Evaluation of Two Self-Fitting User Interfaces for Bimodal CI-Recipients
Abstract
1. Introduction
2. Materials and Methods
2.1. Study Participants
2.2. User Interfaces
Equalizer UI
2.3. 2D-Surface UI
3. Procedures
3.1. Expert-Fitting Procedure
3.2. Self-Fitting Procedure
3.3. Blind Preference Test
4. Results
4.1. Self-Fitting Final Positions
4.2. Behavioral Self-Fitting Patterns
4.3. Self-Fitting Duration
4.4. Satisfaction with the Self-Fitting Process
4.5. Blind Preference Test
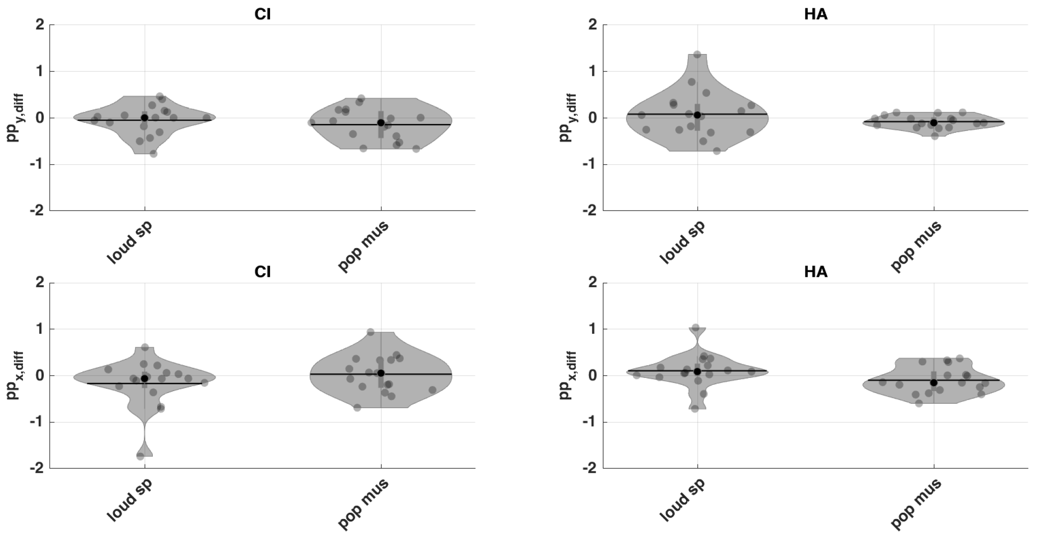
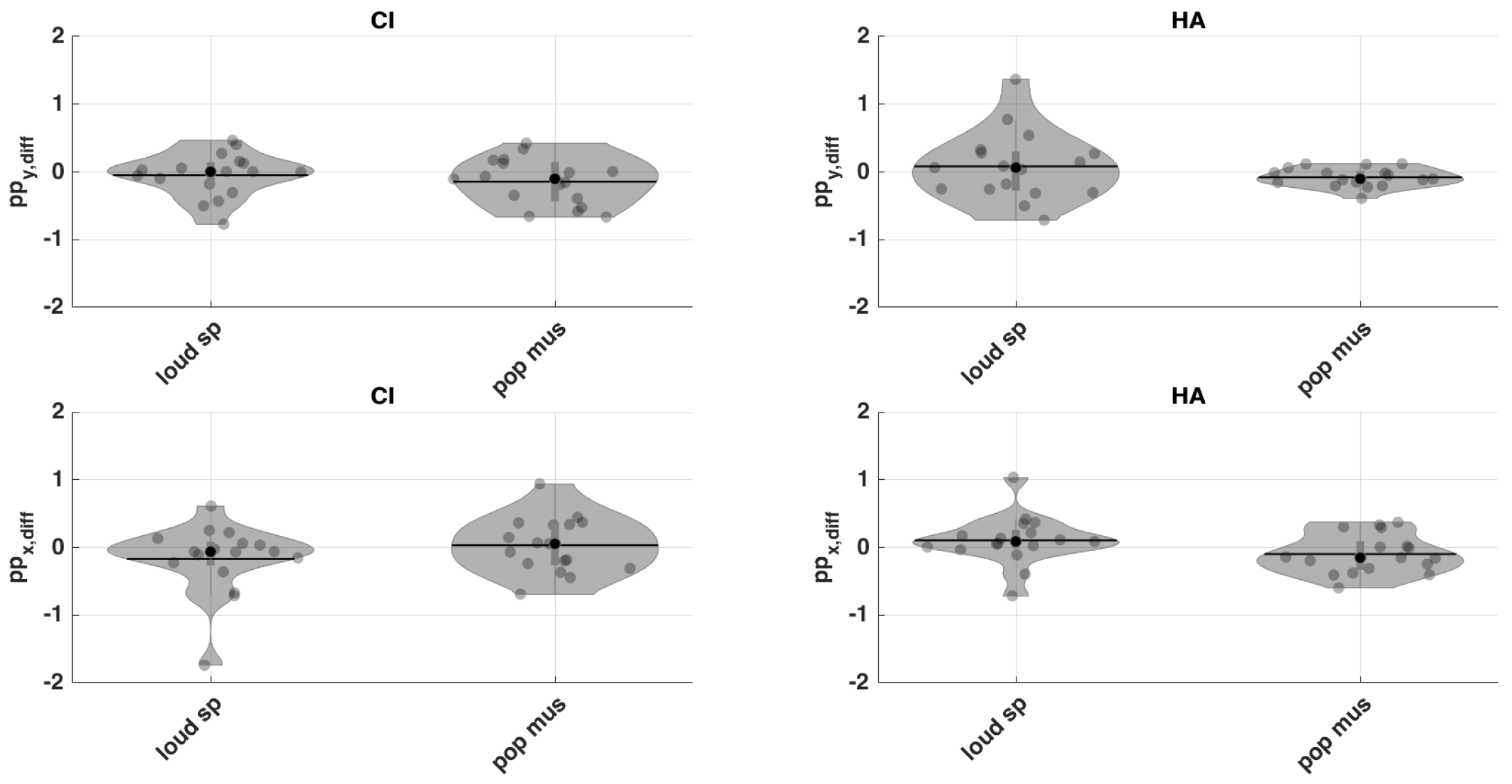
4.6. Reliability of the Self-Fittings
5. Discussion
6. Conclusions
Author Contributions
Funding
Institutional Review Board Statement
Informed Consent Statement
Data Availability Statement
Conflicts of Interest
Appendix A
| Soft Speech | Medium Speech | Loud Speech | Classic Music | Pop Music | Entrance Hall | Street | |
|---|---|---|---|---|---|---|---|
| ID01 | 0 | 0 | 0.3980 | −0.5380 | −0.0270 | NaN | NaN |
| ID02 | −0.0330 | 0.2790 | −0.1190 | 0.4650 | 0 | 0 | −0.1660 |
| ID03 | 0.0530 | −0.0400 | 0.4580 | −0.0130 | −0.1190 | −0.4580 | −0.0460 |
| ID04 | 0.3320 | 0.8160 | 0.4780 | 0.9090 | 0.7830 | 0.8030 | 0.8230 |
| ID05 | −0.2460 | 0 | −0.5770 | −0.4650 | 0.9960 | −0.4050 | 0 |
| ID06 | 0.5840 | 0.5710 | 0.2520 | −0.1590 | 0.0930 | 0.2060 | NaN |
| ID07 | −0.9960 | 0.9960 | −0.0270 | −0.0800 | −0.9960 | −0.4510 | 0.0200 |
| ID08 | 0.0400 | 0 | 0.0130 | 0.0330 | 0 | 0.3920 | −0.1790 |
| ID09 | 0.7570 | 0.4780 | 0.4510 | 0.6110 | 0.5840 | 0.5640 | 0.6640 |
| ID10 | −0.2120 | −0.3780 | 0.4510 | −0.1260 | 0.4840 | −0.1990 | 0.4050 |
| ID11 | −0.3780 | −0.5240 | −0.7770 | 0.6700 | 0.4710 | −0.6700 | −0.0730 |
| ID12 | 0.0930 | −0.5110 | −0.0600 | −0.0330 | 0.0730 | −0.3520 | 0.0660 |
| ID13 | 0.6440 | 0.6900 | 0.7370 | 0.6300 | 0.2460 | 0.3920 | 0.4840 |
| ID14 | −0.2260 | 0.1390 | −0.1530 | 0.2390 | 0.1790 | −0.1860 | −0.2650 |
| ID15 | 0.2520 | 0.0270 | 0.1060 | −0.3380 | −0.4450 | 0.4780 | NaN |
| ID16 | −0.9960 | 0.4380 | −0.9960 | −0.2120 | −0.2120 | −0.1330 | 0.1460 |
| ID17 | −0.2060 | −0.4450 | −0.5310 | −0.6440 | −0.3520 | 0.2790 | 0.5710 |
| ID18 | 0.1260 | 0.1860 | −0.2850 | 0.2650 | 0.4650 | 0.4710 | 0.0400 |
| Soft Speech | Medium Speech | Loud Speech | Classic Music | Pop Music | Entrance Hall | Street | |
|---|---|---|---|---|---|---|---|
| ID01 | 0 | 0 | 0.3580 | 0 | 0 | NaN | NaN |
| ID02 | 0 | 0 | −0.1860 | 0.4650 | 0 | 0 | −0.1660 |
| ID03 | 0.0530 | −0.0400 | 0.4580 | −0.0200 | 0.5110 | −0.4580 | −0.0460 |
| ID04 | 0.6500 | 0 | 0.2390 | 0.5710 | 0.5440 | 0.7170 | 0.8230 |
| ID05 | −0.5310 | −0.4650 | 0.3780 | −0.4650 | −0.3980 | −0.5910 | 0 |
| ID06 | 0.0400 | 0.0600 | 0.0860 | 0.2120 | 0 | 0.0930 | NaN |
| ID07 | 0.9490 | 0.1190 | −0.0460 | −0.0800 | 0.0860 | −0.4510 | 0.0200 |
| ID08 | 0 | 0 | 0 | 0 | 0 | −0.4250 | 0 |
| ID09 | 0.3380 | 0.0200 | 0.0730 | 0.4180 | 0.3850 | 0.1000 | 0.1000 |
| ID10 | −0.4050 | −0.1660 | 0.4780 | −0.1790 | 0.5440 | −0.1990 | 0.7830 |
| ID11 | −0.3780 | −0.5240 | −0.7770 | 0.6700 | 0.4710 | −0.6700 | −0.0730 |
| ID12 | −0.1460 | −0.0460 | −0.5970 | −0.2720 | −0.4780 | −0.0200 | −0.1920 |
| ID13 | −0.0130 | 0 | 0.3190 | −0.0800 | 0.1920 | −0.2320 | 0.0460 |
| ID14 | −0.2260 | 0.1920 | −0.1530 | 0.2390 | 0.1790 | −0.1860 | −0.2650 |
| ID15 | 0.0460 | 0.1460 | 0.1790 | 0 | −0.2460 | −0.1530 | NaN |
| ID16 | −0.9960 | 0.2650 | 0.3120 | 0.3120 | 0.5180 | 0.4580 | 0.1460 |
| ID17 | 0.3320 | 0 | 0.0600 | 0.0530 | 0.0200 | −0.1660 | 0.2590 |
| ID18 | 0.1260 | 0.1860 | −0.2920 | −0.0330 | 0.4650 | 0.4710 | 0.0400 |
| Soft Speech | Medium Speech | Loud Speech | Classic Music | Pop Music | Entrance Hall | Street | |
|---|---|---|---|---|---|---|---|
| ID01 | 0 | 0 | −0.3920 | 0 | 0 | NaN | NaN |
| ID02 | 0 | 0 | 0 | 0 | 0 | 0 | 0 |
| ID03 | 0.1000 | −0.0200 | 0.0800 | −0.0930 | 0 | −0.0860 | −0.9030 |
| ID04 | 0.4450 | 0 | 0 | 0 | 0 | 0 | 0 |
