Fast Calibration Method for Base Coordinates of the Dual-Robot Based on Three-Point Measurement Calibration Method
Abstract
1. Introduction
2. Multi-Robot Environment
3. Robot Calibration Principle
3.1. TCF Calibration
3.2. Base Coordinate Calibration of Multi Robots
3.3. Comparison of Calibration Methods for Dual-Robot
4. Calibration Experiment
4.1. Repeated Positioning and Calibration Experiment of Single Robot
4.2. Dual-Robot Base Coordinate Calibration Experiment
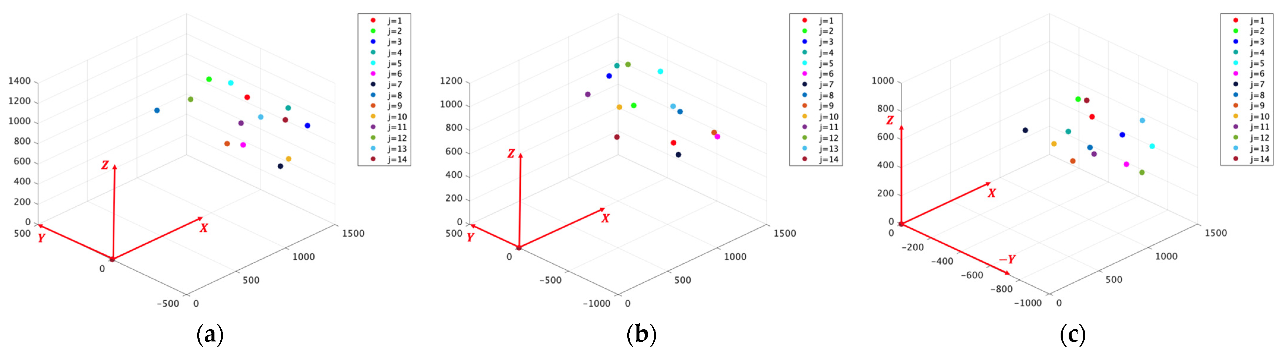
- (a)
- Processing accuracy of robot end adapter and calibration tooling
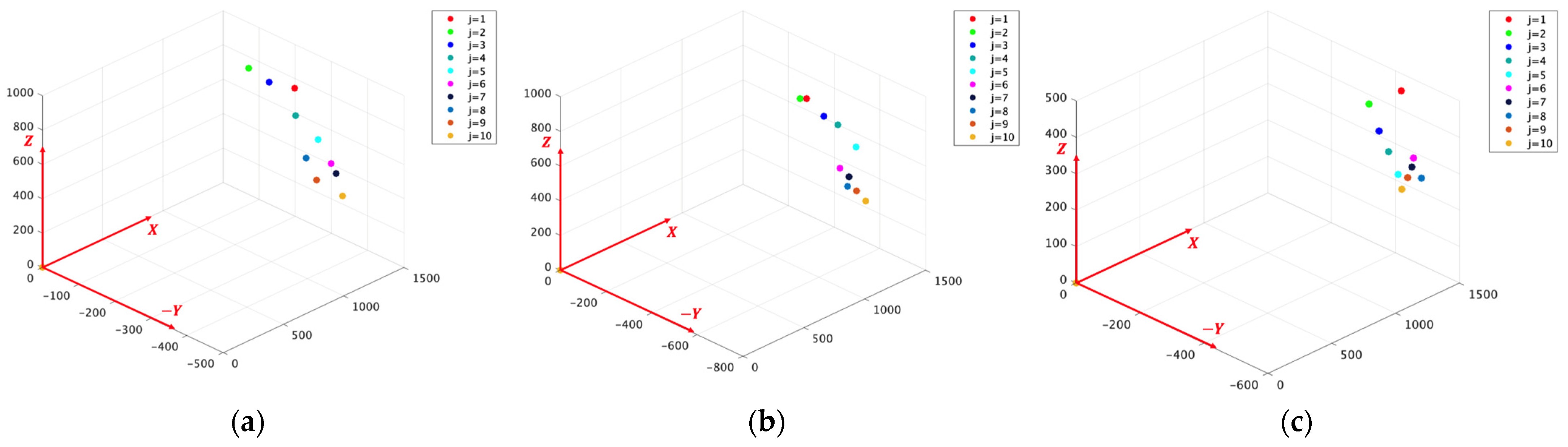
- (b)
- Repeated positioning error of robots and measuring accuracy of the wire sensor
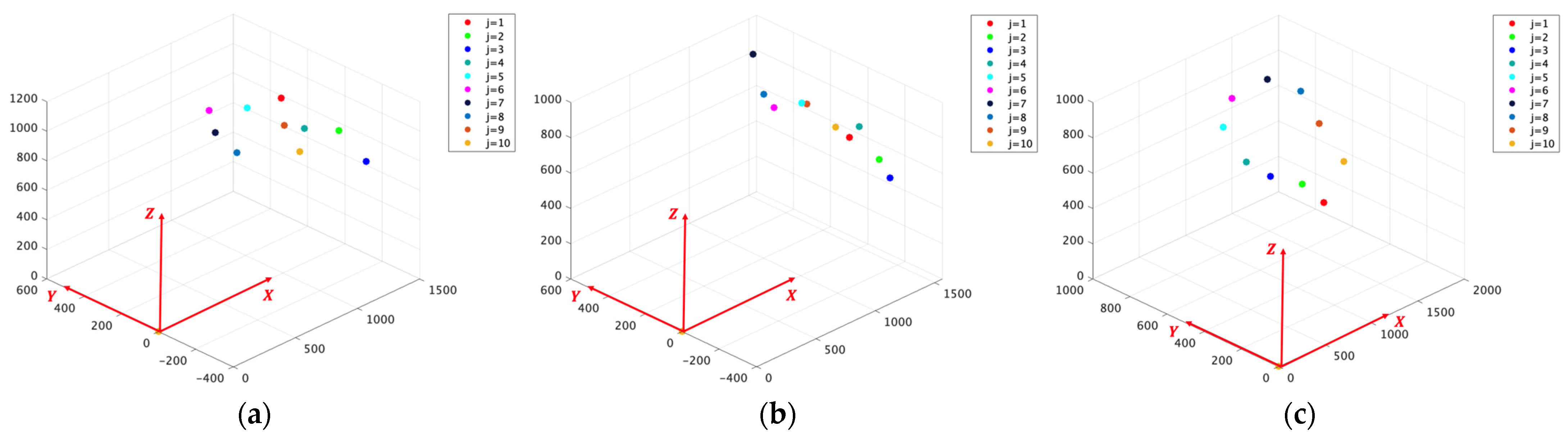
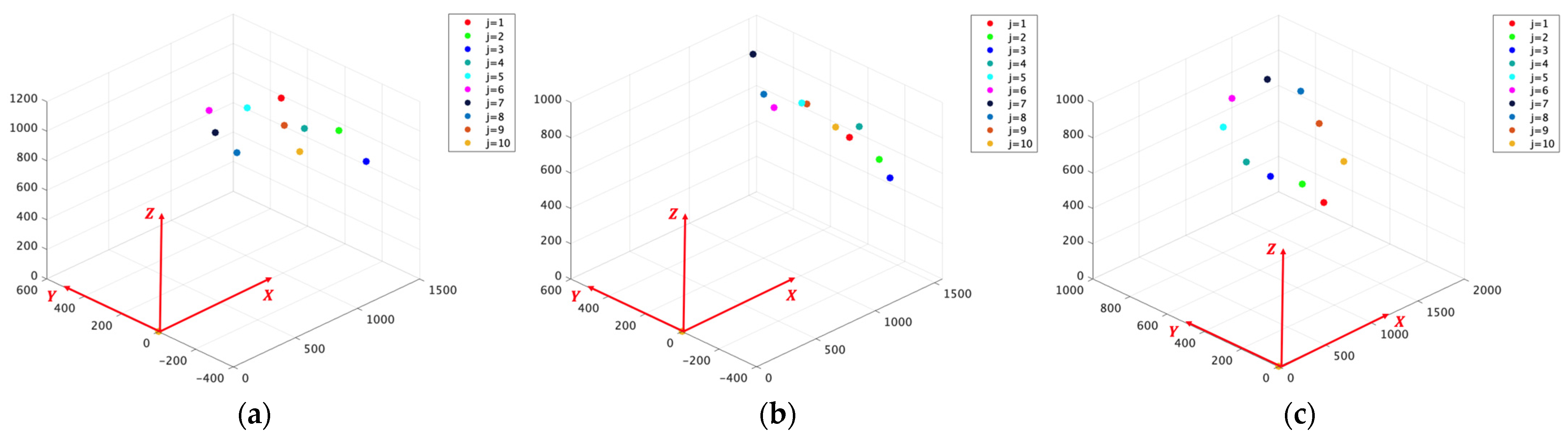
- (c)
- Actual installation error of the dual-robot collaborative platform
5. Conclusions
Author Contributions
Funding
Institutional Review Board Statement
Informed Consent Statement
Data Availability Statement
Conflicts of Interest
Appendix A
| Rope Length (mm) | End Adapter Position (mm) | ||
|---|---|---|---|
| 1 | 1 | 804.29199 | [1295.78, −46.49, 1042.74] |
| 2 | 881.30255 | [1295.80, 209.68, 1042.73] | |
| 3 | 841.0332 | [1295.84, −452.11, 1042.68] | |
| 4 | 1026.1182 | [1188.90, −393.30, 1226.34] | |
| 5 | 995.62207 | [1189.90, −5.61, 1203.27] | |
| 6 | 655.6239 | [1083.19, −160.56, 748.53] | |
| 7 | 524.83978 | [1185.55, −344.85, 617.74] | |
| 8 | 811.8349 | [1183.51, 486.36, 592.35] | |
| 9 | 511.94385 | [1183.51, 12.84, 592.32] | |
| 10 | 612.43469 | [1183.52, −399.40, 726.54] | |
| 11 | 684.37616 | [1183.53, −79.43, 860.12] | |
| 12 | 804.41364 | [1183.53, 261.18, 860.11] | |
| 13 | 811.26715 | [1183.54, −213.55, 1013.35] | |
| 14 | 909.52759 | [1183.55, −378.61, 1098.11] | |
| 2 | 1 | 571.39484 | [1183.55, −378.60, 574.92] |
| 2 | 640.6192 | [1242.34, 82.64, 684.60] | |
| 3 | 878.05829 | [1242.35, 329.93, 836.34] | |
| 4 | 933.41345 | [1242.35, 253.74, 956.09] | |
| 5 | 944.32227 | [1242.32, −185.89, 1079.38] | |
| 6 | 871.93476 | [1242.33, −761.67, 755.57] | |
