Experimental PIV Radial Splitting Study on Expansive Soil during the Drying Process
Abstract
1. Introduction
2. Materials and Methods
2.1. Materials
2.2. Sample Preparation
2.3. Testing Apparatus
2.4. Test Procedure
- (a)
- First, we ensured that the instrument sensor was well connected to the data acquisition system. Then, we placed the sample, which was naturally dried to a certain moisture content, on the base, as shown in Figure 1. We adjusted the universal testing machine button manually, in such a way that the upper platform was in contact with the specimen. We set the parameters of the loading equipment to displacement control and a loading rate of 1.4 mm/min.
- (b)
- We adjusted the position of the floodlights and the CCD camera, and adjusted the focus of the CCD camera to ensure that the clarity of the camera and the field of view were at their optimum.
- (c)
- We started the PIV measurement system, and calibrated the camera with the specially designed calibration plate. The criterion for completion of calibration was that the calibration coefficient was less than 0.3. After calibration, we set the shooting frequency to 7 photos/s. The test was completed after the specimen displayed obvious damage.
- (d)
- At the end of the test, we obtained a load–displacement curve and selected images for the beginning and end moments of each deformation stage during the damage of the specimen. We compared and analyzed these images using the PIV image analysis system, which comes with the appropriate test equipment to obtain a map of the soil deformation field and the displacement vectors of the specimen during crack development.