| ID05 | 0.1130 | 0 | −0.2790 | −0.4710 | 0 | 0 | 0 |
| ID06 | 0.6700 | 0.6440 | 0.5770 | 0.4510 | 0.6170 | 0.1330 | NaN |
| ID07 | −0.1130 | 0.0270 | −0.0730 | −0.0200 | −0.2790 | 0.9960 | −0.0200 |
| ID08 | 0 | 0 | 0 | 0 | 0 | −0.0330 | 0 |
| ID09 | 0.5640 | 0.3250 | 0.3320 | −0.2260 | 0.5910 | −0.0330 | 0.5310 |
| ID10 | 0.5040 | 0.4650 | 0.4840 | 0.6440 | 0.6040 | 0.8300 | 0.4050 |
| ID11 | 0.5570 | 0.5910 | 0.5970 | 0.6170 | 0.1460 | −0.1000 | −0.2120 |
| ID12 | 0.2650 | −0.0800 | −0.3380 | −0.4110 | 0.2260 | 0.4110 | −0.0270 |
| ID13 | 0.4250 | 0.7040 | 0.4780 | 0.5240 | 0.4180 | 0.1990 | 0.4780 |
| ID14 | 0 | 0 | −0.2260 | 0.1260 | 0.0730 | 0 | −0.3520 |
| ID15 | 0.1730 | 0.1530 | 0.2390 | 0.0800 | 0.2390 | 0.1190 | NaN |
| ID16 | 0.9960 | −0.3720 | 0.9960 | 0.3190 | −0.1920 | −0.0270 | 0.2190 |
| ID17 | 0.0930 | 0 | −0.2850 | −0.3050 | 0 | 0.0070 | −0.1660 |
| ID18 | 0.0800 | 0.1790 | −0.2590 | −0.1330 | −0.1130 | −0.0660 | 0.2920 |
| Soft Speech | Medium Speech | Loud Speech | Classic Music | Pop Music | Entrance Hall | Street | |
|---|---|---|---|---|---|---|---|
| ID01 | 0 | 0 | −0.4580 | 0 | 0 | NaN | NaN |
| ID02 | 0 | 0 | 0 | 0 | 0 | 0 | 0 |
| ID03 | 0.1000 | −0.0200 | 0.0800 | −0.0930 | 0 | −0.0860 | −0.9030 |
| ID04 | 0.2320 | 0 | 0 | 0 | 0 | 0 | 0 |
| ID05 | −0.2060 | 0 | −0.0130 | −0.4710 | 0 | −0.4380 | 0 |
| ID06 | 0.2650 | 0.3250 | 0.3050 | 0.4310 | 0.2590 | −0.0730 | NaN |
| ID07 | 0.9890 | 0.8760 | −0.1130 | −0.0400 | −0.1130 | 0.9960 | −0.0200 |
| ID08 | 0 | −0.0130 | 0 | 0 | 0 | 0 | 0 |
| ID09 | 0.3850 | 0.1390 | −0.1660 | −0.0660 | 0.4450 | −0.0330 | −0.0400 |
| ID10 | 0.8160 | 0.5570 | 0.3920 | 0.3190 | 0.5510 | 0.8300 | 0.7170 |
| ID11 | 0.5570 | 0.5910 | 0.5970 | 0.6170 | 0.1460 | −0.1000 | −0.2120 |
| ID12 | −0.5710 | 0.1000 | −0.0200 | 0.0070 | −0.4450 | −0.5640 | −0.4180 |
| ID13 | −0.0600 | −0.0460 | −0.1060 | 0.0070 | 0.0400 | 0.1990 | 0 |
| ID14 | 0 | 0 | −0.2260 | 0.1260 | 0.0730 | 0 | −0.3520 |
| ID15 | 0.1730 | 0.0800 | 0 | −0.1390 | 0.2390 | 0.1190 | NaN |
| ID16 | 0.9960 | 0.5970 | 0.4250 | 0.5840 | 0.3980 | 0.2650 | 0.2190 |
| ID17 | 0.0270 | 0 | −0.0400 | −0.2120 | 0 | −0.1990 | −0.0930 |
| ID18 | 0.0800 | 0.1790 | −0.2390 | −0.4510 | −0.1130 | −0.0660 | 0.2920 |
| Soft Speech | Medium Speech | Loud Speech | Classic Music | Pop Music | Entrance Hall | Street | |
|---|---|---|---|---|---|---|---|
| ID01 | 0 | 0 | 0.1460 | 0 | 0 | NaN | NaN |
| ID02 | −0.0270 | −0.2190 | 0.1530 | 0.0530 | 0 | 0 | −0.5840 |
| ID03 | 0.4840 | 0.4650 | −0.0860 | −0.5110 | −0.0200 | −0.5240 | −0.4510 |
| ID04 | −0.5710 | −0.3190 | −0.9620 | −0.5110 | −0.2790 | −0.0660 | −0.5570 |
| ID05 | −0.1920 | 0 | −0.3850 | −0.5840 | 0 | −0.2060 | 0 |
| ID06 | 0.5840 | 0.5910 | 0.4380 | 0.6300 | 0.6240 | 0.0860 | NaN |
| ID07 | −0.9760 | −0.9890 | −0.1330 | 0.0460 | −0.8960 | −0.9090 | −0.1460 |
| ID08 | 0 | 0 | 0 | 0 | −0.0860 | 0.5180 | −0.2260 |
| ID09 | 0.3850 | 0.3050 | 0.1860 | 0.6300 | 0.3380 | −0.0130 | −0.2720 |
| ID10 | 0.3380 | 0.4180 | −0.4840 | 0.3920 | −0.4840 | −0.1590 | −0.6300 |
| ID11 | 0.6570 | 0.5970 | 0.5640 | 0.6840 | 0.7370 | −0.1590 | 0.5310 |
| ID12 | −0.5510 | −0.7300 | −0.3250 | −0.4980 | −0.0860 | 0.4710 | −0.5240 |
| ID13 | 0.3780 | 0 | 0.6110 | 0.0330 | −0.0330 | 0.4110 | 0.3920 |
| ID14 | 0 | 0 | −0.5040 | −0.1330 | −0.1130 | 0 | 0.2260 |
| ID15 | −0.2460 | −0.2320 | −0.2060 | 0.2460 | 0 | −0.3920 | NaN |
| ID16 | 0.9960 | 0.8160 | 0.7370 | 0.9960 | 0.9960 | −0.8230 | 0.0860 |
| ID17 | 0.7570 | 0.3850 | 0.5180 | 0.5040 | 0.6900 | −0.3980 | −0.3850 |
| ID18 | 0.2260 | 0.1000 | −0.2390 | −0.1460 | −0.5510 | −0.0730 | 0.2790 |
| Soft Speech | Medium Speech | Loud Speech | Classic Music | Pop Music | Entrance Hall | Street | |
|---|---|---|---|---|---|---|---|
| ID01 | 0 | 0 | 0.2790 | −0.5710 | −0.2460 | NaN | NaN |
| ID02 | −0.0600 | 0 | 0.1460 | 0.0530 | 0 | 0 | −0.5840 |
| ID03 | 0.4840 | 0.4650 | −0.0860 | −0.5110 | −0.4910 | −0.5240 | −0.4510 |