| 7 | 1073.4843 | [851.20, −761.64, 755.55] | |
| 8 | 628.61548 | [1320.24, −309.33, 755.49] | |
| 9 | 744.27325 | [1320.32, −650.78, 712.68] | |
| 10 | 736.04095 | [1116.61, 102.07, 712.66] | |
| 11 | 900.36261 | [1094.85, 397.44, 712.63] | |
| 12 | 868.85272 | [1365.47, 263.65, 912.28] | |
| 13 | 553.59198 | [1392.19, −166.39, 716.20] | |
| 14 | 868.97437 | [831.75, −157.43, 675.53] | |
| 3 | 1 | 535.82971 | [1291.28, −427.45, 545.64] |
| 2 | 755.26318 | [1150.48, −427.44, 719.50] | |
| 3 | 802.1427 | [1120.64, −747.38, 634.62] | |
| 4 | 889.89984 | [879.12, −543.42, 634.60] | |
| 5 | 892.25195 | [1147.75, −929.28, 634.58] | |
| 6 | 1102.2771 | [823.17, −973.16, 633.98] | |
| 7 | 1035.486 | [676.96, −387.26, 633.97] | |
| 8 | 309.01553 | [1333.11, −387.26, 295.92] | |
| 9 | 506.99634 | [1097.99, −425.64, 295.88] | |
| 10 | 756.56085 | [911.11, −425.64, 479.18] | |
| 11 | 905.06677 | [875.38, −718.42, 562.85] | |
| 12 | 790.13892 | [1099.97, −891.76, 444.98] | |
| 13 | 785.5564 | [1284.93, −772.33, 693.52] | |
| 14 | 1066.6714 | [917.88, −641.63, 892.68] |
| Rope Length (mm) | End Adapter Position (mm) | ||
|---|---|---|---|
| 1 | 1 | 603.26971 | [1384.59, −236.38, 819.10] |
| 2 | 552.45648 | [1421.48, −97.68, 788.31] | |
| 3 | 567.33954 | [1380.72, −166.95, 788.28] | |
| 4 | 552.86206 | [1307.30, −265.06, 715.18] | |
| 5 | 571.84094 | [1256.81, −344.70, 670.12] | |
| 6 | 605.784 | [1186.12, −404.16, 614.38] | |
| 7 | 654.08289 | [1131.13, −435.67, 605.88] | |
| 8 | 611.13702 | [1140.43, −350.05, 605.81] | |
| 9 | 643.98511 | [1083.60, −398.44, 545.23] | |
| 10 | 603.83746 | [1137.74, −451.52, 488.08] | |
| 2 | 1 | 808.75287 | [1229.18, −423.74, 845.20] |
| 2 | 742.69165 | [1264.41, −376.20, 804.28] | |
| 3 | 718.60303 | [1293.55, −463.75, 745.99] | |
| 4 | 702.50343 | [1327.68, −507.81, 713.20] | |
| 5 | 668.68207 | [1351.13, −574.71, 617.97] | |
| 6 | 573.62531 | [1308.20, −526.70, 480.69] | |
| 7 | 574.88245 | [1324.42, −559.91, 447.93] | |
| 8 | 656.67828 | [1229.56, −603.47, 450.41] | |
| 9 | 659.8009 | [1251.96, −631.34, 433.26] | |