3. Results and Discussion
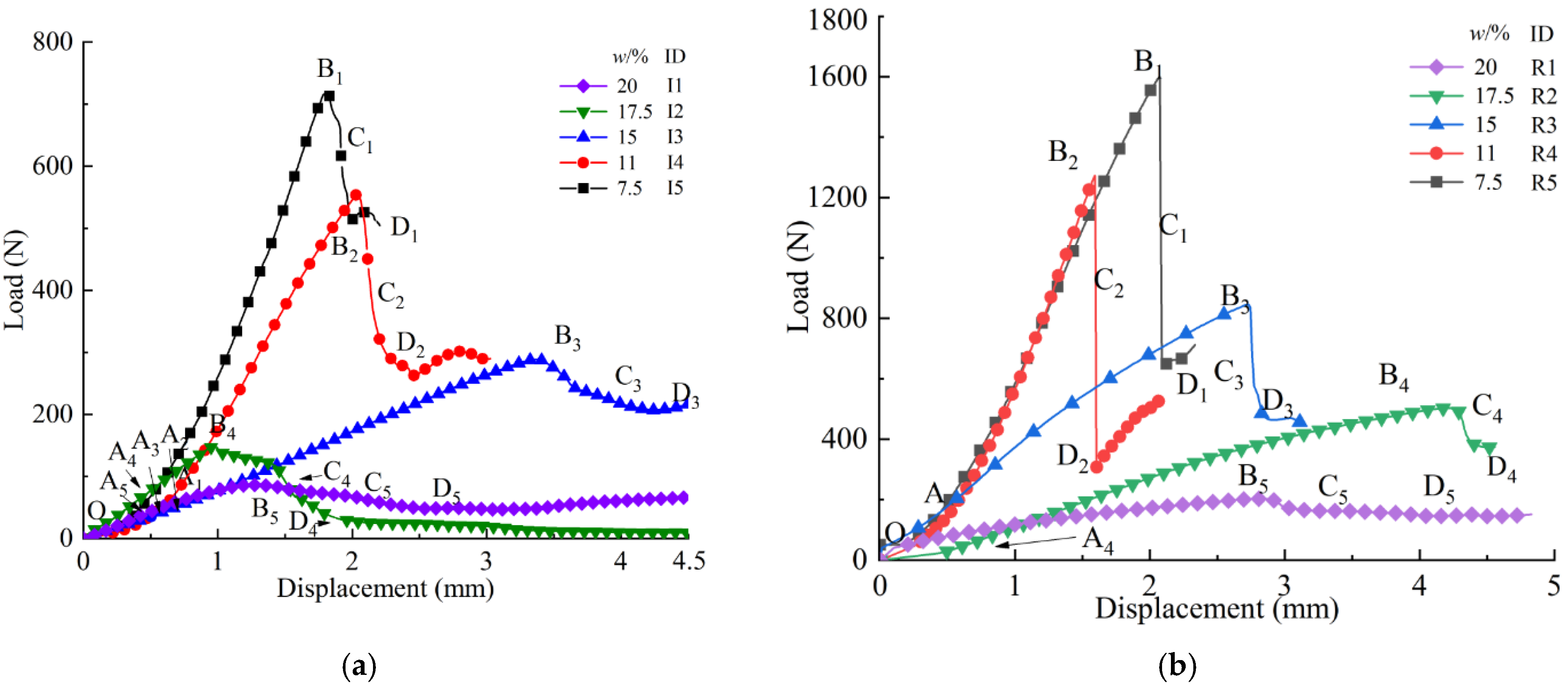
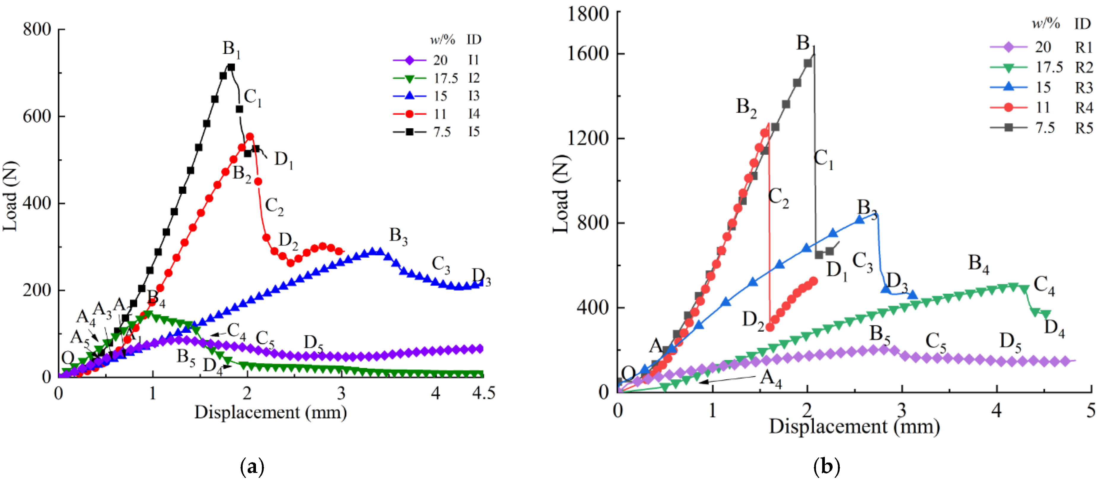
3.1. PIV Radial Splitting Test Results
3.2. Discussion of the Intrinsic Mechanism of the Test Results
4. Conclusions
- (1)
- During the drying process, the water content has an important influence on the splitting strength of expansive soil specimens. The load–displacement relationship curve shows the strain-softening phenomenon and, with decreasing water content, the peak strength increases.
- (2)
- In the process of the radial splitting test, there was an obvious one-to-one correspondence between the load–displacement relationship curve, the displacement vector field, and the crack characteristics in the stage division. With the help of PIV technology, the compression deformation stage of the radial splitting test, the stage of crack development after the peak load, and the stage of crack development maturity until breakthrough failure could be observed.
- (3)
- The undisturbed soil has a primary structure, and there is a certain proportion of large pores or primary cracks between the aggregates. After the remolded soil was crushed and sieved, the large pores between the aggregates disappeared and the pores in the aggregates gradually decreased or even disappeared during the drying process. Because of their inherent structural and fissure characteristics, the peak loads of undisturbed expansive soil specimens were lower than those of remolded specimens and the crack characteristics of remolded specimens were more regular than those of undisturbed specimens under the same water-content conditions.
