Influence of Overlying Strata Movement on the Stability of Coal in Fully Mechanized Top-Coal Caving Mining
Abstract
:1. Introduction
2. Engineering Background
3. Simulation Experiment of Overlying Strata Movement
3.1. Experimental Model
3.2. Experimental System
3.3. Experimental Process
3.4. Experimental Results
4. Analysis of the Influence of Overlying Strata Movement on the Stability of Coal
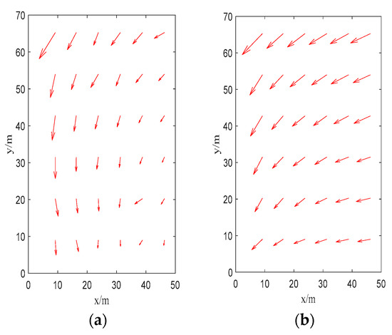
4.1. Overlying Strata Movement Characteristics
4.2. Stress Concentration of Coal along the Goaf
4.3. Deformation Evolution of Coal
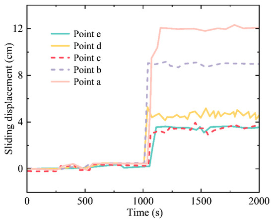
4.4. Interlayer Sliding of Coal and Rock
5. Conclusions
Author Contributions
Funding
Informed Consent Statement
Data Availability Statement
Conflicts of Interest
References
- Zhang, G.; He, F.; Lai, Y.; Song, J.; Xiao, P. Reasonable width and control technology of coal pillar in fully mechanized caving face section of high-intensity mining. J. Coal Ind. 2016, 41, 2188–2194. [Google Scholar] [CrossRef]
- Shen, W.; Dou, L.; Liu, P.; He, H. Study on dynamic change law of stress in roadway excavation along the void. Rock Soil Mech. 2016, 37, 489–494. [Google Scholar] [CrossRef]
- Zhang, K. Determination of the reasonable width of coal pillars for driving along goaf in deep coal seam group. J. Coal Sci. 2011, 36, 28–35. [Google Scholar]
- Zhang, Y.; Li, F. Monitoring and analysis of mining-induced overburden failure height and fracture development evolution in high strength fully mechanized caving mining. J. Rock Mech. Eng. 2011, 30, 2994–3001. [Google Scholar]
- He, T.; Huang, Z.; Li, C.; Luo, F.; Wang, D. Temporal and spatial evolution of lateral stress in fully mechanized caving face of extra-thick coal seam. J. Min. Saf. Eng. 2018, 35, 100–105. [Google Scholar] [CrossRef]
- Xu, Y.; Liu, S.; Liu, Z.; Zhang, Q.; Wang, H. Experimental study on the overburden failure law of the working face of the short-range thick coal seam. J. Min. Saf. Eng. 2013, 30, 506–511. [Google Scholar]
- Lu, H.; Wang, Z.; Tang, Y.; Zhang, L.; Liu, F.; Zhang, Y. Experimental study on the fragmentation and migration of top coal in fully mechanized caving mining of extra thick coal seam. J. Rock Mech. Eng. 2019, 38, 476–486. [Google Scholar] [CrossRef]
- Wang, B.B.; Liang, B.; Zhang, J.; Chi, H.; Jiang, J. Study on spatial distribution characteristics of rock stress in goaf of shallow coal seam. J. Min. Saf. Eng. 2019, 36, 1203–1212. [Google Scholar] [CrossRef]
- Lai, X.; Cui, F.; Cao, J.; Lv, Z.; Kang, Y. Analysis of overburden caving and fracture water conductivity characteristics in fully mechanized caving face of three soft coal seams. Chin. J. Coal Ind. 2017, 42, 148–154. [Google Scholar] [CrossRef]
- Chai, J.; Zhao, W.; Li, Y.; Cui, C.; Wang, D. Optical fiber detection experiment of subsidence deformation of overlying strata in stope. Chin. J. Coal Coal 2013, 38, 55–60. [Google Scholar] [CrossRef]
- Feng, G.; Ren, Y.; Wang, X.; Li, J.; Kang, L. Study on similar simulation experiment of upward mining in Baijiazhuang Coal mining area with caving method. J. Coal 2011, 36, 544–550. [Google Scholar] [CrossRef]
- Chai, J.; Xue, Z.; Guo, R.; Zhang, D.; Yuan, Q.; Li, Y. Experimental research on distributed optical fiber detection of collapse morphology and evolution of overburden in stope. J. China Univ. Min. Technol. 2018, 47, 1185–1192. [Google Scholar]
- Tang, S.; Tang, C. Numerical studies on tunnel floor heave in swelling ground under humid conditions. Int. J. Rock Mech. Min. Sci. 2012, 55, 139–150. [Google Scholar] [CrossRef]
- Tang, S.; Zhang, H.; Tang, C.; Liu, H.Y. Numerical model for the cracking behavior of heterogeneous brittle solids subjected to thermal shock. Int. J. Solids Struct. 2016, 80, 520–531. [Google Scholar] [CrossRef]
- Tang, S. The effects of water on the strength of black sandstone in a brittle regime. Eng. Geol. 2018, 239, 167–178. [Google Scholar] [CrossRef]
- Liu, Y.; Wang, S.; Wang, X. Development characteristics of water-conducting fracture zone in overburden rock in fully mechanized caving mining of deep and extra-thick coal seam. Chin. J. Coal Ind. 2014, 39, 1970–1976. [Google Scholar]
- Li, S.; Ding, Y.; An, C.; Li, H.; Wei, X. Experimental study on the fracture morphology and evolution rule of the overbearing rock with close distance repeated mining in coal seam. J. Min. Saf. Eng. 2016, 33, 904–910. [Google Scholar] [CrossRef]