| ID04 | −0.5240 | 0.4110 | −0.4650 | −0.4980 | −0.7370 | 0.0070 | −0.5570 |
| ID05 | −0.4180 | 0 | −0.0270 | −0.5840 | −0.1920 | −0.5180 | 0 |
| ID06 | 0.6500 | 0.1130 | 0.5310 | 0.4910 | 0.1130 | −0.0800 | NaN |
| ID07 | 0.1330 | 0.0330 | −0.1530 | 0.0460 | 0.9760 | −0.9960 | −0.1460 |
| ID08 | 0.0130 | 0 | 0 | −0.0330 | 0 | −0.2390 | 0 |
| ID09 | 0.1590 | 0.1060 | −0.1000 | 0.1860 | 0.1060 | −0.3120 | −0.4580 |
| ID10 | 0.6640 | 0.5910 | −0.3580 | 0.6240 | −0.7900 | −0.1590 | −0.7300 |
| ID11 | 0.6570 | 0.5970 | 0.5640 | 0.6970 | 0.7370 | −0.1590 | 0.5310 |
| ID12 | −0.4110 | −0.4650 | −0.6110 | −0.1460 | −0.5840 | −0.6700 | −0.8630 |
| ID13 | 0 | 0.5440 | −0.0270 | 0.6370 | −0.0070 | 0.4110 | 0.3920 |
| ID14 | 0 | 0 | −0.5040 | −0.1330 | −0.1130 | 0 | 0.2260 |
| ID15 | 0.2060 | −0.1920 | 0.1460 | 0.2590 | 0.1390 | 0.1190 | NaN |
| ID16 | 0.9960 | −0.0600 | 0.9560 | 0.0270 | 0.4180 | 0.1060 | 0.0930 |
| ID17 | −0.3380 | 0 | −0.2790 | 0.2320 | −0.3780 | −0.0400 | 0.1730 |
| ID18 | 0.2120 | 0.1000 | −0.2460 | −0.1260 | −0.5510 | −0.0730 | 0.2790 |
| Soft Speech | Medium Speech | Loud Speech | Classic Music | Pop Music | Entrance Hall | Street | |
|---|---|---|---|---|---|---|---|
| ID01 | 0.1360 | 0 | 0 | 0 | 0 | NaN | NaN |
| ID02 | 0.4470 | 0.0960 | −0.6540 | −0.2870 | 0 | 0.2870 | 0 |
| ID03 | −0.2430 | −0.2790 | −0.8820 | −0.3630 | −0.2120 | v0.0440 | 0.3350 |
| ID04 | 0.8500 | 0.1680 | −0.0400 | 0.2630 | 0.0840 | 0.2310 | 0.4350 |
| ID05 | 0.3270 | −0.4390 | −0.9100 | −0.5830 | −0.9980 | −0.9980 | −0.2430 |
| ID06 | 0.4230 | 0.3870 | 0.8060 | 0.3230 | 0.7700 | 0.8820 | NaN |
| ID07 | 0.9380 | −0.2390 | −0.9340 | 0.0520 | −0.5870 | 0 | 0 |
| ID08 | 0 | 0 | −0.4830 | 0.0680 | 0.0800 | 0.2000 | −0.3390 |
| ID09 | 0.4230 | 0.1920 | 0.2120 | 0.3590 | 0.1320 | 0.3710 | 0.4070 |
| ID10 | −0.1840 | 0.1640 | 0.2630 | 0.4990 | 0.4110 | 0.4510 | 0.3430 |
| ID11 | 0.3470 | 0 | −0.3630 | −0.2750 | −0.1600 | 0.4670 | −0.1120 |
| ID12 | 0.7620 | 0.1880 | 0.4750 | 0.2390 | 0.3350 | 0.7540 | 0.9940 |
| ID13 | 0.9300 | 0.1040 | 0.1240 | 0.2190 | 0.9660 | −0.1560 | 0.9860 |
| ID14 | 0.6470 | 0.1240 | −0.4790 | −0.2430 | −0.0160 | 0.2910 | 0.4150 |
| ID15 | 0.2000 | 0.1280 | 0.1880 | 0.0480 | 0.0920 | 0.3430 | NaN |
| ID16 | −0.9980 | 0.4110 | 0.6430 | 0.6980 | 0.6110 | −0.6350 | 0.9980 |
| ID17 | 0.2590 | 0 | 0.2950 | 0.1240 | 0 | 0.3870 | 0 |
| ID18 | 0.3630 | 0 | 0.3470 | 0.5710 | 0 | 0.1640 | 0.2430 |
| Soft Speech | Medium Speech | Loud Speech | Classic Music | Pop Music | Entrance Hall | Street | |
|---|---|---|---|---|---|---|---|
| ID01 | 0.1200 | 0 | 0 | 0 | 0 | NaN | NaN |
| ID02 | 0.1200 | 0.0880 | −0.6540 | −0.2870 | 0 | 0.2870 | 0 |
| ID03 | 0.1520 | −0.1040 | −0.8820 | 0.1560 | 0.2670 | 0.3430 | 0.5870 |
| ID04 | 0.8180 | 0.1760 | 0.1240 | 0.0280 | 0.2350 | 0.2350 | 0.4350 |
| ID05 | 0.7460 | 0.8220 | 0.3150 | 0.4990 | 0.7420 | 0.8260 | 0.6310 |
| ID06 | 0.5510 | −0.1440 | 0.1680 | 0.0160 | 0.2120 | 0.1440 | NaN |
| ID07 | 0.9340 | −0.1640 | 0.1080 | 0.0760 | 0.0760 | 0 | 0 |
| ID08 | 0 | 0.0080 | −0.7700 | 0 | 0 | −0.0160 | −0.3710 |
| ID09 | 0.0960 | −0.0080 | −0.0840 | 0.0560 | −0.0320 | 0.0680 | 0.1160 |
| ID10 | −0.1840 | 0.1640 | 0.1080 | 0.4990 | 0.4110 | 0.4510 | 0.3070 |
| ID11 | 0.3470 | 0 | −0.3630 | −0.2750 | −0.6820 | 0.0600 | −0.5390 |
| ID12 | 0.2430 | −0.1400 | −0.1600 | −0.4190 | −0.2040 | 0.2430 | 0.4030 |
| ID13 | −0.1480 | −0.1800 | −0.0360 | −0.4430 | 0.0680 | −0.1560 | 0 |
| ID14 | 0.4030 | 0.0240 | −0.4790 | −0.2430 | −0.2080 | 0.2910 | 0.4150 |
| ID15 | −0.1800 | −0.2270 | −0.2350 | −0.2310 | −0.0840 | −0.0320 | NaN |
| ID16 | −0.9980 | 0.1680 | 0.2910 | −0.0520 | −0.0360 | 0.7340 | 0.9980 |
| ID17 | 0.3790 | 0 | −0.0400 | 0.2430 | 0 | 0.4510 | 0 |
| ID18 | −0.3750 | −0.5870 | −0.0880 | −0.0880 | −0.5390 | 0.1640 | −0.2080 |
| Soft Speech | Medium Speech | Loud Speech | Classic Music | Pop Music | Entrance Hall | Street | |
