Noise Reduction Based on Improved Variational Mode Decomposition for Acoustic Emission Signal of Coal Failure
Abstract
Featured Application
Abstract
1. Introduction
2. Basic Theory
2.1. Variational Mode Decomposition
2.2. Introduction of Fuzzy Entropy
3. FCI-VMD Method Based on BAS
3.1. Weighted Frequency Index
3.2. Beetle Antennae Search
3.3. Proposed Method
- (1)
- Set the VMD initial parameters of the original signal, , and set the initial parameters of BAS, such as the range of parameter k, number of iterations, and iteration step size.
- (2)
- Decompose the AE signal using VMD, and calculate the and of all modes.
- (3)
- Determine if an iteration termination condition is reached: If , then k = k + 1, and continue the iteration; else, k = k − 1, and stop the iteration.
- (4)
- Decompose the signal again with the optimized parameters.
- (5)
- Determine the antennae for the decomposed signal by calculating the fuzzy entropy; then, reconstruct the effective signal.
4. Analysis of the Simulation Signal
4.1. Results of Simulation Signal Decomposition
4.2. Signal-to-Noise Separation with Fuzzy Entropy
4.3. Evaluation Indicators
5. Experiments
5.1. Uniaxial Compression Test
5.2. AE Signal Noise Reduction
5.3. Time–Frequency Feature Extraction of the AE Signal
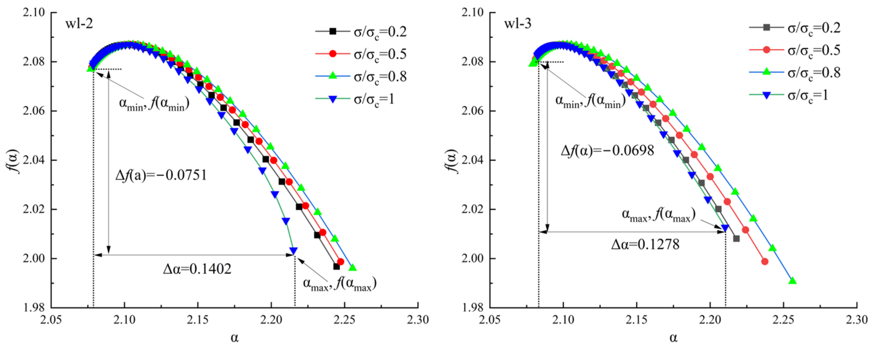
5.4. AE Multifractal Spectrum
6. Conclusions
- A weighted frequency index is proposed as the objective function to optimize VMD decomposition level k. The BAS algorithm is used to automatically search for the objective function and obtain the effective signal components. The results show that the proposed method can effectively avoid the mode mixing issues and overcome the need to determine the k value beforehand when employing VMD for AE signal decomposition.
- In comparison to EMD and EVMD, FCI-VMD proves more suitable for AE signal denoising. By utilizing fuzzy entropy as the basis for selecting the noise components in the four stress stages, the method avoids the poor noise reduction effect caused by filtering out only the components with more noise content.
- The multifractal parameter, Δα, exhibits a sharp decrease as coal damage occurs, aligning with the evolution pattern of the AE main frequency. Consequently, Δα can be employed as a quantitative analysis parameter for AE spectra. Moreover, Δα can serve as an early warning indicator for coal damage and instability.
