Benefits of Auditory Training with an Open-Set Sentences-in-Babble-Noise
Abstract
Featured Application
Abstract
1. Introduction
2. Materials and Methods
2.1. Participants
2.2. Training
2.3. Speech Perception (Generalization)
2.4. Overall Design
3. Results
3.1. Spontaneous Learning
3.2. Training Duration
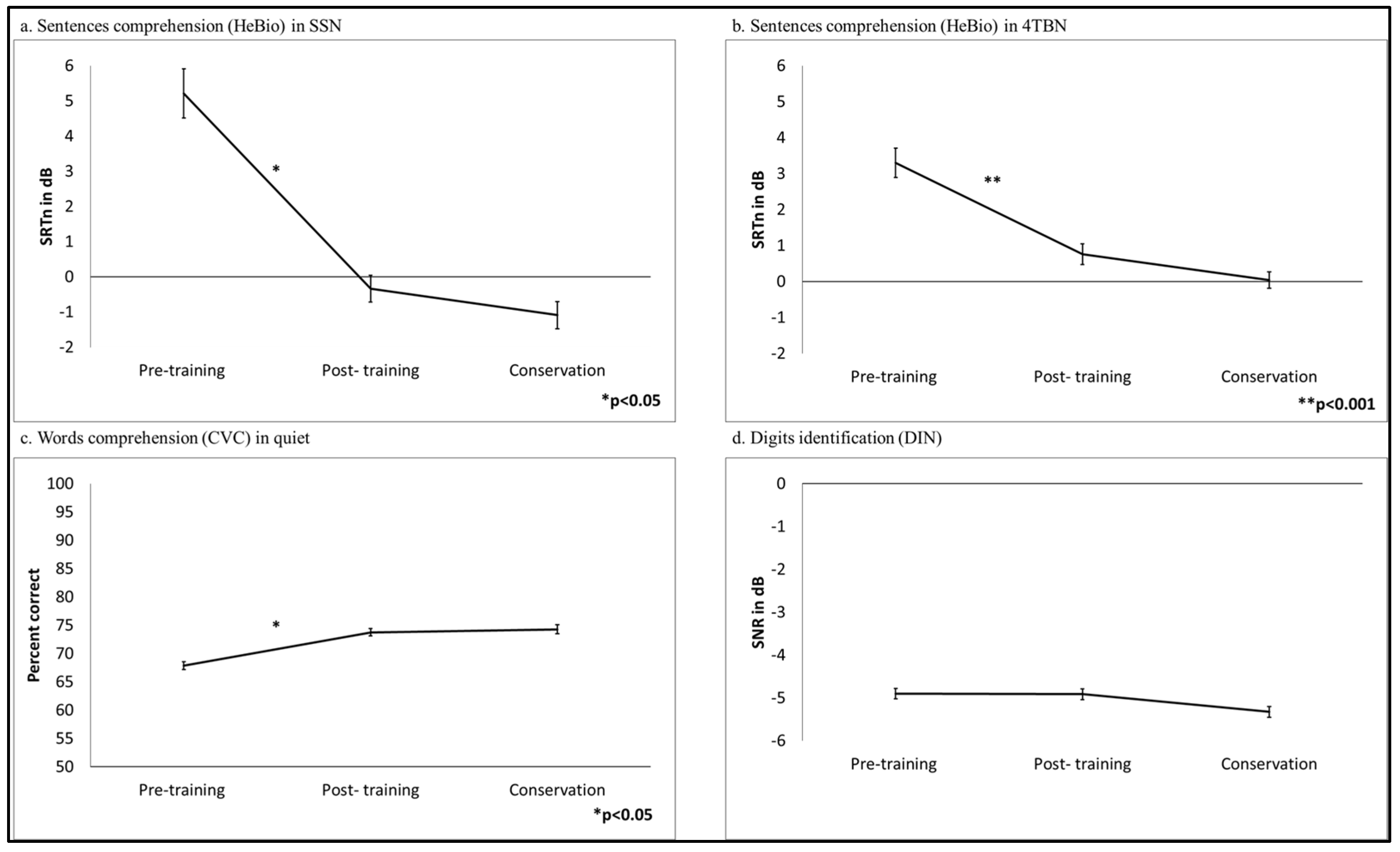
3.3. Training and Conservation Effects: Objective Tools
3.4. Training and Conservation Effects: Subjective Tools
3.5. Individualized Analysis
4. Discussion
Author Contributions
Funding
Institutional Review Board Statement
Informed Consent Statement
Data Availability Statement
Conflicts of Interest
References
- Boothroyd, A. Adapting to changed hearing: The potential role of formal training. J. Am. Acad. Audiol. 2010, 21, 601–611. [Google Scholar] [CrossRef] [PubMed]
- Reis, M.; Boisvert, I.; Beedell, E.; Mumford, V. Auditory training for adult cochlear implant users: A survey and cost analysis study. Ear Hear. 2019, 40, 1445–1456. [Google Scholar] [CrossRef] [PubMed]
- Humes, L.E.; Burk, M.H.; Strauser, L.E.; Kinney, D.L. Development and efficacy of a frequent-word auditory training protocol for older adults with impaired hearing. Ear Hear. 2009, 30, 613–627. [Google Scholar] [CrossRef] [PubMed]
- Barcroft, J.; Mauzé, E.; Schroy, C.; Tye-Murray, N.; Sommers, M.; Spehar, B. Improving the quality of auditory training by making tasks meaningful. Perspect. Audiol. 2011, 7, 15–28. [Google Scholar] [CrossRef]
- Morris, C.D.; Bransford, J.D.; Franks, J.J. Levels of processing versus transfer appropriate processing. J. Verbal Learn. Verbal Behav. 1977, 16, 519–533. [Google Scholar] [CrossRef]
- Tye-Murray, N.; Spehar, B.; Sommers, M.; Barcroft, J. Auditory Training with Frequent Communication Partners. J. Speech Lang. Hear. Res. 2016, 59, 871–875. [Google Scholar] [CrossRef]
- Sweetow, R.; Palmer, C.V. Efficacy of individual auditory training in adults: A systematic review of the evidence. J. Am. Acad. Audiol. 2005, 16, 494–504. [Google Scholar] [CrossRef]
- Lavie, L.; Attias, J.; Karni, A. Semi-structured listening experience (listening training) in hearing aid fitting: Influence on dichotic listening. Am. J. Audiol. 2013, 22, 347–350. [Google Scholar] [CrossRef]
- Lessa, A.H.; Hennig, T.R.; Costa, M.J.; Rossi, A.G. Results of auditory rehabilitation in elderly users of hearing aids evaluated by a dichotic test. CoDAS 2013, 25, 169–175. [Google Scholar] [CrossRef][Green Version]
- Morais, A.A.; Rocha-Muniz, C.N.; Schochat, E. Efficacy of auditory training in elderly subjects. Front. Aging Neurosci. 2015, 7, 78. [Google Scholar] [CrossRef][Green Version]
- Anderson, S.; White-Schwoch, T.; Choi, H.J.; Kraus, N. Training changes processing of speech cues in older adults with hearing loss. Front. Syst. Neurosci. 2013, 7, 97. [Google Scholar] [CrossRef]
- Anderson, S.; White-Schwoch, T.; Parbery-Clark, A.; Kraus, N. Reversal of age-related neural timing delays with training. Proc. Natl. Acad. Sci. USA 2013, 110, 4357–4362. [Google Scholar] [CrossRef] [PubMed]