|---|---|---|---|---|---|---|---|
| ID01 | −0.5300 | 0.1880 | −0.0070 | −0.5680 | −0.7250 | NaN | NaN |
| ID02 | −0.7560 | −0.2840 | −0.2320 | −0.5440 | −0.1500 | −0.4070 | −0.5500 |
| ID03 | 0.1230 | 0.7560 | 0.3450 | 0.3280 | 0.4960 | 0.2390 | 0.6940 |
| ID04 | −0.0410 | −0.0030 | −0.3930 | −0.7560 | −0.5850 | −0.8170 | −0.6970 |
| ID05 | 0.5440 | 0 | −0.1300 | −0.4270 | −0.3690 | −0.1260 | 0.3010 |
| ID06 | 0.7490 | 0.7210 | 0.3860 | −0.0440 | 0.0890 | 0.6870 | NaN |
| ID07 | −0.7320 | −0.7930 | −0.8440 | −0.6970 | −0.7420 | −0.7110 | −0.8000 |
| ID08 | −0.5260 | −0.1330 | −0.6360 | −0.4340 | −0.0340 | −0.1780 | −0.6050 |
| ID09 | −0.4680 | −0.5400 | −0.6500 | −0.7250 | −0.6120 | −0.6050 | −0.6430 |
| ID10 | 0.4960 | −0.0030 | 0.1330 | 0.5160 | 0.2320 | 0.1440 | −0.1300 |
| ID11 | −0.7380 | 0.4790 | 0.6290 | −0.8140 | 0.6770 | 0.4920 | 0.4580 |
| ID12 | −0.8380 | −0.8960 | −0.7620 | −0.7730 | −0.9300 | −0.5850 | −0.8680 |
| ID13 | −0.9710 | −0.9570 | −0.7250 | −0.8750 | −0.9710 | −0.8920 | −0.7970 |
| ID14 | −0.0550 | −0.0030 | −0.0650 | 0.3350 | 0 | 0.1230 | 0.1330 |
| ID15 | 0.6020 | 0.1330 | 0.1470 | 0.5300 | 0.4920 | −0.5300 | −0.4510 |
| ID16 | 0.7320 | −0.4620 | −0.8960 | 0.2430 | 0.7490 | 0.0510 | 0.5400 |
| ID17 | −0.7150 | −0.6530 | −0.8240 | −0.5780 | −0.3930 | 0.4410 | −0.7900 |
| ID18 | 0.6970 | −0.1470 | −0.4820 | 0.5910 | −0.1500 | 0.0030 | −0.0750 |
| Soft Speech | Medium Speech | Loud Speech | Classic Music | Pop Music | Entrance Hall | Street | |
|---|---|---|---|---|---|---|---|
| ID01 | 0 | 0 | −0.3420 | 0.1850 | 0 | NaN | NaN |
| ID02 | −0.7560 | −0.2840 | −0.2320 | −0.5440 | −0.1500 | −0.4070 | −0.5500 |
| ID03 | −0.3420 | 0.7760 | −0.0030 | −0.3320 | −0.1130 | −0.0210 | 0.0680 |
| ID04 | −0.0410 | −0.0030 | 0.3930 | −0.4650 | −0.5850 | −0.8170 | −0.6970 |
| ID05 | −0.3380 | −0.0440 | −0.4820 | −0.2360 | −0.1680 | −0.6840 | −0.4620 |
| ID06 | −0.7040 | −0.4310 | −0.6360 | −0.0100 | −0.3620 | −0.6840 | NaN |
| ID07 | −0.7320 | −0.7930 | −0.8440 | −0.6970 | −0.7930 | −0.7110 | −0.8000 |
| ID08 | 0.6740 | 0.1440 | 0.6800 | 0.5910 | 0 | 0.1950 | 0.5880 |
| ID09 | 0.2740 | 0.0890 | 0.2460 | 0.0990 | −0.2360 | 0.5540 | 0.5470 |
| ID10 | −0.1400 | −0.0850 | 0.1850 | 0.2700 | −0.1030 | 0.0480 | 0.1260 |
| ID11 | 0.7590 | 0.5090 | 0.6120 | 0.7590 | 0.6800 | 0.4920 | 0.4580 |
| ID12 | −0.5440 | −0.7150 | −0.2260 | −0.3320 | −0.4550 | −0.6870 | −0.3830 |
| ID13 | −0.1950 | −0.1570 | −0.0510 | −0.3760 | −0.4650 | −0.3250 | −0.1470 |
| ID14 | −0.0550 | −0.0030 | −0.0650 | 0.0310 | 0 | 0.1230 | 0.1330 |
| ID15 | −0.1370 | −0.4720 | −0.2500 | 0 | −0.2800 | 0.0480 | 0.0440 |
| ID16 | 0.9980 | 0.8140 | 0.8510 | 0.9260 | 0.1300 | 0.8270 | 0.5400 |
| ID17 | 0.7900 | 0.7110 | 0.8170 | 0.6290 | 0.3380 | −0.6020 | 0.8140 |
| ID18 | 0.0030 | 0.1950 | −0.8100 | −0.5200 | −0.3730 | 0.0030 | −0.0750 |
| Soft Speech | Medium Speech | Loud Speech | Classic Music | Pop Music | Entrance Hall | Street | |
|---|---|---|---|---|---|---|---|
| ID01 | 0.5400 | −0.1090 | 0.6690 | 0.5570 | 0.7850 | NaN | NaN |
| ID02 | 0.5070 | 0.0300 | −0.3610 | 0.0430 | 0.0930 | 0.1030 | −0.2320 |
| ID03 | 0.2750 | −0.1560 | −0.8550 | −0.4840 | −0.3010 | 0.2620 | 0.7390 |
| ID04 | 0.7880 | −0.2550 | −0.7120 | 0.1420 | −0.2980 | 0.7820 | −0.4240 |
| ID05 | 0.7820 | 0 | 0.8350 | −0.4870 | 0.7650 | 0.7220 | 0.1820 |
| ID06 | −0.1690 | 0.7060 | 0.1860 | 0.2190 | 0.2120 | 0.7520 | NaN |
| ID07 | −0.3180 | −0.0170 | −0.0990 | −0.1460 | −0.0270 | −0.0530 | 0.4080 |
| ID08 | −0.5040 | −0.0600 | −0.7420 | 0.2290 | −0.0660 | 0.0130 | −0.4740 |
| ID09 | 0.3110 | 0.1160 | 0.0960 | 0.2580 | 0.2250 | 0.4770 | 0.4670 |
| ID10 | 0.9240 | 0.5100 | 0.4140 | 0.7350 | 0.5500 | 0.6160 | 0.6060 |
| ID11 | 0.8080 | −0.3050 | −0.5430 | 0.5100 | −0.0660 | −0.1820 | 0.1990 |
| ID12 | 0.8910 | 0.6730 | 0.2720 | 0.5140 | 0.5430 | 0.8550 | 0.8480 |
| ID13 | 0.8950 | 0.9310 | 0.7350 | 0.8280 | 0.8610 | 0.8420 | 0.8280 |