Author Contributions
Funding
Institutional Review Board Statement
Informed Consent Statement
Data Availability Statement
Acknowledgments
Conflicts of Interest
References
- Lockner, D. The Role of Acoustic Emission in the Study of Rock Fracture. Int. J. Rock Mech. Min. Sci. Geomech. Abstr. 1993, 30, 883–899. [Google Scholar] [CrossRef]
- Birck, G.; Iturrioz, I.; Lacidogna, G.; Carpinteri, A. Damage Process in Heterogeneous Materials Analyzed by a Lattice Model Simulation. Eng. Fail. Anal. 2016, 70, 157–176. [Google Scholar] [CrossRef]
- Vishal, V.; Ranjith, P.G.; Singh, T.N. An Experimental Investigation on Behaviour of Coal under Fluid Saturation, Using Acoustic Emission. J. Nat. Gas Sci. Eng. 2015, 22, 428–436. [Google Scholar] [CrossRef]
- Iturrioz, I.; Lacidogna, G.; Carpinteri, A. Experimental Analysis and Truss-like Discrete Element Model Simulation of Concrete Specimens under Uniaxial Compression. Eng. Fract. Mech. 2013, 110, 81–98. [Google Scholar] [CrossRef]
- Muir, C.; Swaminathan, B.; Almansour, A.S.; Sevener, K.; Smith, C.; Presby, M.; Kiser, J.D.; Pollock, T.M.; Daly, S. Damage Mechanism Identification in Composites via Machine Learning and Acoustic Emission. NPJ Comput. Mater. 2021, 7, 1–15. [Google Scholar] [CrossRef]
- Shahidan, S.; Pulin, R.; Muhamad Bunnori, N.; Holford, K.M. Damage Classification in Reinforced Concrete Beam by Acoustic Emission Signal Analysis. Constr. Build. Mater. 2013, 45, 78–86. [Google Scholar] [CrossRef]
- Kourkoulis, S.K.; Pasiou, E.D.; Loukidis, A.; Stavrakas, I.; Triantis, D. Comparative Assessment of Criticality Indices Extracted from Acoustic and Electrical Signals Detected in Marble Specimens. Infrastructures 2022, 7, 15. [Google Scholar] [CrossRef]
- Meng, Q.; Zhang, M.; Han, L.; Pu, H.; Chen, Y. Acoustic Emission Characteristics of Red Sandstone Specimens Under Uniaxial Cyclic Loading and Unloading Compression. Rock Mech. Rock Eng. 2018, 51, 969–988. [Google Scholar] [CrossRef]
- Pandya, D.H.; Upadhyay, S.H.; Harsha, S.P. Fault Diagnosis of Rolling Element Bearing with Intrinsic Mode Function of Acoustic Emission Data Using APF-KNN. Expert Syst. Appl. 2013, 40, 4137–4145. [Google Scholar] [CrossRef]
- Brigham, E.O.; Morrow, R.E. The Fast Fourier Transform. IEEE Spectr. 1967, 4, 63–70. [Google Scholar] [CrossRef]
- Starck, J.; Fadili, J.; Murtagh, F. The Undecimated Wavelet Decomposition and Its Reconstruction. IEEE Trans. Image Process. 2007, 16, 297–309. [Google Scholar] [CrossRef] [PubMed]
- Cao, H.; Lei, Y.; He, Z. Chatter Identification in End Milling Process Using Wavelet Packets and Hilbert-Huang Transform. Int. J. Mach. Tools Manuf. 2013, 69, 11–19. [Google Scholar] [CrossRef]
- Huang, N.E.; Shen, Z.; Long, S.R.; Wu, M.C.; Snin, H.H.; Zheng, Q.; Yen, N.C.; Tung, C.C.; Liu, H.H. The Empirical Mode Decomposition and the Hubert Spectrum for Nonlinear and Non-Stationary Time Series Analysis. Proc. R. Soc. A Math. Phys. Eng. Sci. 1998, 454, 903–995. [Google Scholar] [CrossRef]
- Jiang, R.; Wei, M. An Improved Method of Local Mean Decomposition with Adaptive Noise and Its Application to Microseismic Signal Processing in Rock Engineering. Bull. Eng. Geol. Environ. 2021, 80, 6877–6895. [Google Scholar] [CrossRef]
- Arts, L.P.; van den Broek, E.L. The Fast Continuous Wavelet Transformation (FCWT) for Real-Time, High-Quality, Noise-Resistant Time–Frequency Analysis. Nat. Comput. Sci. 2022, 2, 47–58. [Google Scholar] [CrossRef]
- Wang, T.; Zhang, M.; Yu, Q.; Zhang, H. Comparing the Applications of EMD and EEMD on Time-Frequency Analysis of Seismic Signal. J. Appl. Geophys. 2012, 83, 29–34. [Google Scholar] [CrossRef]