- (4)
- The above research results provide the scientific basis for the construction of geotechnical engineering related to expansive soil.
Author Contributions
Funding
Conflicts of Interest
References
- Jones, D.E.; Holtz, W.G. Expansive soils-The hidden disaster. ASCE Civ. Eng. 1973, 43, 49–51. [Google Scholar]
- Bai, B.; Rao, D.Y.; Chang, T.; Guo, Z.G. A nonlinear attachment-detachment model with adsorption hysteresis for suspension-colloidal transport in porous media. J. Hydrol. 2019, 578, 124080. [Google Scholar] [CrossRef]
- Bai, B.; Nie, Q.K.; Zhang, Y.K.; Wang, X.L.; Hu, W. Cotransport of heavy metals and SiO2 particles at different temperatures by seepage. J. Hydrol. 2021, 597, 125771. [Google Scholar] [CrossRef]
- Bai, B.; Zhou, R.; Cai, G.Q.; Hu, W.; Yang, G.C. Coupled thermo-hydro-mechanical mechanism in view of the soil particle rearrangement of granular thermodynamics. Comput. Geotech. 2021, 137, 104272. [Google Scholar] [CrossRef]
- Basma, A.A.; Al-Homoud, A.S.; Malkawi, A.I.H.; Al-Bashabsheh, M.A. Swelling shrinkage behavior of natural expansive clays. Appl. Clay Sci. 1996, 11, 211–227. [Google Scholar] [CrossRef]
- Morris, P.H.; Graham, J.; Williams, D.J. Cracking in drying soils. Can. Geotech. J. 1992, 29, 263–277. [Google Scholar] [CrossRef]
- Lv, H.B.; Zeng, Z.T.; Zhao, Y.L.; Lu, H. Experimental studies of strength of expansive soil in drying and wetting cycle. Rock Soil Mech. 2009, 30, 3797–3802. [Google Scholar]
- Ortigao, J.A.R.; Loures, T.R.R.; Nogueira, C.; Alves, L.S. Slope Failures in Tertiary Expansive OC Clays. J. Geotech. Geoenviron. Eng. 1997, 123, 812–817. [Google Scholar] [CrossRef]
- Khemissa, M.; Mahamedi, A. Cement and lime mixture stabilization of an expansive overconsolidated clay. Appl. Clay Sci. 2014, 95, 104–110. [Google Scholar] [CrossRef]
- Abdulhadi, N.O.; Germaine, J.T.; Whittle, A.J. Experimental Study of Wellbore Instability in Clays. J. Geotech. Geoenviron. Eng. 2011, 137, 766–776. [Google Scholar] [CrossRef]
- Terzaghi, K. Stability of Slopes of Natural Clay. In Proceedings of the 1st International Conference on Soil Mechanics and Foundation Engineering, Cambridge, CA, USA, 22–26 June 1936; pp. 161–165. [Google Scholar]
- Skempton, A.W. Long-term stability of clay slops. Getechnique 1964, 14, 77–107. [Google Scholar] [CrossRef]
- Zhang, J.R.; Sun, D.A.; Zhou, A.N.; Jiang, T. Hydro-mechanical behaviour of expansive soils with different suctions and suction histories. Can. Geotech. J. 2016, 53, 1–13. [Google Scholar] [CrossRef]
- Zhang, J.R.; Niu, G.; Li, X.C.; Sun, D.A. Hydro-mechanical behavior of expansive soils with different dry densities over a wide suction range. Acta Geotech. 2020, 15, 265–278. [Google Scholar] [CrossRef]
- Gu, J.; Chen, L.; Wan, Y.; Teng, Y.; Yan, S.; Hu, L.; Wang, J.; Luo, H. Study on the electric resistance method in crack depth measurements. Front. Earth Sci. 2023, 11, 1082854. [Google Scholar] [CrossRef]
- Pan, L.; Xia, J.H.; Han, H.X. Microscopic Simulation of Expansive Soils and Evolution Laws. Fluid Dyn. Mater. Process. 2020, 16, 1219–1228. [Google Scholar] [CrossRef]