| 10 | 678.8609 | [1251.95, −670.43, 398.73] | |
| 3 | 1 | 449.08636 | [1435.53, −443.97, 473.23] |
| 2 | 396.44827 | [1385.01, −363.58, 412.82] | |
| 3 | 396.97546 | [1345.13, −411.26, 364.54] | |
| 4 | 402.04462 | [1324.28, −449.74, 327.71] | |
| 5 | 352.04251 | [1358.84, −464.42, 265.54] | |
| 6 | 352.04251 | [1389.23, −501.13, 320.50] | |
| 7 | 384.52563 | [1408.98, −488.70, 287.69] | |
| 8 | 347.41943 | [1418.09, −513.93, 265.90] | |
| 9 | 347.50055 | [1383.09, −484.86, 261.06] | |
| 10 | 345.22955 | [1408.05, −456.91, 213.79] |
| Rope Length (mm) | End Adapter Position (mm) | ||
|---|---|---|---|
| 1 | 1 | 907.58105 | [1119.17, 87.08, 1087.22] |
| 2 | 915.81335 | [1125.13, −217.85, 1045.38] | |
| 3 | 823.47369 | [1167.65, −334.74, 888.71] | |
| 4 | 679.22589 | [1219.71, 29.90, 872.91] | |
| 5 | 724.96991 | [1183.83, 313.41, 858.93] | |
| 6 | 747.67969 | [1151.50, 497.45, 745.08] | |
| 7 | 641.71417 | [1180.49, 481.53, 592.28] | |
| 8 | 525.08307 | [1215.77, 390.95, 498.04] | |
| 9 | 413.72394 | [1479.82, 311.29, 626.07] | |
| 10 | 271.62546 | [1476.73, 227.68, 496.36] | |
| 2 | 1 | 462.75278 | [1412.96, 1.45, 651.90] |
| 2 | 479.13629 | [1407.24, −162.82, 610.44] | |
| 3 | 456.79147 | [1402.31, −222.09, 534.68] | |
| 4 | 565.23077 | [1397.74, −60.30, 748.18] | |
| 5 | 575.81519 | [1380.21, 237.45, 740.18] | |
| 6 | 567.90729 | [1362.25, 375.05, 652.09] | |
| 7 | 796.87079 | [1409.91, 519.25, 868.02] | |
| 8 | 599.29547 | 1460.99, 492.77, 638.04 [] | |
| 9 | 483.96213 | [1538.52, 310.33, 646.87] | |
| 10 | 362.62689 | [1564.49, 174.00, 575.08] | |
| 3 | 1 | 350.17706 | [1577.84, 544.55, 267.43] |
| 2 | 467.70029 | [1548.53, 646.68, 328.53] | |
| 3 | 597.67334 | [1482.34, 784.46, 320.59] | |
| 4 | 715.35876 | [1429.55, 886.67, 364.30] | |
| 5 | 878.99103 | [1373.98, 984.15, 528.43] | |
| 6 | 939.65863 | [1388.06, 943.87, 707.46] | |
| 7 | 941.19965 | [1449.27, 783.60, 878.32] | |
| 8 | 844.52081 | [1521.57, 640.62, 863.99] | |
| 9 | 669.97974 | [1579.38, 569.90, 703.42] | |
| 10 | 467.7814 | [1625.95, 461.11, 530.22] |
References
