Spectra Prediction for WLEDs with High TLCI
Abstract
1. Introduction
2. Materials and Methods
2.1. Experimental Materials and Laboratory Equipment
2.2. Experimental Methods
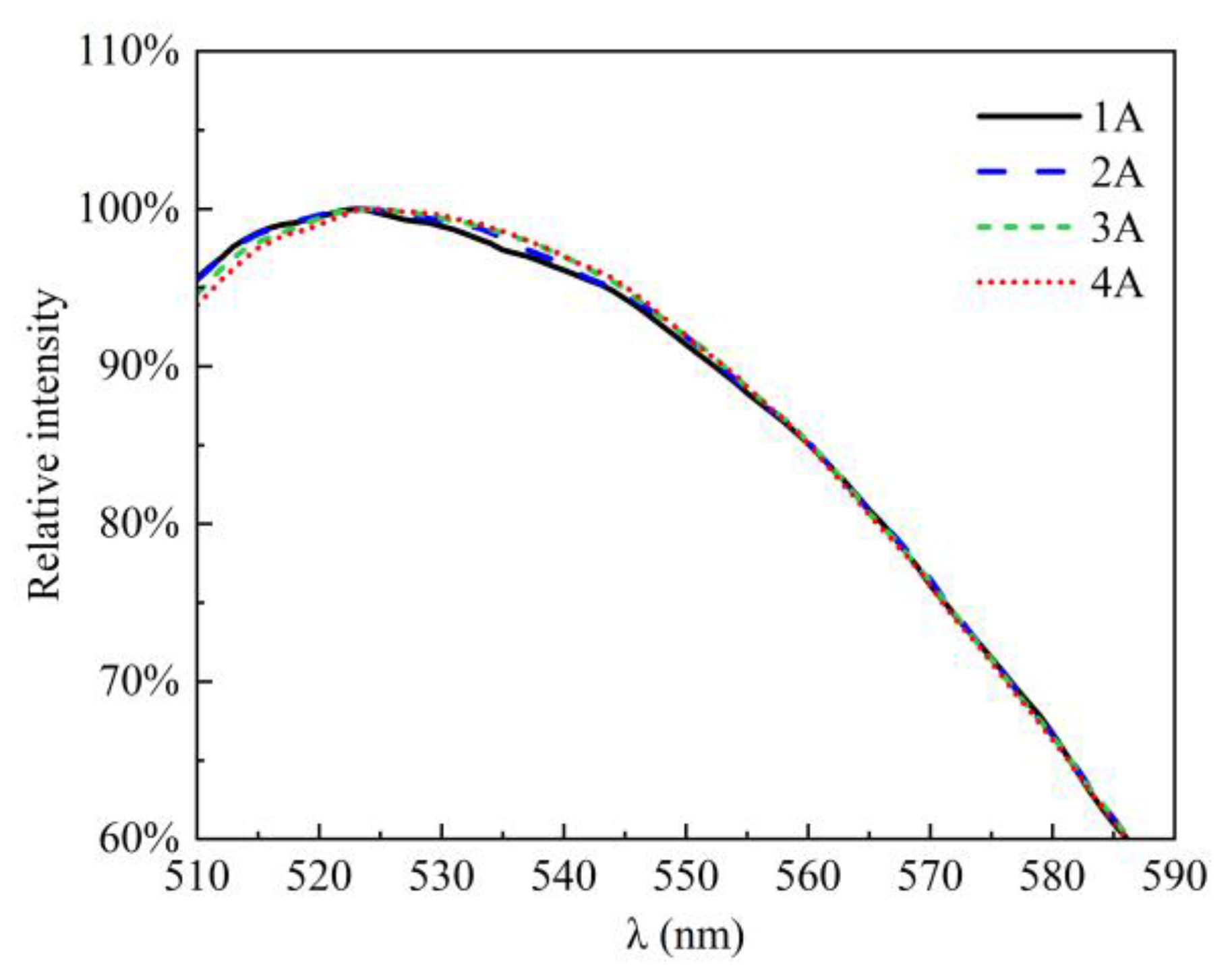
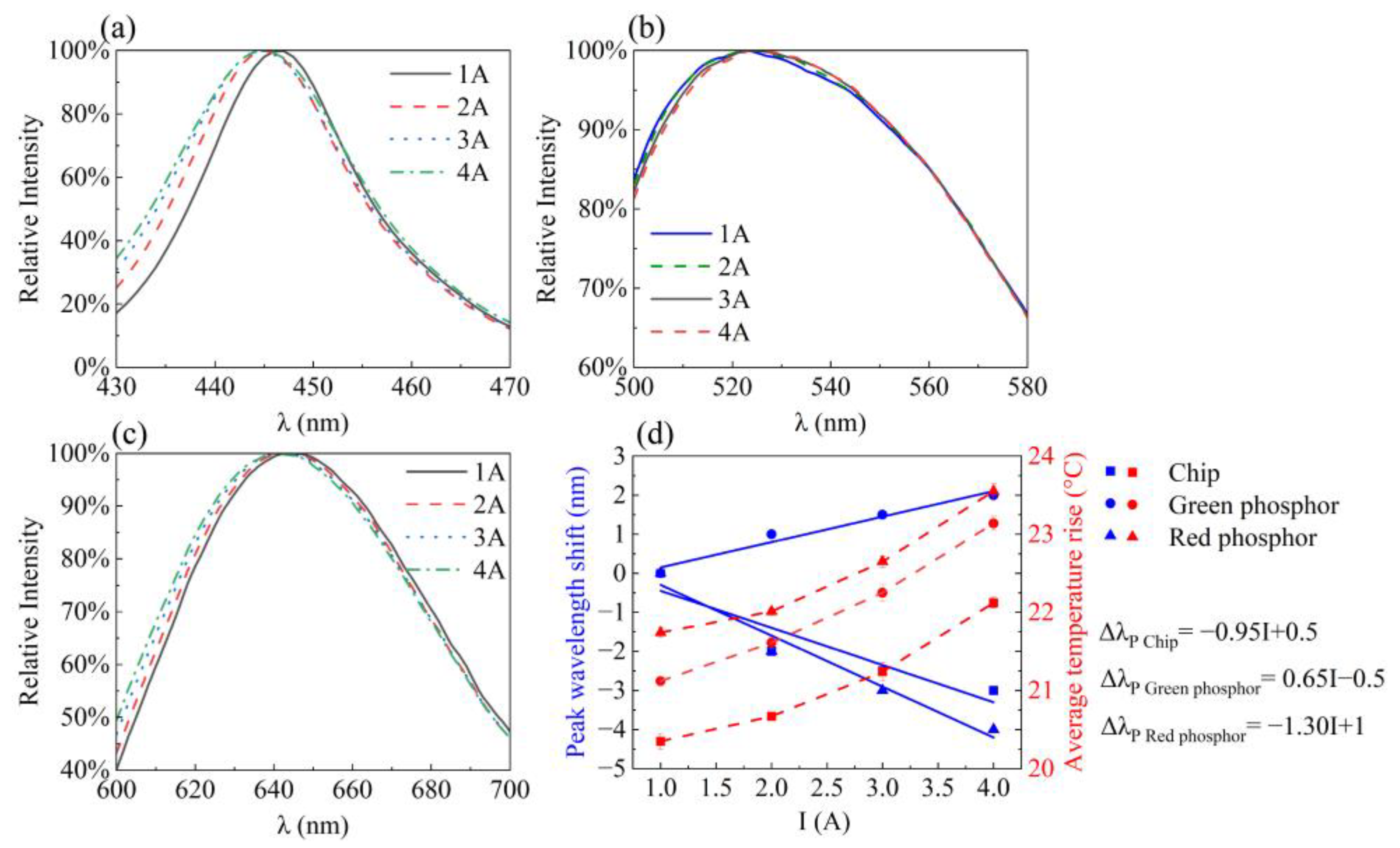
3. Results and Discussion
4. Conclusions
Author Contributions
Funding
Institutional Review Board Statement
Informed Consent Statement
Data Availability Statement
Acknowledgments
Conflicts of Interest
References
- Wang, S.; Wang, K.; Chen, F.; Liu, S. Design of primary optics for LED chip array in road lighting application. Opt. Express 2011, 19, A716–A724. [Google Scholar] [CrossRef] [PubMed]
- Lee, X.H.; Moreno, I.; Sun, C.C. High-performance LED street lighting using microlens arrays. Opt. Express 2013, 21, 10612–10621. [Google Scholar] [CrossRef] [PubMed]
- Lee, X.H.; Chang, Y.Y.; Sun, C.C. Highly energy-efficient agricultural lighting by B+ R LEDs with beam shaping using micro-lens diffuser. Opt. Commun. 2013, 291, 7–14. [Google Scholar] [CrossRef]
- Jafrancesco, D.; Mercatelli, L.; Sansoni, P.; Fontani, D.; Sani, E.; Coraggia, S.; Meucci, M.; Francini, F. Optical design of a light-emitting diode lamp for a maritime lighthouse. Appl. Opt. 2015, 54, 3252–3262. [Google Scholar] [CrossRef]
- Lee, X.H.; Yang, J.T.; Chang, J.H.; Chien, W.T.; Lo, Y.C.; Lin, C.C.; Sun, C.C. An LED-based luminaire for badminton court illumination. Light. Res. Technol. 2017, 49, 396–406. [Google Scholar] [CrossRef]
- Commission Internationale de l’Eclairage. Method of Measuring and Specifying Colour Rendering Properties of Light Sources; Technical Report CIE 13.3-1995; CIE: Vienna, Austria, 1995. [Google Scholar]
- Davis, W.; Ohno, Y. Color quality scale. Opt. Eng. 2010, 49, 033602. [Google Scholar] [CrossRef]
- Illuminating Engineering Society on North America. Method for Evaluating Light Source Color Rendition; IES TM-30-20; Illuminating Engineering Society: New York, NY, USA, 2020. [Google Scholar]
- DeMarsh, L.E. Color rendition in television. IEEE Trans. Consum. Electron. 1977, CE-23, 149–157. [Google Scholar] [CrossRef]
- Karaimer, H.C.; Brown, M.S. Improving color reproduction accuracy on cameras. In Proceedings of the IEEE Conference on Computer Vision and Pattern Recognition, Salt Lake City, UT, USA, 18–23 June 2018; pp. 6440–6449. [Google Scholar]
