Spacecraft Attitude Stabilization Control with Fault-Tolerant Capability via a Mixed Learning Algorithm
Abstract
:1. Introduction
- (1)
- To accurately reconstruct bias actuator faults, we develop a novel mixed learning algorithm by synthesizing the iterative learning algorithm [27] and repetitive learning algorithm [28]. The proposed mixed learning algorithm inherits the advantages of both learning algorithms and can smooth the reconstruction signal, especially when an abrupt disturbance or noise exists.
- (2)
- Based on the mixed learning algorithm, a novel MLO is proposed such that it can both estimate attitude angular velocity and reconstruct bias torque resulting from actuator faults, robustly and accurately. Compared with existing work [29,30], it is more convenient for observer gain parameters to be computed.
- (3)
- To guarantee the robust and accurate attitude stabilization, a mixed learning sliding mode control (MLSMC)-based spacecraft active attitude fault-tolerant controller is designed by combining the proposed mixed learning algorithm and the SMC methodology. In the proposed MLSMC scheme, the mixed learning algorithm is first employed to update online and compensate for the jointed disturbance. Compared with the existing SMC [31], the proposed MLSMC approach has the ability to achieve higher attitude stabilization accuracy due to the mixed learning algorithm.
2. Spacecraft Modeling and Problem Formulation
Spacecraft Attitude Control Modeling
3. Mixed Learning Observer-Based Actuator Fault Reconstruction
3.1. Novel Mixed Learning Observer Construction
3.2. Stability Analysis of the Mixed Learning Observer
- Step 1 Choose a sufficiently small positive scalar , then compute .
- Step 2 Choose an appropriate matrix and positive scalar , then compute gain matrix based on (12).
- Step 3 Calculate gain matrix according to (11).
- Step 4 Choose an appropriate scalar and compute parameter using (13).
- Step 5 Calculate parameter to satisfy (14).
- Step 6 Compute according to (15).
4. MLO-Based Spacecraft Attitude Fault-Tolerant Stabilization Control
4.1. Design of a Mixed Learning Sliding-Mode Controller
4.2. Stability Analysis of the Mixed Learning Sliding-Mode Controller
- Step 1 Compute to satisfy condition (33).
- Step 2 Choose a sufficiently small positive scalar , then compute .
- Step 3 Choose a positive scalar and compute based on (34).
- Step 4 Choose an appropriate scalar and compute parameter using (35).
- Step 5 Choose an appropriate scalar and compute parameter using (36).
- Step 6 Choose appropriate positive scalars , , and .
5. Simulation Studies
5.1. Simulation Inputs
- Constant fault
- Time-varying fault.
5.2. Simulation on MLO-Based Actuator Fault Reconstruction
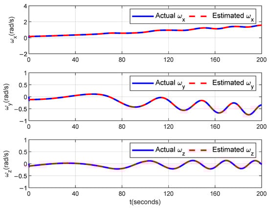
5.3. Simulation of MLSMC-Based Satellite Attitude Fault-Tolerant Stabilization Control
6. Conclusions
Author Contributions
Funding
Institutional Review Board Statement
Informed Consent Statement
Data Availability Statement
Conflicts of Interest
References
- Henna, H.; Toubakh, H.; Kafi, M.R.; Sayed-Mouchaweh, M. Towards fault-tolerant strategy in satellite attitude control systems: A review. In Proceedings of the Annual Conference of the PHM Society, Virtual, 9–13 November 2020; Volume 12. [Google Scholar]
- Maksim, S.; Sergey, T.; Mikhail, O. Survey of machine learning techniques in spacecraft control design. Acta Astronaut. 2021, 186, 87–97. [Google Scholar]
- Tipaldi, M.; Iervolino, R.; Massenio, P.R. Reinforcement learning in spacecraft control applications: Advances, prospects, and challenges. Annu. Rev. Control 2022, 54, 1–23. [Google Scholar] [CrossRef]
- Yin, S.; Xiao, B.; Ding, S.X.; Zhou, D.H. A review on recent development of spacecraft attitude fault tolerant control system. IEEE Trans. Ind. Electron. 2016, 63, 3311–3320. [Google Scholar] [CrossRef]
- Hasan, M.N.; Haris, M.; Qin, S. Fault-tolerant spacecraft attitude control: A critical assessment. Prog. Aerosp. Sci. 2022, 130, 100806. [Google Scholar] [CrossRef]