- Sherwani, F.; Asad, M.; Ibrahim, B. Collaborative robots and industrial revolution 4.0 (ir 4.0). In Proceedings of the International Conference on Emerging Trends in Smart Technologies (ICETST), Karachi, Pakistan, 26–27 March 2020. [Google Scholar]
- Javaid, M.; Haleem, A.; Singh, R.; Suman, R. Substantial capabilities of robotics in enhancing industry 4.0 implementation. Cogn. Robot. 2021, 1, 58–75. [Google Scholar] [CrossRef]
- Mukherjee, D.; Gupta, K.; Chang, L.H.; Najjaran, H. A survey of robot learning strategies for human-robot collaboration in industrial settings. Robot. Comput. -Integr. Manuf. 2022, 73, 102231. [Google Scholar] [CrossRef]
- Leporini, A.; Oleari, E.; Landolfo, C.; Sanna, A.; Larcher, A.; Gandaglia, G. Technical and functional validation of a teleoperated multirobots platform for minimally invasive surgery. IEEE Trans. Med. Robot. Bionics 2020, 2, 148–156. [Google Scholar] [CrossRef]
- Wang, Z.; Liu, Z.; Ma, Q.; Cheng, A.; Liu, Y.; Kim, S.; Deguet, A.; Reiter, A.; Kazanzides, P.; Taylor, R. Vision-based calibration of dual RCM-based robot arms in human-robot collaborative minimally invasive surgery. IEEE Robot. Autom. Lett. 2017, 3, 672–679. [Google Scholar] [CrossRef]
- Xiao, J.; Zhao, S.; Guo, H.; Huang, T.; Lin, B. Research on the collaborative machining method for dual-robot mirror milling. Int. J. Adv. Manuf. Technol. 2019, 105, 4071–4084. [Google Scholar] [CrossRef]
- Zhao, D.; Bi, Y.; Ke, Y. Kinematic modeling and base frame calibration of a dual-machine-based drilling and riveting system for aircraft panel assembly. Int. J. Adv. Manuf. Technol. 2018, 94, 1873–1884. [Google Scholar] [CrossRef]
- Zhang, T.; Ouyang, F. Offline motion planning and simulation of two-robot welding coordination. Front. Mech. Eng. 2012, 7, 81–92. [Google Scholar] [CrossRef]
- Guo, C.; Xu, C.; Hao, J.; Xiao, D.; Yang, W. Ultrasonic non-destructive testing system of semi-enclosed workpiece with dual-robot testing system. Sensors 2019, 19, 3359. [Google Scholar] [CrossRef]
- Pellegrinelli, S.; Pedrocchi, N.; Tosatti, L.M.; Fischer, A.; Tolio, T. Multi-robot spot-welding cells for car-body assembly: Design and motion planning. Robot. Comput. -Integr. Manuf. 2017, 44, 97–116. [Google Scholar] [CrossRef]