- LeGendre, C.; Lepicovsky, L.; Debevec, P. Jointly Optimizing Color Rendition and In-Camera Backgrounds in an RGB Virtual Production Stage. In The Digital Production Symposium; Association for Computing Machinery: New York, NY, USA, 2022; pp. 1–12. [Google Scholar]
- Wood, M. Television Lighting Consistency Index–TLCI. In Out of the Wood; Audible Studios: Newark, NJ, USA, 2013. [Google Scholar]
- Gardner, L. Index C. Method for the Assessment of the Cororimetric Properties of Luminaires; EBU: Geneva, Switzerland, 2012. [Google Scholar]
- Liu, H.; Lo, C.C.; Lee, S.W.R.; Zhao, H. LED Wafer Level Packaging with a Heimisphrical Waffle Pack Remote Phosphor Layer. In Proceedings of the 14th International Conference on Electronic Materials and Packaging (EMAP), Hong Kong, China, 13–16 December 2012. [Google Scholar]
- Lee, S.W.R.; Guo, X.; Niu, D.; Lo, J.C.C. Quasi-conformal phosphor dispensing on LED for white light illumination. In Proceedings of the IEEE 63rd Electronic Components and Technology Conference, Las Vegas, NV, USA, 28–31 May 2013; pp. 563–567. [Google Scholar]
- Lo, J.C.C.; Liu, H.; Lee, S.W.R.; Guo, X.; Zhao, H. Remote phosphor deposition on LED arrays with pre-encapsulated silicone lens. In Proceedings of the 2013 14th International Conference on Thermal, Mechanical and Multi-Physics Simulation and Experiments in Microelectronics and Microsystems (EuroSimE), Wroclaw, Poland, 14–17 April 2013; pp. 1–5. [Google Scholar]
- Tain, Z.; Lo, J.C.C.; Lee, S.W.R.; Yun, F.; Sun, R. Investigation of the influence of Ag reflective layer on the Correlated Color Temperature and the Angular Color Uniformity of LED with conformal phosphor coating. In Proceedings of the 16th International Conference on Electronic Packaging Technology (ICEPT), Changsha, China, 11–14 August 2015; pp. 830–834. [Google Scholar]
- Kimura, N.; Sakuma, K.; Hirafune, S.; Asano, K.; Hirosaki, N.; Xie, R.J. Extrahigh color rendering white light-emitting diode lamps using oxynitride and nitride phosphors excited by blue light-emitting diode. Appl. Phys. Lett. 2007, 90, 051109. [Google Scholar] [CrossRef]