- Zhang, J.; Wang, J. Height similarity simulation and Empirical Study of “three zones” of mining overburden. J. Min. Saf. Eng. 2014, 31, 249–254. [Google Scholar]
- Zhang, H.; Zhu, Z.; Huo, L.; Chen, Y.; Huo, B. Failure height of overburden in fully mechanized caving mining of extra thick coal seam. J. Coal Sci. 2014, 39, 816–821. [Google Scholar]
- Zhang, P.; Jiang, L.; Liu, X.; Zhang, Z.; Liu, X. Structural evolution characteristics and disaster induced rule of overburden in high hard and thick strata. J. Min. Saf. Eng. 2017, 34, 852–860. [Google Scholar]
- Ma, Z.; Tu, M.; Ma, J.; Zhang, B.; Han, M. Deformation characteristics of coal and rock mass under long-distance protective layer mining. J. Min. Saf. Eng. 2008, 253–257. [Google Scholar]
- Zhang, X.; Liu, J.; Tu, M. Study on overburden movement and pressure control in fully mechanized caving mining of weakly bonded thick coal seam. J. Min. Saf. Eng. 2009, 36, 873–878. [Google Scholar]
- Song, Y.; Ma, S.; Yang, X.; Wang, X. Experimental investigation on failure of rock by digital speckle correlation methods. Chin. J. Rock Mech. Eng. 2011, 30, 170–175. [Google Scholar]
- Guo, W.-J.; Ma, S.-P.; Kang, Y.-J.; Ma, Q.-W. Virtual extensometer based on digital speckle correlation method and its application to deformation field evolution of rock specimen. Rock Soil Mech. 2011, 32, 3196–3200. [Google Scholar]












| Materials | Specific Gravity /g ×cm3 | Compressive Strength /MPa | Elastic Modulus /MPa | Poisson′s Ratio | Stratification × Layer Thickness/cm | Proportion | Sand /kg | Lime /kg | Gypsum /kg | Water Consumption |
|---|---|---|---|---|---|---|---|---|---|---|
| Sandy soil | - | - | - | - | 1 × 7 | 8:1:1 | 26.1 | 3.2 | 3.2 | 5% |
| Mudstone | 2.75 | 71.8 | 1186 | 0.36 | 3 × 3 | 9:7:3 | 6.6 | 5.2 | 2.2 | 5% |
| Fine sandstone | 2.71 | 72.8 | 4507 | 0.23 | 10 × 4 | 8:7:3 | 8.2 | 7.2 | 3.1 | 5% |
| Siltstone | 2.73 | 81.2 | 3439 | 0.26 | 1 × 2 | 8:6:4 | 4.1 | 3.1 | 2.1 | 5% |
| Coal | 1.43 | 20.5 | 1008 | 0.33 | 1 × 7 | 9:9:1 | 17.1 | 17.1 | 1.9 | 5% |
| Coordinates (m) | u Field of Point 1 (cm) | u Field of Point 2 (cm) | v Field of Point 1 (cm) | v Field of Point 2 (cm) |
|---|---|---|---|---|
| (10,30) | 0 | −13.1 | 16.8 | 19.1 |
| (20,30) | 0.2 | −16.4 | 11.1 | 11.8 |
| (30,30) | −1.6 | −18.0 | 8.5 | 8.7 |
| (40,30) | −2.2 | −19.7 | 6.1 | 6.4 |
| (50,30) | −2.8 | −22.2 | 4.1 | 4.9 |
| (30,10) | 0.8 | −17.3 | 5.2 | 4.5 |
| (30,20) | −1.0 | −16.9 | 8.2 | 7.2 |
| (30,30) | −1.6 | −18.0 | 8.5 | 8.7 |
| (30,40) | −2.9 | −19.6 | 9.3 | 11.0 |
| (30,50) | −3.7 | −20.8 | 9.8 | 11.9 |
| (30,60) | −8.2 | −25.5 | 10.7 | 13.2 |
| (30,70) | −11.2 | −26.6 | 10.1 | 14.1 |
Disclaimer/Publisher’s Note: The statements, opinions and data contained in all publications are solely those of the individual author(s) and contributor(s) and not of MDPI and/or the editor(s). MDPI and/or the editor(s) disclaim responsibility for any injury to people or property resulting from any ideas, methods, instructions or products referred to in the content. |
© 2023 by the authors. Licensee MDPI, Basel, Switzerland. This article is an open access article distributed under the terms and conditions of the Creative Commons Attribution (CC BY) license (https://creativecommons.org/licenses/by/4.0/).
Share and Cite
Ren, H.; Song, Y.; Dai, L.; Zou, J.; Zhu, C. Influence of Overlying Strata Movement on the Stability of Coal in Fully Mechanized Top-Coal Caving Mining. Appl. Sci. 2023, 13, 8470. https://doi.org/10.3390/app13148470
Ren H, Song Y, Dai L, Zou J, Zhu C. Influence of Overlying Strata Movement on the Stability of Coal in Fully Mechanized Top-Coal Caving Mining. Applied Sciences. 2023; 13(14):8470. https://doi.org/10.3390/app13148470
Chicago/Turabian StyleRen, He, Yimin Song, Lianpeng Dai, Junpeng Zou, and Chun Zhu. 2023. "Influence of Overlying Strata Movement on the Stability of Coal in Fully Mechanized Top-Coal Caving Mining" Applied Sciences 13, no. 14: 8470. https://doi.org/10.3390/app13148470
APA StyleRen, H., Song, Y., Dai, L., Zou, J., & Zhu, C. (2023). Influence of Overlying Strata Movement on the Stability of Coal in Fully Mechanized Top-Coal Caving Mining. Applied Sciences, 13(14), 8470. https://doi.org/10.3390/app13148470