- Wang, X.Y.; Yao, Z.H.; Dang, F.N.; Dong, Z.J. Meso-structure evolution of cracked expansive soils. Trans. Chin. Soc. Agric. Eng. 2016, 32, 92–100. [Google Scholar] [CrossRef]
- Singh, S.P.; Rout, S.; Tiwari, A. Quantification of desiccation cracks using image analysis technique. Int. J. Geotech. Eng. 2018, 12, 383–388. [Google Scholar] [CrossRef]
- Kim, T.H.; Hwang, C. Modeling of tensile strength on moist granular earth material at low water content. Eng. Geol. 2003, 69, 233–244. [Google Scholar] [CrossRef]
- Kim, T.H.; Sture, S. Capillary-induced tensile strength in unsaturated sands. Can. Geotech. J. 2008, 45, 726–737. [Google Scholar] [CrossRef]
- Cai, G.; Che, R.; Kong, X.; Liu, C.; Zhao, C. Experimental investigation on tensile strength of unsaturated fine sands. J. Hydraul. Eng. 2017, 48, 623–630. [Google Scholar] [CrossRef]
- Wu, Q.; Zhao, F.; Li, X.; Wang, S.; Wang, B.; Zhou, Z. Mechanical properties of ring specimens of sandstone subjected to diametral compression. Rock Soil Mech. 2018, 39, 3969–3975. [Google Scholar] [CrossRef]
- Peng, S.; Chen, C.; Xu, J.; Zhang, H.; Tang, Y.; Nie, W.; Zhao, K. Loading rate dependency of rock stress-strain curve based on Brazil splitting test. Chin. J. Rock Mech. Eng. 2018, 37, 3247–3252. [Google Scholar] [CrossRef]
- Li, R.J.; Liu, J.D.; Zheng, W.; Yan, R. A bilinear strength formula for structured loess based on tensile strength and shear strength and its application. Chin. J. Geotech. Eng. 2013, 35, 247–252. [Google Scholar]
- You, M.Q.; Chen, X.L.; Su, C.D. Brazilian splitting strengths of discs and rings of rocks in dry and saturated conditions. Chin. J. Rock Mech. Eng. 2011, 30, 464–472. [Google Scholar]
- Zhang, J.; Wang, L.; Jiang, T.; Zhao, J.; Ren, M.; Li, H.; Jia, Y.; Liu, X. Diametric Splitting Tests on Compacted Bentonite at Different High Suctions Based on PIV Technique. J. Basic Sci. Eng. 2021, 29, 691–701. [Google Scholar] [CrossRef]
- Liu, J.; Iskander, M.G. Modelling capacity of transparent soil. Can. Geotech. J. 2010, 47, 451–460. [Google Scholar] [CrossRef]
- Iskander, M.G.; Liu, J. Spatial Deformation Measurement Using Transparent Soil. Geotech. Test. J. 2010, 33, 1–8. [Google Scholar]
- Iskander, M.G.; Liu, J.Y.; Sadek, S. Transparent amorphous silica to model clay. J. Geotech. Geoenviron. Eng. Geol. 2002, 128, 262–273. [Google Scholar] [CrossRef]
- Ahmed, M.; Iskander, M.G. Analysis of Tunneling-Induced Ground Movements Using Transparent Soil Models. J. Geotech. Geoenviron. Eng. 2011, 137, 525–535. [Google Scholar] [CrossRef]
- Ould Baba, H.; Peth, S. Large scale soil box test to investigate soil deformation and creep movement on slopes by Particle Image Velocimetry (PIV). Soil Tillage Res. 2012, 125, 38–43. [Google Scholar] [CrossRef]
- Kashani, M.M.; Lai, S.H.; Ibrahim, S.; Sulaiman, N.M.N.; Teo, F.Y. Tracking the hydrodynamic behavior of fine sediment using particle image velocimetry. Environ. Earth Sci. 2016, 75, 676. [Google Scholar] [CrossRef]