| ID14 | 0.2650 | 0.1360 | −0.1860 | 0.2020 | 0 | 0.2820 | 0 |
| ID15 | −0.2950 | −0.1620 | −0.0100 | −0.2420 | −0.2480 | 0.3880 | −0.2980 |
| ID16 | 0.0700 | 0.7320 | 0.9310 | 0.8880 | −0.0170 | 0.8320 | 0.1560 |
| ID17 | 0.5500 | 0.3110 | −0.1230 | 0.5300 | 0.4310 | 0.0500 | 0.7450 |
| ID18 | 0.0130 | −0.3310 | −0.3150 | −0.0630 | 0.2820 | 0.1860 | 0.1860 |
| Soft Speech | Medium Speech | Loud Speech | Classic Music | Pop Music | Entrance Hall | Street | |
|---|---|---|---|---|---|---|---|
| ID01 | 0 | 0 | −0.4770 | −0.2620 | 0 | NaN | NaN |
| ID02 | 0.5070 | 0.0300 | −0.3610 | 0.0430 | 0.0930 | 0.1030 | −0.2320 |
| ID03 | 0.4970 | 0.6890 | −0.0360 | −0.3410 | 0.0560 | 0.6130 | 0.6660 |
| ID04 | 0.7880 | −0.2550 | 0.6290 | −0.4740 | −0.2980 | 0.7820 | −0.4240 |
| ID05 | −0.3480 | −0.5230 | −0.5900 | 0.5730 | −0.6160 | −0.7350 | −0.4240 |
| ID06 | 0.6000 | 0.6330 | 0.0300 | 0.1720 | 0.1760 | −0.0300 | NaN |
| ID07 | 0.3740 | −0.0170 | −0.0990 | −0.1460 | −0.0270 | −0.0530 | 0.4080 |
| ID08 | −0.5370 | −0.1390 | −0.6820 | 0.2290 | 0 | 0.1060 | −0.4340 |
| ID09 | 0.0860 | 0.0270 | −0.2090 | 0.0430 | 0.0270 | −0.0560 | −0.3410 |
| ID10 | 0.8650 | 0.7020 | 0.4510 | 0.5140 | 0.1660 | 0.2950 | 0.4110 |
| ID11 | 0.7750 | 0.0500 | −0.2580 | 0.1720 | 0.2780 | −0.1820 | 0.1990 |
| ID12 | 0.0530 | 0.0890 | −0.1790 | −0.5470 | −0.3740 | −0.3710 | 0.2150 |
| ID13 | −0.0990 | −0.1460 | 0.0270 | −0.3350 | −0.0830 | −0.0860 | 0.2720 |
| ID14 | 0.2580 | 0.1360 | −0.1860 | −0.0460 | 0 | 0.2820 | 0 |
| ID15 | 0.0730 | −0.4670 | 0.1560 | 0 | −0.0760 | 0.0500 | 0.0530 |
| ID16 | 0.8810 | 0.8120 | 0.9970 | −0.0330 | 0.4240 | 0.7690 | 0.1560 |
| ID17 | −0.0500 | −0.2820 | −0.6200 | −0.0990 | −0.2820 | 0.7650 | 0.0930 |
| ID18 | −0.3310 | −0.3540 | −0.6290 | −0.2750 | −0.2580 | 0.1860 | 0.1860 |
Appendix B
| Loud Speech | Pop Music | |
|---|---|---|
| ID01 | NaN | NaN |
| ID02 | −0.3850 | 0 |
| ID03 | −0.3920 | −0.3580 |
| ID04 | 0.7830 | 0.7570 |
| ID05 | −0.4450 | 0.1390 |
| ID06 | −0.0800 | 0.0070 |
| ID07 | 0.7960 | 0.2790 |
| ID08 | 0 | 0.0070 |
| ID09 | 0.4580 | 0.4250 |
| ID10 | 0.1530 | 0.5310 |
| ID11 | −0.4310 | 0.1190 |
| ID12 | −0.2260 | −0.2520 |
| ID13 | 0.7960 | 0.7230 |
| ID14 | 0 | 0.1590 |
| ID15 | 0.3050 | −0.3190 |
| ID16 | 0.2650 | 0.2650 |
| ID17 | 0.7170 | 0.5310 |
| ID18 | −0.1390 | 0.0070 |
| Loud Speech | Pop Music | |
|---|---|---|
| ID01 | NaN | NaN |
| ID02 | 0.4450 | 0 |
| ID03 | −0.3920 | −0.2120 |
| ID04 | 0.7830 | 0.3920 |
| ID05 | −0.7170 | 0 |
| ID06 | 0.3320 | −0.3050 |
| ID07 | 0.7960 | 0.3320 |
| ID08 | 0 | −0.2460 |
| ID09 | 0 | 0.1990 |
| ID10 | 0.1790 | 0.7830 |
| ID11 | −0.4310 | 0.1190 |
| ID12 | −0.7960 | −0.4450 |
| ID13 | 0.3050 | 0.1000 |
| ID14 | 0 | 0.1590 |
| ID15 | −0.1660 | 0.2520 |
| ID16 | 0.2650 | 0.2650 |
| ID17 | −0.3580 | 0.2120 |
| ID18 | −0.1390 | 0.0070 |
| Loud Speech | Pop Music | |
|---|---|---|
| ID01 | NaN | NaN |
| ID02 | 0 | 0 |
| ID03 | −0.2060 | 0 |
| ID04 | 0.3520 | 0 |
| ID05 | 0 | 0 |
| ID06 | 0.2120 | 0.0660 |
| ID07 | −0.5910 | −0.2260 |
| ID08 | 0 | 0 |
| ID09 | 0.3380 | 0.3720 |
| ID10 | 0.1260 | 0.1000 |
| ID11 | 0.1130 | 0.3520 |
| ID12 | −0.3980 | 0.0330 |
| ID13 | 0.8230 | 0.1190 |
| ID14 | 0 | 0 |
| ID15 | 0.1190 | 0.1530 |
| ID16 | 0.0800 | 0.5380 |
| ID17 | −0.2990 | −0.3450 |
| ID18 | −0.2320 | −0.0270 |
| Loud Speech | Pop Music | |
|---|---|---|
| ID01 | NaN | NaN |
| ID02 | 0 | 0 |
| ID03 | −0.2060 | 0 |
| ID04 | 0.3520 | 0 |
| ID05 | −0.2390 | 0 |
| ID06 | 0.6240 | 0.5110 |
| ID07 | −0.5910 | −0.2320 |
| ID08 | 0 | 0 |
| ID09 | 0 | 0.0600 |
| ID10 | 0.4840 | −0.1660 |
| ID11 | 0.1130 | 0.3520 |
| ID12 | −0.7630 | −0.2720 |
| ID13 | 0.5770 | 0.6370 |
| ID14 | 0 | 0 |
| ID15 | 0.1190 | 0.1530 |
| ID16 | 0.0800 | 0.5380 |
| ID17 | 0 | −0.1660 |
| ID18 | −0.2990 | −0.0270 |
| Loud Speech | Pop Music | |
|---|---|---|
| ID01 | NaN | NaN |
| ID02 | 0 | 0 |
| ID03 | −0.2720 | −0.5380 |
| ID04 | −0.4110 | −0.5640 |