- Wu, H.; Zhang, X.; Guo, C.; Xu, J.; Wu, M.; Su, Q. Three-band white light from InGaN-based blue LED chip precoated with green/red phosphors. IEEE Photonics Technol. Lett. 2005, 17, 1160–1162. [Google Scholar] [CrossRef]
- Chen, L.; Chu, C.I.; Liu, R.S. Improvement of emission efficiency and color rendering of high-power LED by controlling size of phosphor particles and utilization of different phosphors. Microelectron. Reliab. 2012, 52, 900–904. [Google Scholar] [CrossRef]
- Xu, J.; Chen, G. Realizing white LEDs with high luminous efficiency and high color rendering index by using double green phosphors. Results Phys. 2019, 15, 102648. [Google Scholar] [CrossRef]
- Sun, C.C.; Chen, C.Y.; Chang, J.H.; Yang, T.H.; Ji, W.S.; Jeng, Y.S.; Wu, H.M. Linear calculation model for prediction of color rendering index performance associated with correlated color temperature of white light-emitting diodes with two phosphors. Opt. Eng. 2012, 51, 054003. [Google Scholar] [CrossRef]
- Lo, J.C.C.; Lee, S.W.R.; Guo, X.; Zhao, H. Numerical prediction and experimental validation of multiple phosphor white LED spectrum. Trans. Jpn. Inst. Electron. Packag. 2016, 9, E16-005. [Google Scholar] [CrossRef]
- Ying, S.P.; Fu, H.K.; Hsieh, H.H.; Hsieh, K.Y. Color design model of high color rendering index white-light LED module. Appl. Opt. 2017, 56, 4045–4051. [Google Scholar] [CrossRef]
- He, G.; Tang, J. Spectral optimization of phosphor-coated white LEDs for color rendering and luminous efficacy. IEEE Photonics Technol. Lett. 2014, 26, 1450–1453. [Google Scholar] [CrossRef]
- He, G.; Tang, J. Spectral optimization of color temperature tunable white LEDs with excellent color rendering and luminous efficacy. Opt. Lett. 2014, 39, 5570–5573. [Google Scholar] [CrossRef]
- Zhang, F.; Xu, H.; Wang, Z. Optimizing spectral compositions of multichannel LED light sources by IES color fidelity index and luminous efficacy of radiation. Appl. Opt. 2017, 56, 1962–1971. [Google Scholar] [CrossRef] [PubMed]
- Yamada, M.; Narukawa, Y.; Mukai, T. Phosphor Free High-Luminous-Efficiency White Light-Emitting Diodes Composed of InGaN Multi-Quantum Well: Optics and Quantum Electronics. Jpn. J. Appl. Physics. 2002, 41, L246. [Google Scholar] [CrossRef]