- Stropahl, M.; Besser, J.; Launer, S. Auditory Training Supports Auditory Rehabilitation: A State-of-the-Art Review. Ear Hear. 2020, 41, 697–704. [Google Scholar] [CrossRef] [PubMed]
- Blamey, P.; Artieres, F.; Başkent, D.; Bergeron, F.; Beynon, A.; Burke, E.; Dillier, N.; Dowell, R.; Fraysse, B.; Gallégo, S.; et al. Factors affecting auditory performance of postlinguistically deaf adults using cochlear implants: An update with 2251 patients. Audiol. Neurotol. 2013, 18, 36–47. [Google Scholar] [CrossRef]
- Reis, M.; McMahon, C.M.; Távora-Vieira, D.; Humburg, P.; Boisvert, I. Effectiveness of computer-based auditory training for adult cochlear implant users: A randomized crossover study. Trends Hear. 2021, 25, 23312165211025938. [Google Scholar] [CrossRef] [PubMed]
- Krueger, B.; Joseph, G.; Rost, U.; Strauss-Schier, A.; Lenarz, T.; Buechner, A. Performance groups in adult cochlear implant users: Speech perception results from 1984 until today. Otol. Neurotol. 2008, 29, 509–512. [Google Scholar] [CrossRef] [PubMed]
- Nasreddine, Z.S.; Phillips, N.A.; Bédirian, V.; Charbonneau, S.; Whitehead, V.; Collin, I.; Cummings, J.L.; Chertkow, H. The Montreal Cognitive Assessment, MoCA: A brief screening tool for mild cognitive impairment. J. Am. Geriatr. Soc. 2005, 53, 695–699. [Google Scholar] [CrossRef]
- Taitelbaum-Swead, R.; Dahan, T.; Katzenel, U.; Dorman, M.F.; Litvak, L.M.; Fostick, L. AzBio sentence test in Hebrew (HeBio): Development, preliminary validation, and the effect of noise. Cochlear Implant. Int. 2022, 23, 270–279. [Google Scholar] [CrossRef]
- Spahr, A.J.; Dorman, M.F.; Litvak, L.M.; Van Wie, S.; Gifford, R.H.; Loizou, P.C.; Loiselle, L.M.; Oakes, T.; Cook, S. Development and validation of the AzBio sentence lists. Ear Hear. 2012, 33, 112–117. [Google Scholar] [CrossRef]
- Taitelbaum-Swead, R.; Fostick, L. The effect of age, type of noise, and cochlear implants on adaptive sentence in noise task. J. Clin. Med. 2022, 11, 5872. [Google Scholar] [CrossRef]
- Barda, A.; Shapira, Y.; Fostick, L. Individual differences in auditory training benefits. Clin. Pract. 2023. under review. [Google Scholar]
- Fostick, L.; Berlin, M.; Taitelbaum-Swead, R. Digit in noise test: Validation in Hebrew. In Proceedings of the 56 Annual Meeting of the Israeli Speech Hearing and Language Association, Tel-Aviv, Israel, 30 September–1 October 2020. [Google Scholar]
- Tye-Murray, N.; Sommers, M.S.; Mauzé, E.; Schroy, C.; Barcroft, J.; Spehar, B. Using patient perceptions of relative benefit and enjoyment to assess auditory training. J. Am. Acad. Audiol. 2012, 23, 623–634. [Google Scholar] [CrossRef]
- Boothroyd, A. Statistical theory of the speech discrimination score. J. Acoust. Soc. Am. 1968, 43, 362–367. [Google Scholar] [CrossRef] [PubMed]
- Smits, C.; Theo Goverts, S.; Festen, J.M. The digits-in-noise test: Assessing auditory speech recognition abilities in noise. J. Acoust. Soc. Am. 2013, 133, 1693–1706. [Google Scholar] [CrossRef] [PubMed]