- Zhang, Y.M.; Jiang, J. Bibliographical review on reconfigurable fault-tolerant control systems. Annu. Rev. Control 2008, 32, 229–252. [Google Scholar] [CrossRef]
- Jia, Q.X.; Chen, W.; Zhang, Y.C.; Li, H.Y. Integrated design of fault reconstruction and fault-tolerant control against actuator faults using learning observers. Int. J. Syst. Sci. 2016, 47, 3749–3761. [Google Scholar] [CrossRef]
- Avram, R.C.; Zhang, X.; Muse, J. Nonlinear adaptive fault tolerant quadrotor altitude and attitude tracking with multiple actuator faults. IEEE Trans. Control Syst. Technol. 2018, 26, 701–707. [Google Scholar] [CrossRef]
- Shen, Q.; Yue, C.F.; Goh, C.H. Fault modeling, estimation, and fault-tolerant steering logic design for single-gimbal control moment gyro. IEEE Trans. Control Syst. Technol. 2021, 29, 428–435. [Google Scholar] [CrossRef]
- Hu, H.; Liu, L.; Wang, Y.J.; Cheng, Z.T.; Luo, Q.Q. Active fault-tolerant attitude tracking control with adaptive gain for spacecrafts. Aerosp. Sci. Technol. 2020, 98, 105706. [Google Scholar] [CrossRef]
- Zhang, X.B.; Zhou, Z.P. Integrated fault estimation and fault tolerant attitude control for rigid spacecraft with multiple actuator faults and saturation. IET Control Theory Appl. 2019, 13, 2365–2375. [Google Scholar] [CrossRef]
- Amrr, S.M.; Nabi, M. Finite-time fault tolerant attitude tracking control of spacecraft using robust nonlinear disturbance observer with anti-unwinding approach. Adv. Space Res. 2020, 66, 1659–1671. [Google Scholar] [CrossRef]
- Gao, Z.F.; Cheng, P.; Qian, M.S.; Jiang, G.P.; Lin, J.X. Active fault-tolerant control approach design for rigid spacecraft with multiple actuator faults. Proc. Inst. Mech. Eng. Part J. Syst. Control Eng. 2018, 232, 1365–1378. [Google Scholar] [CrossRef]
- Zhang, C.X.; Dai, M.Z.; Wu, J.; Xiao, B.; Li, B.; Wang, M.J. Neural-networks and event-based fault-tolerant control for spacecraft attitude stabilization. Aerosp. Sci. Technol. 2021, 114, 106746. [Google Scholar] [CrossRef]
- Lu, K.; Li, T.; Zhang, L. Active attitude fault-tolerant tracking control of flexible spacecraft via the chebyshev neural network. Trans. Inst. Meas. Control 2019, 41, 925–933. [Google Scholar] [CrossRef]
- Sanwale, J.; Salahudden, S.; Giri, D.K. Neuro-adaptive fault-tolerant sliding mode controller for spacecraft attitude stabilization. J. Spacecr. Rocket. 2021, 58, 1924–1929. [Google Scholar] [CrossRef]
- Chen, W.; Saif, M. Observer-based fault diagnosis of satellite system subject to time-varying thruster faults. J. Dyn. Syst. Meas. Control Trans. Asme 2007, 129, 352–356. [Google Scholar] [CrossRef]
- Wu, Q.; Saif, M. Repetitive learning observer based actuator fault detection, isolation, and estimation with application to a satellite attitude control system. In Proceedings of the 2007 American Control Conference, New York, NY, USA, 11–13 July 2007; pp. 414–419. [Google Scholar]
- Zhang, A.H.; Hu, Q.L.; Zhang, Y.M. Observer-based attitude control for satellite under actuator fault. J. Guid. Control Dyn. 2015, 38, 806–811. [Google Scholar] [CrossRef]
- Jia, Q.X.; Chen, W.; Zhang, Y.C.; Li, H.Y. Fault reconstruction for continuous-time systems via learning observers. Asian J. Control 2016, 18, 549–561. [Google Scholar] [CrossRef]
- Zhang, C.X.; Ahn, C.K.; Wu, J.; He, W. Online-learning control with weakened saturation response to attitude tracking: A variable learning intensity approach. Aerosp. Sci. Technol. 2021, 117, 9269438. [Google Scholar] [CrossRef]
- Zhu, X.Y.; Chen, J.L.; Zhu, Z.H. Adaptive learning observer for spacecraft attitude control with actuator fault. Aerosp. Sci. Technol. 2021, 108, 106389. [Google Scholar] [CrossRef]
- Jia, Q.X.; Zhang, C.X.; Li, H.Y.; Zhang, Y.C. A novel learning observer-based fault reconstruction for satellite actuators. Syst. Eng. Electron. 2019, 41, 2835–2841. [Google Scholar]
- Hu, Q.L.; Zhang, X.; Niu, G.L. Observer-based fault tolerant control and experimental verification for rigid spacecraft. Aerosp. Sci. Technol. 2019, 92, 373–386. [Google Scholar] [CrossRef]
- Cao, T.; Gong, H.; Cheng, P.; Xue, Y. A novel learning observer-based fault-tolerant attitude control for rigid spacecraft. Aerosp. Sci. Technol. 2022, 128, 107751. [Google Scholar] [CrossRef]
