the period from 10:00–15:00 (Figure 2).
Figure 2. Proportion of pollinators. Numbers and percentages of honeybees that flew back to the hive with pollen on the corbiculae.

3.2. Pollen Identification

To ensure that A. mellifera pollinated P. lactiflora, DNA samples of pollen from the corbiculae of bees (BP) and pollen collected from flowers (FP) were extracted separately. The amplified sequences of rbcL genes from pollen samples by PCR were about 700 bp. Sequences of rbcL genes from BP and FP showed a high homology (Figure 3). The high identity (96.61%) between BP and FP suggested that these sequences in BP are rbcL genes in P. lactiflora, indicating that the pollen in the corbiculae of A. mellifera was collected from P. lactiflora. This result indicated that A. mellifera provided pollination for P. lactiflora.
Figure 3. Alignment of rbcL genes in BP and FP. BP, bee pollen—pollen collected from the corbiculae of A. mellifera; FP, flower pollen—pollen collected from the flower.

3.3. Evaluation of Pollination Efficiency

We evaluated the pollination efficiency of A. mellifera in the P. lactiflora field by analyzing the seed numbers and weight. Bee-pollinated and non-bee-pollinated P. lactiflora samples were randomly selected for analysis. Interestingly, the average seed number of bee-pollinated flowers was nearly twice as high as that of non-bee-pollinated flowers (Figure 4). The seed numbers of P. lactiflora significantly increased when pollinated by A. mellifera. In addition, the thousand-seed weight (TSW) of bee-pollinated plants was considerably higher than that of non-bee-pollinated plants (Figure 4). Generally, bee pollination considerably increased the seed numbers and weight. Pollination by A. mellifera improved the yield of P. lactiflora seeds.
Figure 4. Efficiency of pollination by A. mellifera for P. lactiflora CK, P. lactiflora without bee pollination. The significance of the data was analyzed using Tukey’s test at p < 0.05.

4. Discussion

Paeonia lactiflora is a multifunctional plant with high ornamental and nutritional value [1,3,4]. The seeds of P. lactiflora can be used to produce high-quality edible oil [7,8]. However, one of the important preconditions for the cultivation P. lactiflora is a high seed yield, which can be obtained via efficient pollination.
Different pollinators present different pollination behaviors, and understanding the pollination patterns is crucial to ensuring optimal pollination. In this study, A. mellifera visited a single flower several times; this behavior is consistent with the foraging behavior of A. mellifera when pollinating Paeonia ostii ‘Feng Dan’ [22]. Furthermore, we found that A. mellifera rapidly collected pollen on its corbiculae. A similar pollination behavior was observed for A. mellifera visiting P. lactiflora in a garden experiment [23]. Apis mellifera always cross-visited different flowers, most likely to improve pollination efficiency by increasing the pollen falling to the stigma.
Apis mellifera was most active between 10:00–15:00 (Figure 2), with a higher number of bees carrying pollen. Even the number of honeybees with pollen in the afternoon was high; the percentage was lower than that in the morning. Most likely, around this time, more honeybees flew out of the hive to collect water for cooling.
Both abiotic and biotic factors can influence the pollination behaviors of insect [31]. Flower characteristics, such as color, pollen, nectar, and plant metabolites, are important factors influencing pollination behavior. The volatiles of plants play a very important role in olfactory orientation for insects visiting flowers [32,33,34]. In our study, A. mellifera preferred flowers of P. lactiflora, which may be related to the color, pollen, nectar, or the volatiles of these plants.
Efficient pollination is one of the most important preconditions of high yields. To ensure that the P. lactiflora plants were pollinated by A. mellifera, we sequenced and analyzed the rbcL gene in pollen collected from the corbiculae (pollen baskets) of A. mellifera. High homology of gene sequences between BP and FP suggested that pollen in the corbiculae of A. mellifera was collected from P. lactiflora. This result indicated that A. mellifera provided pollination for P. lactiflora. Using DNA barcodes is an efficient measure to identify plant species and could be applied to estimate bee pollen resources [24,25,29]. Using a scanning electron microscope to analyze the characteristics of pollen is a traditional method to identify species in taxonomy. However, this approach is time consuming and experience is required. Identifying species by DNA barcodes is simple to operate and highly efficiency.
One of the most crucial functions of insect pollinators for plants is helping to pollinate and improve the quantity and quality of seeds and fruit. Seed evaluation, including the measurement of seed number and weight, is important to assess pollination efficiency. In our study, both the number and weight of P. lactiflora seeds were significantly increased after being pollinated by A. mellifera. Overall, our results suggest that A. mellifera can effectively pollinate P. lactiflora.