- Burk, M.H.; Humes, L.E. Effects of long-term training on aided speech-recognition performance in noise in older adults. J. Speech Lang. Hear. Res. 2008, 51, 759–771. [Google Scholar] [CrossRef]
- Fu, Q.J.; Galvin, J.; Wang, X.; Nogaki, G. Effects of auditory training on adult cochlear implant patients: A preliminary report. Cochlear Implant. Int. 2004, 5 (Suppl. S1), 84–90. [Google Scholar] [CrossRef]
- Henshaw, H.; Ferguson, M. Assessing the benefits of auditory training to real-world listening: Identifying appropriate and sensitive outcomes. In Proceedings of the International Symposium on Auditory and Audiological Research, Nyborg, Denmark, 28–30 August 2013; Volume 4, pp. 45–52. Available online: https://proceedings.isaar.eu/index.php/isaarproc/article/view/2013-05 (accessed on 1 June 2023).
- Oba, S.I.; Fu, Q.J.; Galvin, J.J., 3rd. Digit training in noise can improve cochlear implant users’ speech understanding in noise. Ear Hear. 2011, 32, 573–581. [Google Scholar] [CrossRef]
- Pisoni, D.B.; Kronenberger, W.G.; Harris, M.S.; Moberly, A.C. Three challenges for future research on cochlear implants. World J. Otorhinolaryngol.-Head Neck Surg. 2017, 3, 240–254. [Google Scholar] [CrossRef]
- Schumann, A.; Serman, M.; Gefeller, O.; Hoppe, U. Computer-based auditory phoneme discrimination training improves speech recognition in noise in experienced adult cochlear implant listeners. Int. J. Audiol. 2015, 54, 190–198. [Google Scholar] [CrossRef]
- Bugannim, Y.; Roth, D.A.; Zechoval, D.; Kishon-Rabin, L. Training of Speech Perception in Noise in Pre-Lingual Hearing Impaired Adults With Cochlear Implants Compared With Normal Hearing Adults. Otol. Neurotol. 2019, 40, e316–e325. [Google Scholar] [CrossRef]
- Woods, D.L.; Doss, Z.; Herron, T.J.; Arbogast, T.; Younus, M.; Ettlinger, M.; Yund, E.W. Speech perception in older hearing impaired listeners: Benefits of perceptual training. PLoS ONE 2015, 10, e0113965. [Google Scholar] [CrossRef][Green Version]
- Zhang, L.; Schlaghecken, F.; Harte, J.; Roberts, K.L. The Influence of the Type of Background Noise on Perceptual Learning of Speech in Noise. Front. Neurosci. 2021, 15, 646137. [Google Scholar] [CrossRef] [PubMed]
- Tye-Murray, N.; Spehar, B.; Sommers, M.; Mauzé, E.; Barcroft, J.; Grantham, H. Teaching Children with Hearing Loss to Recognize Speech: Gains Made With Computer-Based Auditory and/or Speechreading Training. Ear Hear. 2022, 43, 181–191. [Google Scholar] [CrossRef] [PubMed]
- Tye-Murray, N.; Spehar, B.; Barcroft, J.; Sommers, M. Auditory training for adults who have hearing loss: A comparison of spaced versus massed practice schedules. J. Speech Lang. Hear. Res. 2017, 60, 2337–2345. [Google Scholar] [CrossRef] [PubMed]
- Koprowska, A.; Marozeau, J.; Dau, T.; Serman, M. The effect of phoneme-based auditory training on speech intelligibility in hearing-aid users. Int. J. Audiol. 2022. [Google Scholar] [CrossRef]
- Rajan, R.; Cainer, K.E. Ageing without hearing loss or cognitive impairment causes a decrease in speech intelligibility only in informational maskers. Neuroscience 2008, 154, 784–795. [Google Scholar] [CrossRef]