- Dragomiretskiy, K.; Zosso, D. Variational Mode Decomposition. IEEE Trans. Signal Process. 2014, 62, 531–544. [Google Scholar] [CrossRef]
- An, X.; Yang, J. Denoising of Hydropower Unit Vibration Signal Based on Variational Mode Decomposition and Approximate Entropy. Trans. Inst. Meas. Control 2015, 38, 282–292. [Google Scholar] [CrossRef]
- Pincus, S.M. Approximate Entropy as a Measure of System Complexity. Proc. Natl. Acad. Sci. USA 1991, 88, 2297–2301. [Google Scholar] [CrossRef]
- Yang, W.; Peng, Z.; Wei, K.; Shi, P.; Tian, W. Superiorities of Variational Mode Decomposition over Empirical Mode Decomposition Particularly in Time-Frequency Feature Extraction and Wind Turbine Condition Monitoring. IET Renew. Power Gener. 2017, 11, 443–452. [Google Scholar] [CrossRef]
- Zhang, M.; Jiang, Z.; Feng, K. Research on Variational Mode Decomposition in Rolling Bearings Fault Diagnosis of the Multistage Centrifugal Pump. Mech. Syst. Signal Process. 2017, 93, 460–493. [Google Scholar] [CrossRef]
- Zhang, X.L.; Jia, R.S.; Lu, X.M.; Peng, Y.J.; Zhao, W.D. Identification of Blasting Vibration and Coal-Rock Fracturing Microseismic Signals. Appl. Geophys. 2018, 15, 280–289. [Google Scholar] [CrossRef]
- Xue, Y.J.; Cao, J.X.; Wang, D.X.; Du, H.K.; Yao, Y. Application of the Variational-Mode Decomposition for Seismic Time-Frequency Analysis. IEEE J. Sel. Top. Appl. Earth Obs. Remote Sens. 2016, 9, 3821–3831. [Google Scholar] [CrossRef]
- Yang, H.; Liu, S.; Zhang, H. Adaptive Estimation of VMD Modes Number Based on Cross Correlation Coefficient. J. Vibroeng. 2017, 19, 1185–1196. [Google Scholar] [CrossRef]
- Sun, H.; Fang, L.; Guo, J.; Wu, J.; Bai, M.; Qiao, Z.; Pan, Z. SVD Principle Analysis and Fault Diagnosis for Bearings Based on the Correlation Coefficient. Meas. Sci. Technol. 2015, 26, 085014. [Google Scholar] [CrossRef]
- Liu, Z.; He, Z.; Guo, W.; Tang, Z. A Hybrid Fault Diagnosis Method Based on Second Generation Wavelet De-Noising and Local Mean Decomposition for Rotating Machinery. ISA Trans. 2016, 61, 211–220. [Google Scholar] [CrossRef]
- Antoni, J. Fast Computation of the Kurtogram for the Detection of Transient Faults. Mech. Syst. Signal Process. 2007, 21, 108–124. [Google Scholar] [CrossRef]
- Wang, D.; Tse, P.W.; Tsui, K.L. An Enhanced Kurtogram Method for Fault Diagnosis of Rolling Element Bearings. Mech. Syst. Signal Process. 2013, 35, 176–199. [Google Scholar] [CrossRef]
- Zhang, L.; Xiong, G.; Liu, H.; Zou, H.; Guo, W. Bearing Fault Diagnosis Using Multi-Scale Entropy and Adaptive Neuro-Fuzzy Inference. Expert Syst. Appl. 2010, 37, 6077–6085. [Google Scholar] [CrossRef]
- Jiang, X.; Li, S. BAS: Beetle Antennae Search Algorithm for Optimization Problems. Int. J. Robot. Control 2017, 1, 1. [Google Scholar] [CrossRef]
- Eberhart, R.; Kennedy, J. A New Optimizer Using Particle Swarm Theory. Proc. Int. Symp. Micro Mach. Hum. Sci. 2002, 2022, 39–43. [Google Scholar] [CrossRef]
- Chen, W.; Wang, Z.; Xie, H.; Yu, W. Characterization of Surface EMG Signal Based on Fuzzy Entropy. IEEE Trans. Neural Syst. Rehabil. Eng. 2007, 15, 266–272. [Google Scholar] [CrossRef] [PubMed]
- He, S.; Sun, K.; Wang, R. Fractional Fuzzy Entropy Algorithm and the Complexity Analysis for Nonlinear Time Series. Eur. Phys. J. Spec. Top. 2018, 227, 943–957. [Google Scholar] [CrossRef]
- Mitraković, D.; Grabec, I.; Sedmak, S. Simulation of AE Signals and Signal Analysis Systems. Ultrasonics 1985, 23, 227–232. [Google Scholar] [CrossRef]
