Life Assessment for Motorized Spindle with Zero Traumatic Failure Data Based on Subdistribution Competing Risk Model
Abstract
1. Introduction
2. Construction of Subdistribution Competing Risk Model with Zero Traumatic Failure Data
2.1. Subdistribution Competing Risk Model
2.2. Construction of Subdistribution Competing Risk Model with Zero Traumatic Failure Data
2.2.1. Collection of Product Degradation Information with Zero Traumatic Failure Data
2.2.2. Basic Reliability Modeling with Zero Traumatic Failure Data Based on Unilateral Confidence Limit
2.2.3. Regression Coefficient Calculation of Subdistribution Competing Risk Model Based on Performance Degradation Data
2.2.4. Reliability Life Assessment of Products Based on Subdistribution Competing Risk Model
3. Case Analysis
3.1. Collection of Degradation Information of Motorized Spindle
3.2. Reliability Model Obtained by the Modified Maximum Likelihood Estimation Method
3.3. Construction of Subdistribution Competing Risk Model for Motorized Spindle with Zero Traumatic Failure Data
3.4. Testing of Model Goodness-of-Fit
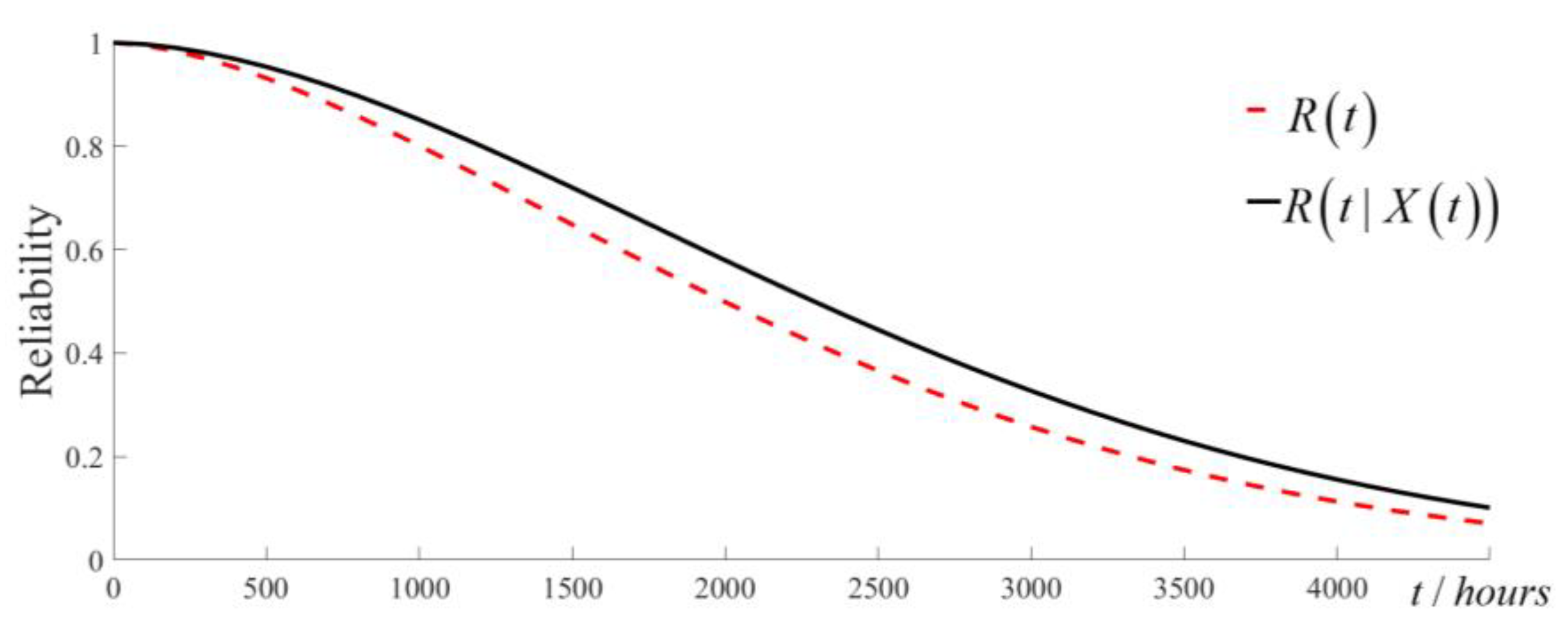
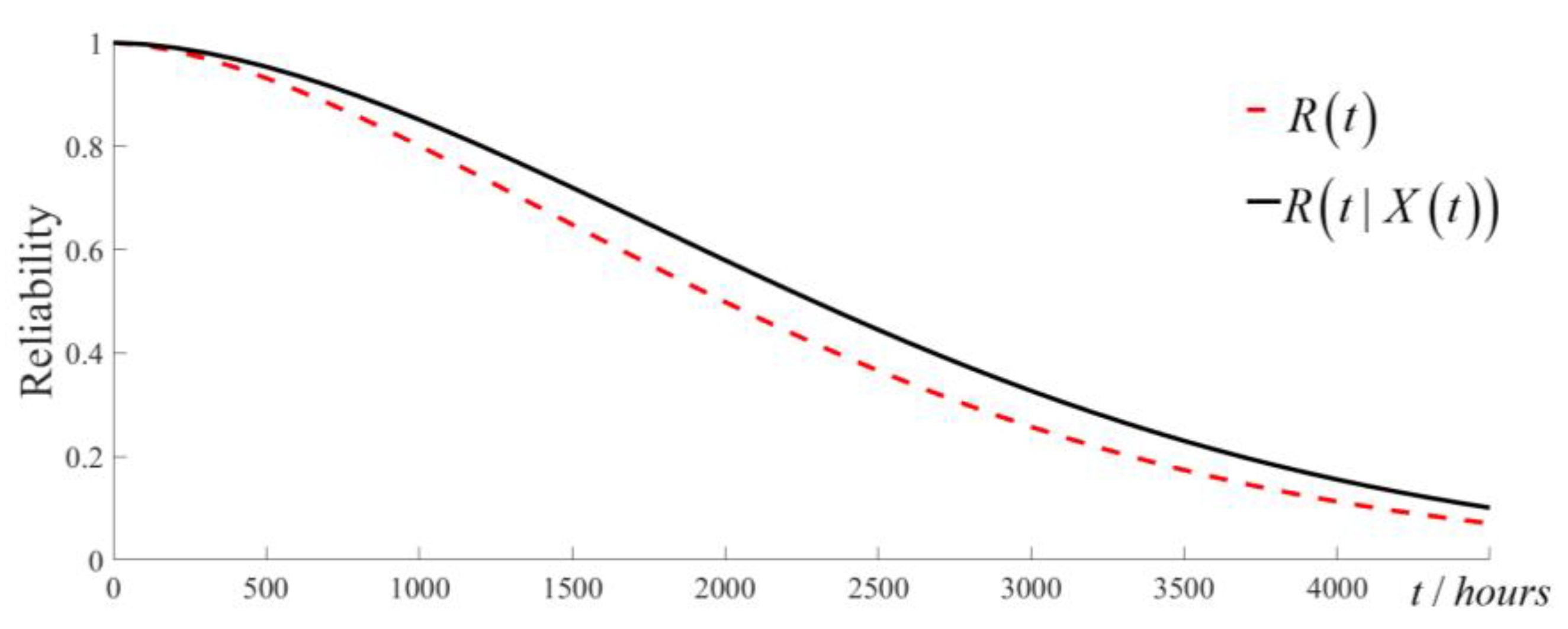
3.5. Life Assessment of Motorized Spindle Based on Subdistribution Competing Risk Model
4. Analysis
5. Conclusions
- (1)
- Aimed at fixed time-truncated test with zero traumatic failure data of motorized spindle, supposing that the failure rate ratio of the tested products does not change with time under different stress levels and that performance degradation will lead to traumatic failure, a subdistribution competing risk modeling method from the perspective of competing failure is proposed, and confidence interval estimation of reliability life is obtained. Its modeling principle conforms to the engineering reality.
- (2)
- Assessed the life of motorized spindle, at any reliability value, the reliability life estimated by the subdistribution competing risk model is greater than that estimated by the modified maximum likelihood parameter estimation method. Calculated reliability after one-year use, the reliability estimated by the subdistribution competing risk model is greater than the other one. It indicated that the competing risk model established in this paper is more in line with the engineering practice.
- (3)
- By comparing the reliability values obtained by the two methods, it was found that the maximum difference between the two is 0.08, indicating the rationality of the proposed method. In addition, according to the correlation index test method, the correlation index of the model proposed in this paper is 0.79, and the correlation index of the model obtained by the modified maximum likelihood estimation method is 0.72. This shows that the fitting of the method in this paper is closer to reality.