- Souza, P.; Gehani, N.; Wright, R.; McCloy, D. The advantage of knowing the talker. J. Am. Acad. Audiol. 2013, 24, 689–700. [Google Scholar] [CrossRef]
- Olson, A.D.; Preminger, J.E.; Shinn, J.B. The effect of LACE DVD training in new and experienced hearing aid users. J. Am. Acad. Audiol. 2013, 24, 214–230. [Google Scholar] [CrossRef]




| ID | Age (Years) | Gender | Duration of Hearing Loss (Years) | Etiology of Hearing Loss | Hearing Loss Level | |
|---|---|---|---|---|---|---|
| Right | Left | |||||
| YF | 68 | F | 7 | Hole in the eardrum | Mild to moderate | Mild to moderate |
| HS | 66 | M | 4 | Unknown | Mild | Mild to moderate-severe |
| EM | 61 | F | 8 | Chemotherapy | Mild to severe | Moderate-severe |
| ZK | 72 | F | 4 | Unknown | Mild to moderate | Mild to moderate |
| ST | 75 | F | 5 | Unknown | Moderate | Minimal to mild |
| HSA | 76 | F | 8 | Unknown | Moderate to profound | Moderate to severe |
| YS | 77 | M | 50 | Unknown | Mild to profound | Mild to severe |
| MS | 75 | M | 10 | Unknown | Mild to moderate-severe | Mild to moderate-severe |
| ND | 72 | F | 10 | Unknown | Mild to severe | Mild to severe |
| EH | 70 | F | 8 | Unknown | Mild to profound | Mild to severe |
| DK | 71 | F | 10 | Unknown | Mild to moderate-severe | Mild to moderate |
| MZ | 66 | M | 14 | Unknown | Mild to moderate-severe | Mild to moderate-severe |
| ZD | 75 | F | 27 | Genetic | Moderate-severe to severe | Moderate-severe |
| NA | 74 | F | 7 | Unknown | Mild to moderate-severe | Mild to moderate-severe |
| YSH | 88 | M | 4 | Unknown | Mild to moderate-severe | Mild to moderate-severe |
Disclaimer/Publisher’s Note: The statements, opinions and data contained in all publications are solely those of the individual author(s) and contributor(s) and not of MDPI and/or the editor(s). MDPI and/or the editor(s) disclaim responsibility for any injury to people or property resulting from any ideas, methods, instructions or products referred to in the content. |
© 2023 by the authors. Licensee MDPI, Basel, Switzerland. This article is an open access article distributed under the terms and conditions of the Creative Commons Attribution (CC BY) license (https://creativecommons.org/licenses/by/4.0/).
Share and Cite
Barda, A.; Shapira, Y.; Fostick, L. Benefits of Auditory Training with an Open-Set Sentences-in-Babble-Noise. Appl. Sci. 2023, 13, 9126. https://doi.org/10.3390/app13169126
Barda A, Shapira Y, Fostick L. Benefits of Auditory Training with an Open-Set Sentences-in-Babble-Noise. Applied Sciences. 2023; 13(16):9126. https://doi.org/10.3390/app13169126
Chicago/Turabian StyleBarda, Ayelet, Yair Shapira, and Leah Fostick. 2023. "Benefits of Auditory Training with an Open-Set Sentences-in-Babble-Noise" Applied Sciences 13, no. 16: 9126. https://doi.org/10.3390/app13169126
APA StyleBarda, A., Shapira, Y., & Fostick, L. (2023). Benefits of Auditory Training with an Open-Set Sentences-in-Babble-Noise. Applied Sciences, 13(16), 9126. https://doi.org/10.3390/app13169126