- Qi, C.G.; Iskander, M.; Omidvar, M. Soil Deformations During Casing Jacking and Extraction of Expanded-Shoe Piles, Using Model Tests. Geotech. Geol. Eng. 2017, 35, 809–826. [Google Scholar] [CrossRef]
- White, D.J.; Bolton, M.D. Displacement and strain paths during plane-strain model pile installation in sand. Géotechnique 2004, 54, 375–397. [Google Scholar] [CrossRef]
- Zhang, J.; Wang, L.; Tong, J.; Ren, M.; Wei, M. Diametric splitting tests on unsaturated expansive soil with different dry densities based on the particle image velocimetry technique. Acta Geotech. Slov. 2021, 18, 15–27. [Google Scholar] [CrossRef]
- He, F.C.; Zhang, J.R. Water Retention Behavior and Pore Structure Analysis of Undisturbed Expansive Soil During Drying and Wetting. J. Basic Sci. Eng. 2022, 30, 736–747. [Google Scholar] [CrossRef]
- Jiang, T.; Zhao, J.D.; Zhang, J.R. Splitting tensile strength and microstructure of xanthan gum-treated loess. Sci. Rep. 2022, 12, 9921. [Google Scholar] [CrossRef] [PubMed]










| Specific Gravity Gs | Liquid Limit wL/% | Plastic Limit wp/% | Plasticity Index Ip | Undisturbed Soils Dry Density ρd/(g/cm3) | Undisturbed Soil Water Content w/% | Free Swelling Ratio δf/% |
|---|---|---|---|---|---|---|
| 2.7 | 47.43 | 25.28 | 22.15 | 1.69 | 20 | 52 |
| I1 | I2 | I3 | I4 | I5 | R1 | R2 | R3 | R4 | R5 | |
|---|---|---|---|---|---|---|---|---|---|---|
| Target water content w/% | 20.0 | 17.5 | 15.0 | 11.0 | 7.5 | 20.0 | 17.5 | 15.0 | 11.0 | 7.5 |
| Actual water content w/% | 20.8 | 19.2 | 17.0 | 15.9 | 12.4 | 20.5 | 17.6 | 14.8 | 11.0 | 8.4 |
| Actual dry density ρd (g/cm3) | 1.69 | 1.72 | 1.68 | 1.77 | 1.89 | 1.70 | 1.79 | 1.83 | 1.91 | 1.88 |
Disclaimer/Publisher’s Note: The statements, opinions and data contained in all publications are solely those of the individual author(s) and contributor(s) and not of MDPI and/or the editor(s). MDPI and/or the editor(s) disclaim responsibility for any injury to people or property resulting from any ideas, methods, instructions or products referred to in the content. |
© 2023 by the authors. Licensee MDPI, Basel, Switzerland. This article is an open access article distributed under the terms and conditions of the Creative Commons Attribution (CC BY) license (https://creativecommons.org/licenses/by/4.0/).
Share and Cite
Yu, S.; He, F.; Zhang, J. Experimental PIV Radial Splitting Study on Expansive Soil during the Drying Process. Appl. Sci. 2023, 13, 8050. https://doi.org/10.3390/app13148050
Yu S, He F, Zhang J. Experimental PIV Radial Splitting Study on Expansive Soil during the Drying Process. Applied Sciences. 2023; 13(14):8050. https://doi.org/10.3390/app13148050
Chicago/Turabian StyleYu, Shun, Fangchan He, and Junran Zhang. 2023. "Experimental PIV Radial Splitting Study on Expansive Soil during the Drying Process" Applied Sciences 13, no. 14: 8050. https://doi.org/10.3390/app13148050
APA StyleYu, S., He, F., & Zhang, J. (2023). Experimental PIV Radial Splitting Study on Expansive Soil during the Drying Process. Applied Sciences, 13(14), 8050. https://doi.org/10.3390/app13148050