- Hao, H.; Zhou, H.; Liang, J.; Liu, X.; Xu, B. Blue light conversion material of white LED luminous characteristics study. Spectrosc. Spectr. Anal. 2007, 27, 240–243. (In Chinese) [Google Scholar]
- Ohno, Y. Practical use and calculation of CCT and Duv. Leukos 2014, 10, 47–55. [Google Scholar] [CrossRef]
- Durmus, D. Correlated color temperature: Use and limitations. Light. Res. Technol. 2022, 54, 363–375. [Google Scholar] [CrossRef]











| CCT (K) | wt%g | wt%r | Exp. CIE x | Exp. CIE y | duv | Sim. CIE x | Sim. CIE y | Exp. TLCI | Sim. TLCI | TLCI Error |
|---|---|---|---|---|---|---|---|---|---|---|
| 3114 | 65.36% | 18.30% | 0.4428 | 0.4314 | 0.0097 | 0.4335 | 0.4208 | 96.76 | 95.72 | 1.07% |
| 4178 | 68.97% | 13.79% | 0.3758 | 0.3844 | 0.0049 | 0.3728 | 0.3792 | 96.91 | 96.69 | 0.23% |
| 5000 | 70.18% | 12.28% | 0.3464 | 0.3665 | 0.0068 | 0.3391 | 0.3563 | 96.30 | 95.28 | 1.06% |
| 6990 | 74.19 | 9.68% | 0.3058 | 0.3199 | 0.0021 | 0.3009 | 0.3094 | 95.49 | 93.65 | 1.93% |
Disclaimer/Publisher’s Note: The statements, opinions and data contained in all publications are solely those of the individual author(s) and contributor(s) and not of MDPI and/or the editor(s). MDPI and/or the editor(s) disclaim responsibility for any injury to people or property resulting from any ideas, methods, instructions or products referred to in the content. |
© 2023 by the authors. Licensee MDPI, Basel, Switzerland. This article is an open access article distributed under the terms and conditions of the Creative Commons Attribution (CC BY) license (https://creativecommons.org/licenses/by/4.0/).
Share and Cite
Wang, H.; Wang, P.; Jin, Z.; Song, Y.; Xiong, D. Spectra Prediction for WLEDs with High TLCI. Appl. Sci. 2023, 13, 8487. https://doi.org/10.3390/app13148487
Wang H, Wang P, Jin Z, Song Y, Xiong D. Spectra Prediction for WLEDs with High TLCI. Applied Sciences. 2023; 13(14):8487. https://doi.org/10.3390/app13148487
Chicago/Turabian StyleWang, Haiyang, Peipei Wang, Zhiliang Jin, Yang Song, and Daxi Xiong. 2023. "Spectra Prediction for WLEDs with High TLCI" Applied Sciences 13, no. 14: 8487. https://doi.org/10.3390/app13148487
APA StyleWang, H., Wang, P., Jin, Z., Song, Y., & Xiong, D. (2023). Spectra Prediction for WLEDs with High TLCI. Applied Sciences, 13(14), 8487. https://doi.org/10.3390/app13148487