| ID05 | 0 | −0.5840 |
| ID06 | 0.5110 | 0.5970 |
| ID07 | −0.6640 | −0.3380 |
| ID08 | −0.1060 | 0 |
| ID09 | −0.1590 | −0.2060 |
| ID10 | −0.3650 | −0.0730 |
| ID11 | 0.6770 | 0.5180 |
| ID12 | −0.2060 | −0.0070 |
| ID13 | 0.6240 | 0.2920 |
| ID14 | 0 | 0 |
| ID15 | −0.2390 | −0.2720 |
| ID16 | 0.3320 | 0.4580 |
| ID17 | −0.5040 | −0.1590 |
| ID18 | −0.3120 | −0.0860 |
| Loud Speech | Pop Music | |
|---|---|---|
| ID01 | NaN | NaN |
| ID02 | 0.4110 | 0 |
| ID03 | −0.2720 | 0.1260 |
| ID04 | −0.4840 | 0 |
| ID05 | 0 | 0 |
| ID06 | −0.1390 | 0.5710 |
| ID07 | −0.6640 | −0.3380 |
| ID08 | 0.0070 | −0.0130 |
| ID09 | −0.2520 | −0.3920 |
| ID10 | −0.6170 | −0.4310 |
| ID11 | 0.6770 | 0.4710 |
| ID12 | −0.6640 | −0.6700 |
| ID13 | 0.6240 | −0.2060 |
| ID14 | 0 | 0 |
| ID15 | −0.0730 | 0.2260 |
| ID16 | 0.3320 | 0.4580 |
| ID17 | −0.5970 | 0.3190 |
| ID18 | −0.5180 | −0.0860 |
| Loud Speech | Pop Music | |
|---|---|---|
| ID01 | NaN | NaN |
| ID02 | −0.3190 | 0.2830 |
| ID03 | −0.6860 | −0.2550 |
| ID04 | −0.2990 | 0.5230 |
| ID05 | 0.8820 | 0.8740 |
| ID06 | 0.6620 | 0.4510 |
| ID07 | 0 | −0.1720 |
| ID08 | 0.0640 | 0 |
| ID09 | 0.2950 | 0.3350 |
| ID10 | 0.2080 | 0 |
| ID11 | 0.0960 | 0.0240 |
| ID12 | 0.2230 | 0.2910 |
| ID13 | −0.2270 | 0.6390 |
| ID14 | 0 | 0.0120 |
| ID15 | 0.1160 | 0.2670 |
| ID16 | 0.4710 | 0.4910 |
| ID17 | 0 | 0 |
| ID18 | 0.1920 | 0.1840 |
| Loud Speech | Pop Music | |
|---|---|---|
| ID01 | NaN | NaN |
| ID02 | −0.3190 | −0.0200 |
| ID03 | −0.2630 | 0.1280 |
| ID04 | 0.1040 | 0.2910 |
| ID05 | −0.9900 | 0 |
| ID06 | −0.3990 | −0.1760 |
| ID07 | 0 | −0.1720 |
| ID08 | −0.2310 | −0.0280 |
| ID09 | −0.0200 | 0 |
| ID10 | 0.2510 | 0.2000 |
| ID11 | −0.4350 | −0.4790 |
| ID12 | −0.2230 | −0.1280 |
| ID13 | −0.8500 | −0.0600 |
| ID14 | 0 | 0.0120 |
| ID15 | −0.2310 | −0.2590 |
| ID16 | 0.4710 | 0.4910 |
| ID17 | 0 | 0 |
| ID18 | −0.4510 | −0.1800 |
| Loud Speech | Pop Music | |
|---|---|---|
| ID01 | NaN | NaN |
| ID02 | −0.3660 | −0.5230 |
| ID03 | 0.3110 | 0.0510 |
| ID04 | −0.6430 | −0.2770 |
| ID05 | −0.0680 | 0.0750 |
| ID06 | 0.7450 | 0.7790 |
| ID07 | −0.1300 | −0.8100 |
| ID08 | 0.0340 | −0.0890 |
| ID09 | −0.4960 | −0.5440 |
| ID10 | −0.4790 | 0.0850 |
| ID11 | 0.4100 | 0.3380 |
| ID12 | −0.7010 | −0.5640 |
| ID13 | −0.4990 | −0.7350 |
| ID14 | −0.1260 | 0.1950 |
| ID15 | 0.1710 | −0.4480 |
| ID16 | 0.8440 | 0.3860 |
| ID17 | −0.7180 | −0.7250 |
| ID18 | −0.4170 | 0.0340 |
| Loud Speech | Pop Music | |
|---|---|---|
| ID01 | NaN | NaN |
| ID02 | −0.3660 | −0.5230 |
| ID03 | 0.1060 | −0.1060 |
| ID04 | −0.6430 | −0.2770 |
| ID05 | −0.4480 | −0.4620 |
| ID06 | −0.7250 | −0.6940 |
| ID07 | −0.1300 | −0.8100 |
| ID08 | 0.3250 | 0.1400 |
| ID09 | 0.2190 | 0.3620 |
| ID10 | −0.2360 | 0.0480 |
| ID11 | 0.3930 | 0.3760 |
| ID12 | −0.5950 | −0.4620 |
| ID13 | −0.1640 | −0.2190 |
| ID14 | −0.1260 | 0.1950 |
| ID15 | v0.4240 | −0.1200 |
| ID16 | 0.8440 | 0.5330 |
| ID17 | 0.7660 | 0.7150 |
| ID18 | −0.4170 | 0.0340 |
| Loud Speech | Pop Music | |
|---|---|---|
| ID01 | NaN | NaN |
| ID02 | 0.1390 | 0.1950 |
| ID03 | −0.9110 | −0.2350 |
| ID04 | −0.7390 | 0.0930 |
| ID05 | 0.8280 | 0.5800 |
| ID06 | 0.0560 | 0.7390 |
| ID07 | −0.3740 | 0.1290 |
| ID08 | 0.0300 | −0.0730 |
| ID09 | 0.4010 | 0.5700 |
| ID10 | 0.5100 | 0.2090 |
| ID11 | −0.1130 | 0.6000 |
| ID12 | 0.2680 | 0.3680 |
| ID13 | 0.3310 | 0.7290 |
| ID14 | −0.0070 | 0.0100 |
| ID15 | −0.4770 | 0.3350 |
| ID16 | 0.7750 | 0.6390 |
| ID17 | −0.0700 | 0.6200 |
| ID18 | −0.3150 | −0.1420 |
| Loud Speech | Pop Music | |
|---|---|---|
| ID01 | NaN | NaN |
| ID02 | 0.1390 | 0.1950 |
| ID03 | −0.8120 | −0.0660 |
| ID04 | −0.7390 | 0.0930 |
| ID05 | −0.6760 | −0.4110 |
| ID06 | 0.3350 | 0.1920 |
| ID07 | −0.3740 | 0.1290 |
| ID08 | 0.0300 | −0.0630 |
| ID09 | 0.0430 | 0.0430 |
| ID10 | 0.3010 | 0.3180 |
| ID11 | −0.5860 | 0.1590 |
| ID12 | −0.2150 | −0.1520 |
| ID13 | −0.0360 | 0.1230 |