- Jia, Q.X.; Ma, R.; Zhang, C.X.; Varatharajoo, R. Spacecraft attitude fault-tolerant stabilization against loss of actuator effectiveness: A novel iterative learning sliding mode approach. Adv. Space Res. 2023, 72, 529–540. [Google Scholar] [CrossRef]
- Jia, Q.X.; Li, H.Y.; Chen, X.Q.; Zhang, Y.C. Observer-based reaction wheel fault reconstruction for spacecraft attitude control systems. Aircr. Eng. Aerosp. Technol. 2019, 91, 1268–1277. [Google Scholar] [CrossRef]
- Gao, Z.F.; Jiang, B.; Shi, P.; Xu, F.Y. Fault-tolerant control for a near space vehicle with a stuck actuator fault based on a Takagi-Sugeno fuzzy model. Proc. Inst. Mech. Eng. Part J. Syst. Control Eng. 2010, 224, 587–598. [Google Scholar] [CrossRef]
- Niu, G.; Hu, Q.; Guo, L. Iterative disturbance observer design for spacecraft fault-tolerant control with actuator failure. In Proceedings of the 2017 36th Chinese Control Conference (CCC), Dalian, China, 26–28 July 2017; pp. 9448–9453. [Google Scholar]
- Zhang, C.X.; Wu, J.; Ahn, C.K.; Fei, Z.Y.; Wei, C.S. Learning observer and performance tuning-based robust consensus policy for multiagent systems. IEEE Syst. J. 2022, 16, 431–439. [Google Scholar] [CrossRef]
- Zou, Y. Attitude tracking control for spacecraft with robust adaptive RBFNN augmenting sliding mode control. Aerosp. Sci. Technol. 2016, 56, 197–204. [Google Scholar] [CrossRef]
- Wie, B. Vehicle Dynamics and Control; AIAA: Reston, VA, USA, 2008. [Google Scholar]
- Hughes, P.C. Spacecraft Attitude Dynamics; Dover Publications: Mineola, NY, USA, 2004. [Google Scholar]
- Jia, Q.X.; Gao, J.N.; Zhang, C.X.; Zheng, Z. Robust relative orbit synchronization for spacecraft cluster: A distributed learning sliding mode control approach. Trans. Inst. Meas. Control 2023, 01423312231153675. [Google Scholar] [CrossRef]
- Zhang, C.X.; Ahn, C.K.; Wu, J.; He, W.; Jiang, Y.; Liu, M. Robustification of learning observers to uncertainty identification via time-varying learning intensity. IEEE Trans. Circuits Syst. II Express Briefs 2022, 69, 1292–1296. [Google Scholar] [CrossRef]
- Chen, Q.; Xie, S.; Sun, M.; He, X. Adaptive nonsingular fixed-time attitude stabilization of uncertain spacecraft. IEEE Trans. Aerosp. Electron. Syst. 2018, 54, 2937–2950. [Google Scholar] [CrossRef]










| Parameters | Value |
|---|---|
| Variables | |
| Gain matrices | |
| Scalars |
| Parameters | Value |
|---|---|
| Middle variables | |
| Gain matrices | |
| Parameter scalars |
| Error Term | MLSMC | SMC [31] |
|---|---|---|
| Error Term | MLSMC | SMC [31] |
|---|---|---|
Disclaimer/Publisher’s Note: The statements, opinions and data contained in all publications are solely those of the individual author(s) and contributor(s) and not of MDPI and/or the editor(s). MDPI and/or the editor(s) disclaim responsibility for any injury to people or property resulting from any ideas, methods, instructions or products referred to in the content. |
© 2023 by the authors. Licensee MDPI, Basel, Switzerland. This article is an open access article distributed under the terms and conditions of the Creative Commons Attribution (CC BY) license (https://creativecommons.org/licenses/by/4.0/).
Share and Cite
Wang, J.; Jia, Q.; Yu, D. Spacecraft Attitude Stabilization Control with Fault-Tolerant Capability via a Mixed Learning Algorithm. Appl. Sci. 2023, 13, 9415. https://doi.org/10.3390/app13169415
Wang J, Jia Q, Yu D. Spacecraft Attitude Stabilization Control with Fault-Tolerant Capability via a Mixed Learning Algorithm. Applied Sciences. 2023; 13(16):9415. https://doi.org/10.3390/app13169415
Chicago/Turabian StyleWang, Jihe, Qingxian Jia, and Dan Yu. 2023. "Spacecraft Attitude Stabilization Control with Fault-Tolerant Capability via a Mixed Learning Algorithm" Applied Sciences 13, no. 16: 9415. https://doi.org/10.3390/app13169415
APA StyleWang, J., Jia, Q., & Yu, D. (2023). Spacecraft Attitude Stabilization Control with Fault-Tolerant Capability via a Mixed Learning Algorithm. Applied Sciences, 13(16), 9415. https://doi.org/10.3390/app13169415