- (4)
- The model proposed in this article only considered one performance degradation parameter (axial end radial runout). Future research should simultaneously consider more performance degradation parameters in order to comprehensively evaluate its reliability.
Author Contributions
Funding
Institutional Review Board Statement
Informed Consent Statement
Data Availability Statement
Conflicts of Interest
References
- Jia, X.; Wang, X.L.; Guo, B. Reliability assessment for very few failure data and zero-failure data. J. Mech. Eng. Sci. 2016, 52, 182–188. [Google Scholar] [CrossRef]
- Li, H.Y.; Xie, L.Y.; Li, M.; Ren, J.G.; Zhao, B.F.; Zhang, S.J. Reliability assessment of high-quality and long-life products based on zero-failure data. Qual. Reliab. Eng. Int. 2019, 35, 470–482. [Google Scholar] [CrossRef]
- Li, H.Y.; Zheng, Z.Y. Reliability Estimation for Zero-Failure Data Based on Confidence Limit Analysis Method. Math. Probl. Eng. 2020, 2020, 7839432. [Google Scholar] [CrossRef]
- Zhang, C.W. Weibull parameter estimation and reliability analysis with zero-failure data from high-quality products. Reliab. Eng. Syst. Saf. 2021, 207, 107321. [Google Scholar] [CrossRef]
- Fu, H.M.; Zhang, Y.B. Method of reliability analysis for time truncated zero-failure data based on Weibull distribution. J. Aerosp. Power. 2010, 25, 2807–2810. [Google Scholar]
- Jiang, P.; Lim, J.H.; Zuo, M.J.; Guo, B. Reliability estimation in a Weibull lifetime distribution with zero-failure field data. Qual. Reliab. Eng. Int. 2010, 26, 691–701. [Google Scholar] [CrossRef]
- Byeong, M.M.; Chinuk, L.; Seung-gyo, G.; Byung, T.R.; Suk, J.B. A Bayesian approach for predicting functional reliability of one-shot devices. Int. J. Ind. Eng. 2019, 76, 72–82. [Google Scholar]
- Kaufman, L.M.; Johnson, B.W.; Dugan, J.B. Coverage estimation using statistics of the extremes for when testing reveals no failures. IEEE Trans. Comput. 2002, 51, 3–12. [Google Scholar] [CrossRef]
- Kayis, S.A. Evaluation of confidence limit estimates of cluster analysis on molecular marker data. J. Sci. Food Agr. 2012, 92, 776–780. [Google Scholar] [CrossRef] [PubMed]
- Zhan, W.; Niu, S.W. Analysis of confidence lower limits of reliability and hazard rate for electronic stability control systems. Qual. Reliab. Eng. Int. 2013, 29, 621–629. [Google Scholar]
- Han, M. Confidence Limits of Reliability Parameters for Weibull Distribution. J. Mech. Strength 2009, 31, 59–62. [Google Scholar]
- Li, H.Y.; Xie, L.Y.; Li, M.; Li, Q.; Zhong, H. Research on a New Reliability Assessment Method for Zero-Failure Data. Acta Armamentarii 2018, 39, 1622–1631. [Google Scholar]
- Zi, J.J.; Liu, H.Z.; Jiang, X.; Liu, L.L. Reliability Assessment of Electric Spindle Based on degradation Values Distribution. Chin. J. Mech. Eng.-En. 2014, 25, 807–812. [Google Scholar]
- Li, W.H.; Zhou, L.L.; Lu, W.D. Reliability analysis of the sealed relay based on degradation data. IEEJ Trans. Electr. Electron. Eng. 2018, 13, 362–366. [Google Scholar] [CrossRef]
- Wang, X.F.; Wang, B.X.; Wu, W.H.; Hong, Y.L. Reliability analysis for accelerated degradation data based on the Wiener process with random effects. Qual. Reliab. Eng. Int. 2020, 36, 1969–1981. [Google Scholar] [CrossRef]
- Wei, H.; Ronald, G.A. Reliability analysis of electronic devices with multiple competing failure modes involving performance aging degradation. Qual. Reliab. Eng. Int. 2003, 19, 241–254. [Google Scholar]
- Su, C.; Zhang, H. Reliability Assessment Based on Performance Degradation Data and Competing Failure Analysis. J. Mech. Strength 2011, 33, 196–200. [Google Scholar]
- Liu, B.L.; Zhang, Z.Q.; Wen, Y.Q.; Kang, S.G.; Guo, Y.X.; Qiu, Q.A. Reliability analysis for complex systems subject to competing failure processes in an uncertain environment. J. Intell. Fuzzy Syst. 2020, 39, 4331–4339. [Google Scholar] [CrossRef]