5. Conclusions

The herbaceous peony is of considerable ornamental and nutritional value and has been identified as a novel resource for high-quality edible oil. However, this is limited by the low seed yield. Based on our results, A. mellifera can effectively pollinate P. lactiflora flowers, resulting in a high seed yield. Therefore, A. mellifera could be a good candidate pollinator for P. lactiflora and could be applied in the field.

Supplementary Materials

The following supporting information can be downloaded at: https://www.mdpi.com/article/10.3390/app13021179/s1, Figure S1: Distribution of P. lactiflora plants in the field.

Author Contributions

Conceptualization, L.T., J.R., N.D., X.F. and X.X.; methodology, L.T., X.H. and R.L.; software, L.T., J.R. and S.W.; validation L.T. and X.X.; formal analysis, L.T. and S.W.; investigation, L.T. and J.R.; writing—original draft preparation, L.T.; writing—review and editing, L.T. and X.X.; funding acquisition, X.X. All authors have read and agreed to the published version of the manuscript.

Funding

This work was supported by the following grants: the Science and technology basic resources investigation special project (2018FY100403), the Beijing Agricultural Science and Technology Project (20200128), and the Beijing Science and Technology Project (Z181100009818022).

Institutional Review Board Statement

Not applicable.

Data Availability Statement

The data presented in this study are available in article.

Conflicts of Interest

The authors declare no conflict of interest.

Sample Availability

The samples in this study are available from the authors.