- Talasaz, A.; Trejos, A.L.; Patel, R.V. The role of direct and visual force feedback in suturing using a 7-DOF dual-arm teleoperated system. IEEE Trans. Haptics 2016, 10, 276–287. [Google Scholar] [CrossRef]
- Wang, G.; Li, W.; Jiang, C.; Zhu, D.; Xie, H.; Liu, X.; Ding, H. Simultaneous calibration of multicoordinates for a dual-robot system by solving the AXB = YCZ problem. IEEE Trans. Robot. 2021, 37, 1172–1185. [Google Scholar] [CrossRef]
- Wang, X.; Huang, J.; Song, H. Simultaneous robot–world and hand–eye calibration based on a pair of dual equations. Measurement 2021, 181, 109623. [Google Scholar] [CrossRef]
- Nubiola, A.; Bonev, I. Absolute calibration of an ABB IRB 1600 robot using a laser tracker. Robot. Comput. -Integr. Manuf. 2013, 29, 236–245. [Google Scholar] [CrossRef]
- Fan, Q.; Gong, Z.; Zhang, S.; Tao, B.; Yin, Z.; Ding, H. A vision-based fast base frame calibration method for coordinated mobile manipulators. Robot. Comput. -Integr. Manuf. 2021, 68, 102078. [Google Scholar] [CrossRef]
- Ren, Y.; Yin, S.; Zhu, J. Calibration technology in application of robot-laser scanning system. Opt. Eng. 2012, 51, 114204. [Google Scholar] [CrossRef]
- Nguyen, H.; Pham, Q. On the Covariance of X in AX = XB. IEEE Trans. Robot. 2018, 34, 1651–1658. [Google Scholar] [CrossRef]
- Zhuang, H.; Roth, Z.; Sudhakar, R. Simultaneous robot/world and tool/flange calibration by solving homogeneous transformation equations of the form AX = YB. IEEE Trans. Robot. Autom. 1994, 10, 549–554. [Google Scholar] [CrossRef]
- Tan, N.; Gu, X.; Ren, H. Simultaneous robot-world, sensor-tip, and kinematics calibration of an underactuated robotic hand with soft fingers. IEEE Access 2017, 6, 22705–22715. [Google Scholar] [CrossRef]
- Ruan, C.; Gu, X.; Li, Y.; Zhang, G.; Wang, W.; Hou, Z. Base frame calibration for multi-robot cooperative grinding station by binocular vision. In Proceedings of the 2017 2nd International Conference on Robotics and Automation Engineering (ICRAE), Shanghai, China, 29–31 December 2017. [Google Scholar]