- Bian, L.N.; Wang, G.J.; Liu, P. Reliability analysis for multi-component systems with interdependent competing failure processes. Appl. Math. Model. 2021, 94, 446–459. [Google Scholar] [CrossRef]
- Yan, T.; Lei, Y.G.; Li, N.P.; Wang, B.; Wang, W.T. Degradation modeling and remaining useful life prediction for dependent competing failure processes. Reliab. Eng. Syst. Safe. 2021, 212, 107638. [Google Scholar] [CrossRef]
- Zeng, Y.N.; Sun, Y.C. A reliability modeling method for the system subject to common cause failures and competing failures. Qual. Reliab. Eng. Int. 2022, 38, 2533–2547. [Google Scholar] [CrossRef]
- Gao, H.D.; Kong, D.J.; Sun, Y.X. Reliability modeling and analysis for systems governed by multiple competing failures processes. Proc. Inst. Mech. Eng. Part O J. Risk Reliab. 2022, 236, 256–265. [Google Scholar] [CrossRef]
- Wu, J.H.; Xu, D.M. Reliability analysis with competing failure models based on PHM. J. Naval. Univ. Eng. 2007, 19, 46–49. [Google Scholar]
- Su, C. System reliability assessment based on Wiener process and competing failure analysis. J. Southeast Univ. 2010, 26, 405–412. [Google Scholar]
- Chen, Y.X.; Zhang, Q.; Cai, Z.Y.; Wang, L.L. Storage reliability assessment model based on competition failure of multi-components in missile. J. Syst. Eng. Electron. 2017, 28, 606–616. [Google Scholar]
- Qin, L.S.; Chen, X.Y.; Shen, X.J. Reliability assessment of bearings based on competing failure under small sample data. J. Vibr. Shock. 2017, 36, 248–254. [Google Scholar]
- Wang, X.G.; Zhang, X.Y.; Yang, L.J.; Ma, R.M. Tool reliability analysis for wear degradation data under competitive failure conditions. Chin. Mech. Eng. 2020, 31, 1672–1677. [Google Scholar]
- Bentolhoda, J.; Saurabh, J.; Lance, F.; Ravishankar, K.I. Data-Driven Application-Oriented Reliability Model of a High-Performance Computing System. IEEE Trans. Reliab. 2022, 71, 603–615. [Google Scholar]
- Chrisirian, F.S. SPSS Regression Analysis; Electronic Industry Press: Beijing, China, 2015; pp. 218–264. [Google Scholar]
- Qiu, R.H.; Ju, K.L.; Dong, Y.G.; Qu, P.G.; Liu, H.Z. Research on Reliability Test Based on Small Sample Motorized Spindle Performance Degradation. Chin. J. Mech. Eng.-En 2016, 27, 2738–2748. [Google Scholar]
- Jager, K.J.; van Dijk, P.C.; Zoccali, C.; Dekker, F.W. The analysis of survival data: The Kaplan-Meier method. Kidney Int. 2008, 74, 560–565. [Google Scholar] [CrossRef]
- Cox, D.R. Regression models and life-tables. J. R. Stat. Soc. Ser. B 1972, 34, 187–220. [Google Scholar] [CrossRef]
- Li, L.L.; Ma, D.J.; Li, Z.G. Cox-Proportional Hazards Modeling in Reliability Analysis—A Study of Electromagnetic Relays Data. IEEE Trans. Compon. Packag. Manuf. Technol. 2015, 5, 1582–1589. [Google Scholar]
- Tang, Z.Y.; Zhou, C.K.; Jiang, W.; Zhou, W.J.; Jing, X.P.; Yu, J.H.; Alkali, B.; Sheng, B.J. Analysis of significant factors on cable failure using the cox proportional hazard model. IEEE Trans. Power Deliv. 2021, 29, 951–957. [Google Scholar] [CrossRef]
- Mazidi, P.; Bertling, T.; Sanz, B. Wind turbine prognostics and maintenance management based on a hybrid approach of neural networks and a proportional hazards model. Proc. Inst. Mech. Eng. Part O J. Risk Reliab. 2017, 231, 121–129. [Google Scholar] [CrossRef]
- Gray, R.J. Modeling Survival Data: Extending the Cox Model. J. Am. Stat. Assoc. 2002, 97, 353–354. [Google Scholar] [CrossRef]
- Fine, J.P.; Gray, R.J. A proportional hazards model for the subdistribution of a competing risk. JASA 1999, 94, 496–509. [Google Scholar] [CrossRef]
- Chen, J.D.; Sun, W.; Li, B. Confidence Limits in the Case of No Failure Data. Acta Math. Appl. 1995, 18, 90–100. [Google Scholar]
- Cox, D.R. Partial likelihood. Biometrika 1975, 62, 269–276. [Google Scholar] [CrossRef]
- GJB 899A-2009; Reliability Testing for Qualification and Production Acceptance. General Equipment Department: Beijing, China, 2009.