| ID14 | −0.0070 | 0.0100 |
| ID15 | −0.1290 | −0.0270 |
| ID16 | 0.4570 | 0.3110 |
| ID17 | −0.3640 | −0.1660 |
| ID18 | −0.3150 | −0.1420 |
References
- Lai, Y.H.; Liu, T.C.; Li, P.C.; Shih, W.T.; Young, S.T. Development and Preliminary Verification of a Mandarin-Based Hearing-Aid Fitting Strategy. PLoS ONE 2013, 8, e80831. [Google Scholar] [CrossRef] [PubMed]
- Scollie, S.; Seewald, R.; Cornelisse, L.; Moodie, S.; Bagatto, M.; Laurnagaray, D.; Beaulac, S.; Pumford, J. The Desired Sensation Level Multistage Input/Output Algorithm. Trends Amplif. 2005, 9, 159–197. [Google Scholar] [CrossRef] [PubMed]
- Roditi, R.E.; Poissant, S.F.; Bero, E.M.; Lee, D.J. A predictive modelof cochlear implant performance in postlingually deafened adults. Otol. Neurotol. 2009, 30, 449–454. [Google Scholar] [CrossRef] [PubMed]
- Budenz, C.L.; Cosetti, M.K.; Coelho, D.H.; Birenbaum, B.; Babb, J.; Waltzman, S.B.; Roehm, P.C. The effects of cochlear implantation on speech perception in older adults. J. Am. Geriatr. Soc. 2011, 59, 446–453. [Google Scholar] [CrossRef] [PubMed]
- Holden, L.K.; Finley, C.C.; Firszt, J.B.; Holden, T.A.; Brenner, C.; Potts, L.G.; Gotter, B.D.; Vanderhoof, S.S.; Mispagel, K.; Heydebrand, G.; et al. Factors affecting open-set word recognition in adults with cochlear implants. Ear Hear. 2013, 34, 342–360. [Google Scholar] [CrossRef] [PubMed]
- Vroegop, J.L.; Dingemanse, J.G.; van der Schroeff, M.P.; Metselaar, R.M.; Goedegebure, A. Self-Adjustment of Upper Electrical Stimulation Levels in CI Programming and the Effect on Auditory Functioning. Ear Hear. 2017, 38, e232–e240. [Google Scholar] [CrossRef] [PubMed]
- Gygi, B.; Hall, D.A. Background sounds and hearing-aid users: A scoping review. Int. J. Audiol. 2016, 55, 1–10. [Google Scholar] [CrossRef] [PubMed]
- Lazard, D.S.; Vincent, C.; Venail, F.; Van de Heyning, P.; Truy, E.; Sterkers, O.; Skarzynski, P.H.; Skarzynski, H.; Schauwers, K.; O’Leary, S.; et al. Pre-, Per- and Postoperative Factors Affecting Performance of Postlinguistically Deaf Adults Using Cochlear Implants: A New Conceptual Model over Time. PLoS ONE 2012, 7, e48739. [Google Scholar] [CrossRef] [PubMed]
- Potts, L.G.; Skinner, M.W.; Litovsky, R.A.; Strube, M.J.; Kuk, F. Recognition and localization of speech by adult cochlear implant recipients wearing a digital hearing aid in the nonimplanted ear (bimodal hearing). J. Am. Acad. Audiol. 2009, 20, 353–373. [Google Scholar] [CrossRef] [PubMed]
- Sucher, C.M.; McDermott, H.J. Bimodal stimulation: Benefits for music perception and sound quality. Cochlear Implant. Int. 2009, 10 (Suppl. 1), 96–99. [Google Scholar] [CrossRef]
- Gößwein, J.A.; Huber, R.; Bruns, T.; Rennies, J.; Kollmeier, B. Audiologist-Supervised Self-Fitting Fine Tuning of Hearing Aids. In Proceedings of the Jahrestagung der Deutschen Gesellschaft für Audiologie, Halle, Germany, 28 February–3 March 2018. Conference Paper 21. [Google Scholar]
- Vaerenberg, B.; Smits, C.; De Ceulaer, G.; Zir, E.; Harman, S.; Jaspers, N.; Tam, Y.; Dillon, M.; Wesarg, T.; Martin-Bonniot, D.; et al. Cochlear Implant Programming: A Global Survey on the State of the Art. Sci. World J. 2004, 2014, 501738. [Google Scholar] [CrossRef] [PubMed]
- Botros, A.M.; Banna, R.; Maruthurkkaral, S. The next generation of Nucleus fitting: A multiplatform approach towards universal cochlear implant management. Int. J. Audiol. 2013, 52, 485–494. [Google Scholar] [CrossRef] [PubMed]
- Sonova, A.G. myPhonak 4.0 Gebrauchsanweisung Version 1.02/2020-06/NLG. 2020. Available online: https://www.phonak.com/content/dam/phonakpro/gc_hq/de/products_solutions/eSolutions/apps/myphonak/documents/User_Guide_myphonak_app.pdf (accessed on 17 April 2023).
- Cochlear Limited. Nucleus Smart App User Guide P1285539 Version 3.0. 2020. Available online: https://www.cochlear.com/4859da8b-1208-45fa-9b51-068522aaf83d/D1654887_4-01_EN_CP1150_Android_App_UG_EMEA_WEB.pdf (accessed on 17 April 2023).