- Cohen, L.; Galleani, L.; Hedges, R.; Hughes, D.; Loughlin, P.; Suter, B. Time–Frequency Analysis of a Variable Stiffness Model for Fault Development. Digit. Signal Process. 2002, 12, 429–440. [Google Scholar] [CrossRef]
- Halsey, T.C.; Jensen, M.H.; Kadanoff, L.P.; Procaccia, I.; Shraiman, B.I. Fractal Measures and Their Singularities: The Characterization of Strange Sets. Nucl. Phys. B Proc. Suppl. 1987, 2, 501–511. [Google Scholar] [CrossRef]















| β | /ms | /kHz | ||
|---|---|---|---|---|
| 1 | 2 | 6 × 108 | 0.4 | 70 |
| 2 | 2 | 8 × 108 | 0.6 | 40 |
| 3 | 2 | 7 × 108 | 0.8 | 110 |
| Method | Metrics | Simulation AE Signal | ||
|---|---|---|---|---|
| SNR = 5 | SNR = 10 | SNR = 8 | ||
| EMD | ESN | 0.7423 | 0.6490 | 0.7423 |
| RMSE | 0.3254 | 0.2452 | 0.3154 | |
| EVMD | ESN | 0.9047 | 0.9309 | 0.9122 |
| RMSE | 0.0628 | 0.0942 | 0.0621 | |
| FCI-VMD | ESN | 0.9273 | 0.9456 | 0.9742 |
| RMSE | 0.0412 | 0.0878 | 0.0251 | |
| Number | Density (g/cm3) | P-Wave Velocity (m/s) | Uniaxial Compressive Strength (MPa) | Young’s Modulus (GPa) |
|---|---|---|---|---|
| wl-2 | 1.45 | 2023.79 | 12.15 | 2.59 |
| wl-3 | 1.37 | 2050.09 | 12.35 | 2.48 |
| wl-5 | 1.37 | 1550.46 | 9.7 | 2.12 |
| wl-6 | 1.32 | 1981.38 | 8.67 | 2.17 |
| wl-8 | 1.37 | 1532.41 | 6.25 | 1.26 |
| Sample | State | Characteristic Parameter of Multifractal Spectrum | |||||
|---|---|---|---|---|---|---|---|
| αmin | f (αmin) | αmax | f (αmax) | Δα | Δf | ||
| Wl-2 | 20% σc | 2.0795 | 2.0795 | 2.2445 | 1.9967 | 0.1650 | −0.0828 |
| 50% σc | 2.0778 | 2.0778 | 2.2473 | 1.9987 | 0.1695 | −0.0791 | |
| 80% σc | 2.0770 | 2.0770 | 2.2555 | 1.9960 | 0.1785 | −0.0810 | |
| 100% σc | 2.0786 | 2.0034 | 2.2188 | 1.9901 | 0.1402 | −0.0751 | |
| Wl-3 | 20% σc | 2.0823 | 2.0823 | 2.2179 | 2.0081 | 0.1356 | −0.0742 |
| 50% σc | 2.0809 | 2.0809 | 2.2373 | 1.9987 | 0.1564 | −0.0822 | |
| 80% σc | 2.0790 | 2.0790 | 2.2561 | 1.9907 | 0.1771 | −0.0883 | |
| 100% σc | 2.0824 | 2.0824 | 2.2102 | 2.0126 | 0.1278 | −0.0698 | |
Disclaimer/Publisher’s Note: The statements, opinions and data contained in all publications are solely those of the individual author(s) and contributor(s) and not of MDPI and/or the editor(s). MDPI and/or the editor(s) disclaim responsibility for any injury to people or property resulting from any ideas, methods, instructions or products referred to in the content. |
© 2023 by the authors. Licensee MDPI, Basel, Switzerland. This article is an open access article distributed under the terms and conditions of the Creative Commons Attribution (CC BY) license (https://creativecommons.org/licenses/by/4.0/).
Share and Cite
Jing, G.; Zhao, Y.; Gao, Y.; Marin Montanari, P.; Lacidogna, G. Noise Reduction Based on Improved Variational Mode Decomposition for Acoustic Emission Signal of Coal Failure. Appl. Sci. 2023, 13, 9140. https://doi.org/10.3390/app13169140
Jing G, Zhao Y, Gao Y, Marin Montanari P, Lacidogna G. Noise Reduction Based on Improved Variational Mode Decomposition for Acoustic Emission Signal of Coal Failure. Applied Sciences. 2023; 13(16):9140. https://doi.org/10.3390/app13169140
Chicago/Turabian StyleJing, Gang, Yixin Zhao, Yirui Gao, Pedro Marin Montanari, and Giuseppe Lacidogna. 2023. "Noise Reduction Based on Improved Variational Mode Decomposition for Acoustic Emission Signal of Coal Failure" Applied Sciences 13, no. 16: 9140. https://doi.org/10.3390/app13169140
APA StyleJing, G., Zhao, Y., Gao, Y., Marin Montanari, P., & Lacidogna, G. (2023). Noise Reduction Based on Improved Variational Mode Decomposition for Acoustic Emission Signal of Coal Failure. Applied Sciences, 13(16), 9140. https://doi.org/10.3390/app13169140