References

  1. He, D.Y.; Dai, S.M. Anti-inflammatory and immunomodulatory effects of Paeonia lactiflora Pall., a traditional Chinese herbal medicine. Front. Pharmacol. 2011, 2, 10. [Google Scholar] [CrossRef] [PubMed]
  2. Wister, J.C.; Wolfe, H.E. Histories of the herbaceous peonies. In The Peonies; Wister, J.C., Ed.; American Horticultural Society: Washington, DC, USA, 1962; pp. 33–61. [Google Scholar]
  3. Walton, E.F.; Boldingh, H.L.; McLaren, G.F.; Williams, M.H.; Jackman, R. The dynamics of starch and sugar utilisation in cut peony (Paeonia lactiflora Pall.) stems during storage and vase life. Postharvest Biol. Technol. 2010, 58, 142–146. [Google Scholar] [CrossRef]
  4. Qin, K.J. Peony (Paeonia lactiflora Pall.); China Forestry Publishing House: Beijing, China, 2004. (In Chinese) [Google Scholar]
  5. Sun, J.; Jiang, Y.; Tao, J. Advances in edible research of Paeonia suffruticosa Andr. and Paeonia lactiflora Pall. Jiangsu Agr. Sci. 2018, 46, 10–14. (In Chinese) [Google Scholar]
  6. Ning, C.; Jiang, Y.; Meng, J.; Zhou, C.; Tao, J. Herbaceous peony seed oil: A rich source of unsaturated fatty acids and γ-tocopherol. Eur. J. Lipid Sci. Technol. 2015, 117, 532–542. [Google Scholar] [CrossRef]
  7. Tan, Z.Z.; Wang, Y.; Li, Y. Oil content and fatty acid composition of Paeonia lactiflora seeds. For. Res. 2018, 31, 45–50. (In Chinese) [Google Scholar]
  8. Rizos, E.C.; Ntzani, E.E.; Bika, E.; Kostapanos, M.S.; Elisaf, M.S. Association between omega-3 fatty acid supplementation and risk of major cardiovascular disease events: A systematic review and meta-analysis. JAMA 2012, 308, 1024–1033. [Google Scholar] [CrossRef] [PubMed]
  9. Mozaffarian, D.; Micha, R.; Wallace, S. Effects on coronary heart disease of increasing polyunsaturated fat in place of saturated fat: A systematic review and meta-analysis of randomized controlled trials. PLoS Med. 2010, 7, e1000252. [Google Scholar] [CrossRef]
  10. Wu, H.M.; He, Y.P.; Fei, S.M.; Chen, X.M.; Wang, L.H.; Jiang, J.M. Research on the reproductive system of oil-used peony sect of Paeonia L. J. Sichuan For. Sci. Technol. 2015, 36, 1–17. (In Chinese) [Google Scholar]
  11. Brittain, C.; Kremen, C.; Garber, A.; Klein, A.M. Pollination and plant resources change the nutritional quality of almonds for human health. PLoS ONE 2014, 9, e90082. [Google Scholar] [CrossRef]
  12. Garibaldi, L.A.; Carvalheiro, L.G.; Vaissière, B.E.; Gemmill-Herren, B.; Hipólito, J.; Freitas, B.M.; Ngo, H.T.; Azzu, N.; Sáez, A.; Åström, J.; et al. Mutually beneficial pollinator diversity and crop yield outcomes in small and large farms. Science 2016, 351, 388–391. [Google Scholar] [CrossRef]
  13. Potts, S.G.; Imperatriz-Fonseca, V.; Ngo, H.T.; Aizen, M.A.; Biesmeijer, J.C.; Breeze, T.D.; Dicks, L.V.; Garibaldi, L.A.; Hill, R.; Settele, J.; et al. Safeguarding pollinators and their values to human well-being. Nature 2016, 540, 220–229. [Google Scholar] [CrossRef] [PubMed]
  14. Velthuis, H.; van Doorn, A. A century of advances in bumblebee domestication and the economic and environmental aspects of its commercialization for pollination. Apidologie 2006, 37, 421–451. [Google Scholar] [CrossRef]
  15. Free, J.B. Insect Pollination of Crops; Academic Press: Cambridge, MA, USA, 1993. [Google Scholar]
  16. Adlerz, W.C. Honey bee visit numbers and watermelon pollination. J. Econ. Entomol. 1966, 59, 28–30. [Google Scholar] [CrossRef]
  17. Greenleaf, S.S.; Kremen, C. Wild bees enhance honey bees pollination of hybrid sunflower. Proc. Natl. Acad. Sci. USA 2006, 103, 13890–13895. [Google Scholar] [CrossRef] [PubMed]
  18. Motzke, I.; Tscharntke, T.; Wanger, T.C.; Klein, A.M. Pollination mitigates cucumber yield gaps more than pesticide and fertilizer use in tropical smallholder gardens. J. Appl. Ecol. 2015, 52, 261–269. [Google Scholar] [CrossRef]
  19. Silva, C.A.; Godoy, W.A.; Jacob, C.R.; Thomas, G.; Câmara, G.M.; Alves, D.A. Bee pollination highly improves oil quality in sunflower. Sociobiology 2018, 65, 583–590. [Google Scholar] [CrossRef]