- Wang, J.; Wu, L.; Meng, M.; Ren, H. Towards simultaneous coordinate calibrations for cooperative multiple robots. In Proceedings of the International Conference on Intelligent Robots and Systems, Chicago, IL, USA, 14–18 September 2014. [Google Scholar]
- Wu, L.; Wang, J.; Qi, L.; Wu, K.; Ren, H.; Meng, M. Simultaneous Hand–Eye, Tool–Flange, and Robot–Robot Calibration for Comanipulation by Solving the AXB = YCZ Problem. IEEE Trans. Robot. 2016, 32, 413–428. [Google Scholar] [CrossRef]
- Ma, Q.; Goh, Z.; Ruan, S.; Chirikjian, G. Probabilistic approaches to the AXB = YCZ calibration problem in multi-robot systems. Auton. Robot. 2018, 42, 1497–1520. [Google Scholar] [CrossRef]
- Fu, Z.; Pan, J.; Spyrakos-Papastavridis, E.; Chen, X.; Li, M. A Dual Quaternion-Based Approach for Coordinate Calibration of Dual Robots in Collaborative Motion. IEEE Robot. Autom. Lett. 2020, 5, 4086–4093. [Google Scholar] [CrossRef]
- Qin, Y.; Geng, P.; Lv, B.; Meng, Y.; Song, Z.; Han, J. Simultaneous Calibration of the Hand-Eye, Flange-Tool and Robot-Robot Relationship in Dual-Robot Collaboration Systems. Sensors 2022, 22, 1861. [Google Scholar] [CrossRef]
- Gan, Y.; Dai, X. Base frame calibration for coordinated industrial robots. Robot. Auton. Syst. 2011, 59, 563–570. [Google Scholar] [CrossRef]
- Wang, W.; Liu, F.; Yun, C. Calibration method of robot base frame using unit quaternion form. Precis. Eng. 2015, 41, 47–54. [Google Scholar] [CrossRef]
- Lu, Z.; Xu, C.; Pan, Q.; Meng, F.; Li, X. Automatic method for synchronizing workpiece frames in twin-robot nondestructive testing system. Chin. J. Mech. Eng. 2015, 28, 860–868. [Google Scholar] [CrossRef]
- Kong, M.; Yu, G. The calibration for dual-robot system based on the three-point method. Adv. Mater. Res. 2014, 998, 678–681. [Google Scholar] [CrossRef]
- Deng, H.; Wu, H.; Yang, C.; Guan, Y.; Zhang, H.; Liu, J. Base frame calibration for multi-robot coordinated systems. In Proceedings of the 2015 IEEE International Conference on Robotics and Biomimetics (ROBIO), Zhuhai, China, 6–9 December 2015. [Google Scholar]