- Dreschler, W.A.; Keidser, G.; Convery, E.; Dillon, H. Client-based adjustments of hearing aid gain: The effect of different control configurations. Ear Hear. 2008, 29, 214–227. [Google Scholar] [CrossRef] [PubMed]
- Rennies, J.; Oetting, D.; Baumgartner, H.; Appell, J.E. User-interface concepts for sound personalization in headphones, Audio Engineering Society. In Proceedings of the Conference of Headphone Technology 2016, Aalborg, Denmark, 24–26 August 2016; pp. 24–26. [Google Scholar]
- Li, T.; Yu, T.; Hawkins, B.S.; Dickersin, K. Design, Analysis, and Reporting of Crossover Trials for Inclusion in a Meta-Analysis. PloS ONE 2015, 10, e0133023. [Google Scholar] [CrossRef] [PubMed]
- Ching, T.Y.C.; Incerti, P.; Hill, M. Binaural Benefits for Adults Who Use Hearing Aids and Cochlear Implants in Opposite Ears. Ear Hear. 2004, 25, 9–21. [Google Scholar] [CrossRef] [PubMed]
- Auletta, G.; Franzè, A.; Laria, C.; Piccolo, C.; Papa, C.; Riccardi, P.; Pisani, D.; Sarnelli, A.; Del Vecchio, V.; Malesci, R.; et al. Integrated Bimodal Fitting for Unilateral CI Users with Residual Contralateral Hearing. Audiol. Res. 2021, 11, 200–206. [Google Scholar] [CrossRef] [PubMed]
- Digeser, F.M.; Englerm, M.; Hoppe, U. Comparison of bimodal benefit for the use of DSL v5.0 and NAL-NL2 in cochlear implant listeners. Int. J. Audiol. 2020, 59, 383–391. [Google Scholar] [CrossRef] [PubMed]
- Dorman, M.F.; Loizou, P.; Wang, S.; Zhang, T.; Spahr, A.; Loiselle, L.; Cook, S. Bimodal cochlear implants: The role of acoustic signal level in determining speech perception benefit. Audiol. Neuro-Otol. 2014, 19, 234–238. [Google Scholar] [CrossRef] [PubMed]
- Cohen, J. Statistical Power Analysis for the Behavioral Sciences; Taylor and Francis Group: Hoboken, NJ, USA, 1988. [Google Scholar]
- Kendall, M. Rank Correlation Methods, 4th ed.; Charles Griffin & Company Ltd.: London, UK, 1975. [Google Scholar]
- Kendall, M.; Babington, S.B. On the Method of Paired Comparisons. Biometrika 1940, 31, 324–345. [Google Scholar] [CrossRef]
- Wickelmaier, F.; Schmidt, C. A Matlab function to estimate choice model parameters from paired-comparison data. Behav. Res. Methods Instrum. Comput. 2004, 36, 29–40. [Google Scholar] [CrossRef] [PubMed]













| Mean (Years) | Min (Years) | Max (Years) | |
|---|---|---|---|
| Age at enrollment | 65.7 | 54 | 77 |
| Duration of CI use | 4.7 | 3 | 11 |
| Duration of HA use | 20.6 | 5 | 60 |
| Duration of hearing impairment (first supplied side) | 32.8 | 8 | 67 |
| Duration of profound hearing loss (CI side) | 9.9 | 3 | 66 |
| Subject ID | 01 | 02 | 03 | 04 | 05 | 06 | 07 | 08 | 09 | 10 | 11 | 12 | 13 | 14 | 15 | 16 | 17 | 18 |
|---|---|---|---|---|---|---|---|---|---|---|---|---|---|---|---|---|---|---|
| left | CI | CI | HA | CI | HA | HA | CI | CI | CI | CI | CI | CI | CI | HA | CI | CI | CI | HA |
| right | HA | HA | CI | HA | CI | CI | HA | HA | HA | HA | HA | HA | HA | CI | HA | HA | HA | CI |
| Filter Bank Bin | 1 | 2 | 3 | 4 | 5 | 6 | 7 | 8 | 9 | 10 |
|---|---|---|---|---|---|---|---|---|---|---|
| center frequency [Hz] | 172 | 345 | 517 | 689 | 861 | 1034 | 1206 | 1378 | 1550 | 1723 |
| EQ-bass | 0.9667 | 0.8 | 0.4667 | 0.1333 | 0.0 | 0.0 | 0.0 | 0.0 | 0.0 | 0.0 |
| EQ-mid | 0.0333 | 0.2 | 0.5333 | 0.8667 | 1.0 | 0.97 | 0.93 | 0.87 | 0.73 | 0.6 |
| EQ-treble | 0.0 | 0.0 | 0.0 | 0.0 | 0.0 | 0.03 | 0.07 | 0.13 | 0.27 | 0.4 |
| 2D-Surface | −1.0 | −1.0 | −0.8416 | −0.5918 | −0.3979 | −0.2396 | −0.1057 | 0.0103 | 0.1595 | 0.3255 |
| Filter Bank Bin | 11 | 12 | 13 | 14 | 15 | 16 | 17 | 18 | 19 | 20 |
| center frequency [Hz] | 1981 | 2326 | 2670 | 3015 | 3445 | 4048 | 4823 | 5943 | 7494 | 9647 |
| EQ-bass | 0.0 | 0.0 | 0.0 | 0.0 | 0.0 | 0.0 | 0.0 | 0.0 | 0.0 | 0.0 |
| EQ-mid | 0.47 | 0.37 | 0.23 | 0.13 | 0.0667 | 0.03 | 0.03 | 0.0 | 0.0 | 0.0 |
| EQ-treble | 0.53 | 0.63 | 0.77 | 0.87 | 0.9333 | 0.97 | 0.97 | 1.0 | 1.0 | 1.0 |
| 2D-Surface | 0.4648 | 0.5848 | 0.7147 | 0.8486 | 0.9825 | 1.0 | 1.0 | 1.0 | 1.0 | 1.0 |
| Parameter | Std | Mean |
|---|---|---|
| 0.41 | −0.05 | |
| 0.37 | −0.03 | |
| 0.41 | 0.05 | |
| 0.32 | 0.04 | |
| 0.46 | −0.06 | |
| 0.46 | −0.06 |
| Parameter | Corr | Pro |
|---|---|---|
| and | 0.62 | < |
| and | 0.59 | < |
| and | 0.52 | < |
| and | 0.41 | < |
| and | 0.31 | < |
| and | 0.31 | < |
Disclaimer/Publisher’s Note: The statements, opinions and data contained in all publications are solely those of the individual author(s) and contributor(s) and not of MDPI and/or the editor(s). MDPI and/or the editor(s) disclaim responsibility for any injury to people or property resulting from any ideas, methods, instructions or products referred to in the content. |
© 2023 by the authors. Licensee MDPI, Basel, Switzerland. This article is an open access article distributed under the terms and conditions of the Creative Commons Attribution (CC BY) license (https://creativecommons.org/licenses/by/4.0/).
Share and Cite
Kliesch, S.; Chalupper, J.; Lenarz, T.; Büchner, A. Evaluation of Two Self-Fitting User Interfaces for Bimodal CI-Recipients. Appl. Sci. 2023, 13, 8411. https://doi.org/10.3390/app13148411
Kliesch S, Chalupper J, Lenarz T, Büchner A. Evaluation of Two Self-Fitting User Interfaces for Bimodal CI-Recipients. Applied Sciences. 2023; 13(14):8411. https://doi.org/10.3390/app13148411
Chicago/Turabian StyleKliesch, Sven, Josef Chalupper, Thomas Lenarz, and Andreas Büchner. 2023. "Evaluation of Two Self-Fitting User Interfaces for Bimodal CI-Recipients" Applied Sciences 13, no. 14: 8411. https://doi.org/10.3390/app13148411
APA StyleKliesch, S., Chalupper, J., Lenarz, T., & Büchner, A. (2023). Evaluation of Two Self-Fitting User Interfaces for Bimodal CI-Recipients. Applied Sciences, 13(14), 8411. https://doi.org/10.3390/app13148411