  20. Eeraerts, M.; Smagghe, G.; Meeus, I. Bumble bee abundance and richness improves honey bee pollination behaviour in sweet cherry. Basic Appl. Ecol. 2020, 43, 27–33. [Google Scholar] [CrossRef]
  21. Luo, W.H.; Ji, C.H.; Liu, J.L.; Cao, L.; Wang, R.S.; Cheng, S.; Gao, L.J. Study on foraging behavior and effect of pollinations by different bees on Citrus maxima (Burm) Merr. cv. Huangsha Yu. Southwest China J. Agr. Sci. 2019, 32, 1360–1365. (In Chinese) [Google Scholar]
  22. Luo, C.W.; Chen, Y.; Zhang, T. Pollination efficiency of the major pollinators of Paeonia ostia ‘Feng Dan’. J. Nanjing For. Univ. (Nat. Sci. Ed.) 2019, 43, 148–154. (In Chinese) [Google Scholar]
  23. Du, L.J.; Song, L.W.; Zuo, T.T. Species and morphological characteristics of Paeonia Iactiflora flower-visiting insects from ecological garden. J. Jilin For. Sci. Technol. 2019, 48, 31–35. (In Chinese) [Google Scholar]
  24. Lang, D.; Tang, M.; Hu, J.; Zhou, X. Genome-skimming provides accurate quantification for pollen mixtures. Mol. Ecol. Resour. 2019, 19, 1433–1446. [Google Scholar] [CrossRef] [PubMed]
  25. Hebert, P.D.N.; Penton, E.H.; Burns, J.M.; Janzen, D.H.; Hallwachs, W. Ten species in one: DNA barcoding reveals cryptic species in the neotropical skipper butterfly Astraptes fulgerator. Proc. Natl. Acad. Sci. USA 2004, 101, 14812–14817. [Google Scholar] [CrossRef] [PubMed]
  26. Kress, W.J.; Wurdack, K.J.; Zimmer, E.A.; Weigt, L.A.; Janzen, D.H. Use of DNA barcodes to identify flowering plants. Proc. Natl. Acad. Sci. USA 2005, 102, 8369–8374. [Google Scholar] [CrossRef] [PubMed]
  27. Salazar, G.A.; Chase, M.W.; Arenas, M.A.S.; Ingrouille, M. Phylogenetics of Cranichideae with emphasis on Spiranthinae (Orchidaceae, Orchidoideae): Evidence from plastid and nuclear DNA sequences. Am. J. Bot. 2003, 90, 777–795. [Google Scholar] [CrossRef] [PubMed]
  28. Kress, W.J.; Erickson, D.L. A two-locus global DNA barcode for land plants: The coding rbcL gene complements the non-coding trnH-psbA spacer region. PLoS ONE 2007, 2, e508. [Google Scholar] [CrossRef] [PubMed]
  29. Chase, M.W.; Soltis, D.E.; Olmstead, R.G.; Morgan, D.; Les, D.H.; Mishler, B.D.; Duvall, M.R.; Price, R.A.; Hills, H.G.; Qiu, Y.; et al. Phylogenetics of seed plants: An analysis of nucleotide sequences from the plastid gene rbcL. Ann. Mo. Bot. Gard. 1993, 80, 528–580. [Google Scholar] [CrossRef]
  30. Arbuckle, J.L. IBM SPSS Amos 19 User’s Guide; Amos Development Corporation: Crawfordville, FL, USA, 2010; p. 635. [Google Scholar]
  31. Tian, L.X.; Wang, S.; Fang, X.H.; Xu, X.L. Applications and challenges of bee pollination in facility agriculture. J. Environ. Entomol. 2022, 44, 1143–1153. (In Chinese) [Google Scholar]
  32. Stevenson, P.C.; Nicolson, S.W.; Wright, G.A. Plant secondary metabolites in nectar: Impacts on pollinators and ecological functions. Funct. Ecol. 2017, 31, 65–75. [Google Scholar] [CrossRef]
  33. Knauer, A.C.; Schiestl, F.P. Bees use honest floral signals as indicators of reward when visiting flowers. Ecol. Lett. 2015, 18, 135–143. [Google Scholar] [CrossRef]
  34. Haber, A.I.; Sims, J.W.; Mescher, M.C.; Moraes, C.M.D.; Carr, D.E. A key floral scent component (β-trans-bergamotene) drives pollinator preferences independently of pollen rewards in seep monkeyflower. Funct. Ecol. 2018, 33, 218–228. [Google Scholar] [CrossRef]
Disclaimer/Publisher’s Note: The statements, opinions and data contained in all publications are solely those of the individual author(s) and contributor(s) and not of MDPI and/or the editor(s). MDPI and/or the editor(s) disclaim responsibility for any injury to people or property resulting from any ideas, methods, instructions or products referred to in the content.

Article Metrics

Citations

Article Access Statistics

Multiple requests from the same IP address are counted as one view.