- Wang, J.; Wang, W.; Wu, C.; Chen, S.; Fu, J.; Lu, G. A plane projection based method for base frame calibration of cooperative manipulators. IEEE Trans. Ind. Inform. 2018, 15, 1688–1697. [Google Scholar] [CrossRef]










| Comparison Condition | Accuracy | Cost | Human Factor | Workspace Limitation |
|---|---|---|---|---|
| Handshake | o | + | - | - |
| Coordinate measuring machine | + | - | + | + |
| Three-point measurement | o | + | + | + |
Disclaimer/Publisher’s Note: The statements, opinions and data contained in all publications are solely those of the individual author(s) and contributor(s) and not of MDPI and/or the editor(s). MDPI and/or the editor(s) disclaim responsibility for any injury to people or property resulting from any ideas, methods, instructions or products referred to in the content. |
© 2023 by the authors. Licensee MDPI, Basel, Switzerland. This article is an open access article distributed under the terms and conditions of the Creative Commons Attribution (CC BY) license (https://creativecommons.org/licenses/by/4.0/).
Share and Cite
Mao, J.; Xu, R.; Ma, X.; Hu, S.; Bao, X. Fast Calibration Method for Base Coordinates of the Dual-Robot Based on Three-Point Measurement Calibration Method. Appl. Sci. 2023, 13, 8799. https://doi.org/10.3390/app13158799
Mao J, Xu R, Ma X, Hu S, Bao X. Fast Calibration Method for Base Coordinates of the Dual-Robot Based on Three-Point Measurement Calibration Method. Applied Sciences. 2023; 13(15):8799. https://doi.org/10.3390/app13158799
Chicago/Turabian StyleMao, Jincheng, Ruidi Xu, Xiaojie Ma, Shun Hu, and Xiulan Bao. 2023. "Fast Calibration Method for Base Coordinates of the Dual-Robot Based on Three-Point Measurement Calibration Method" Applied Sciences 13, no. 15: 8799. https://doi.org/10.3390/app13158799
APA StyleMao, J., Xu, R., Ma, X., Hu, S., & Bao, X. (2023). Fast Calibration Method for Base Coordinates of the Dual-Robot Based on Three-Point Measurement Calibration Method. Applied Sciences, 13(15), 8799. https://doi.org/10.3390/app13158799