| Time/h | Degradation Test Data | Time/h | Degradation Test Data |
|---|---|---|---|
| 12 | 11.4 | 240 | 12.9 |
| 24 | 11.8 | 252 | 13.2 |
| 36 | 11.3 | 264 | 13.0 |
| 48 | 10.5 | 276 | 13.4 |
| 60 | 10.7 | 288 | 13.4 |
| 72 | 11.8 | 300 | 12.7 |
| 84 | 12.6 | 312 | 13.0 |
| 96 | 12.5 | 324 | 13.3 |
| 108 | 12.7 | 336 | 13.1 |
| 120 | 12.0 | 348 | 13.2 |
| 132 | 12.5 | 360 | 14.2 |
| 144 | 12.4 | 372 | 14.1 |
| 156 | 12.4 | 384 | 15.0 |
| 168 | 12.9 | 396 | 14.4 |
| 180 | 12.2 | 408 | 14.5 |
| 192 | 12.7 | 420 | 14.4 |
| 204 | 13.3 | 432 | 13.4 |
| 216 | 12.4 | 444 | 14.1 |
| 228 | 13.3 | … | … |
| Axial End Runout | Calculation Results |
|---|---|
| β | 0.185 |
| df | 1 |
| EXP(β) | 1.203 |
| p | 0.01 |
| −2log | 31.503 |
| −2log of no-covariates | 66.435 |
| 90% EXP(β) of CI lower | 1.096 |
| 90% EXP(β) of CI upper | 1.306 |
| Reliability | Reliability Life/h | Reliable Life Interval Estimation/h | ||
|---|---|---|---|---|
| 0.368 | 2490 | 2815 | 1985 | 4288 |
| 0.5 | 1997 | 2285 | 1630 | 3454 |
| 0.6 | 1659 | 1902 | 1377 | 2890 |
| 0.7 | 1332 | 1570 | 1130 | 2340 |
| 0.8 | 1000 | 1200 | 870 | 1770 |
| 0.9 | 636 | 770 | 570 | 1140 |
| 0.95 | 411 | 515 | 385 | 750 |
| 0.98 | 233 | 305 | 225 | 432 |
Disclaimer/Publisher’s Note: The statements, opinions and data contained in all publications are solely those of the individual author(s) and contributor(s) and not of MDPI and/or the editor(s). MDPI and/or the editor(s) disclaim responsibility for any injury to people or property resulting from any ideas, methods, instructions or products referred to in the content. |
© 2023 by the authors. Licensee MDPI, Basel, Switzerland. This article is an open access article distributed under the terms and conditions of the Creative Commons Attribution (CC BY) license (https://creativecommons.org/licenses/by/4.0/).
Share and Cite
Zhang, Y.; Zhou, Y.; Chen, B.; Zhang, H. Life Assessment for Motorized Spindle with Zero Traumatic Failure Data Based on Subdistribution Competing Risk Model. Appl. Sci. 2023, 13, 8230. https://doi.org/10.3390/app13148230
Zhang Y, Zhou Y, Chen B, Zhang H. Life Assessment for Motorized Spindle with Zero Traumatic Failure Data Based on Subdistribution Competing Risk Model. Applied Sciences. 2023; 13(14):8230. https://doi.org/10.3390/app13148230
Chicago/Turabian StyleZhang, Yingzhi, Yutong Zhou, Bingkun Chen, and Han Zhang. 2023. "Life Assessment for Motorized Spindle with Zero Traumatic Failure Data Based on Subdistribution Competing Risk Model" Applied Sciences 13, no. 14: 8230. https://doi.org/10.3390/app13148230
APA StyleZhang, Y., Zhou, Y., Chen, B., & Zhang, H. (2023). Life Assessment for Motorized Spindle with Zero Traumatic Failure Data Based on Subdistribution Competing Risk Model. Applied Sciences, 13(14), 8230. https://doi.org/10.3390/app13148230

