Band Gap Properties in Metamaterial Beam with Spatially Varying Interval Uncertainties
Abstract
1. Introduction
2. The Model and Method
2.1. Deterministic Metamaterial Beam Structure and Its Band Gap Calculation
2.2. Uncertain Density Modeled as an Interval Field
2.3. Interval Field Finite Element Formulation
2.4. Interval Perturbation Finite Element Method (IPFEM)
2.5. Interval Vibration Transmission Analysis (IVTA)
3. Results and Discussion
3.1. Band Gap Analysis of Deterministic Metamaterial Beam
3.2. Metamaterial Beam with Interval Density Field
3.3. Influences of the Number of Terms in KL Expansion on the Safe Band Gap
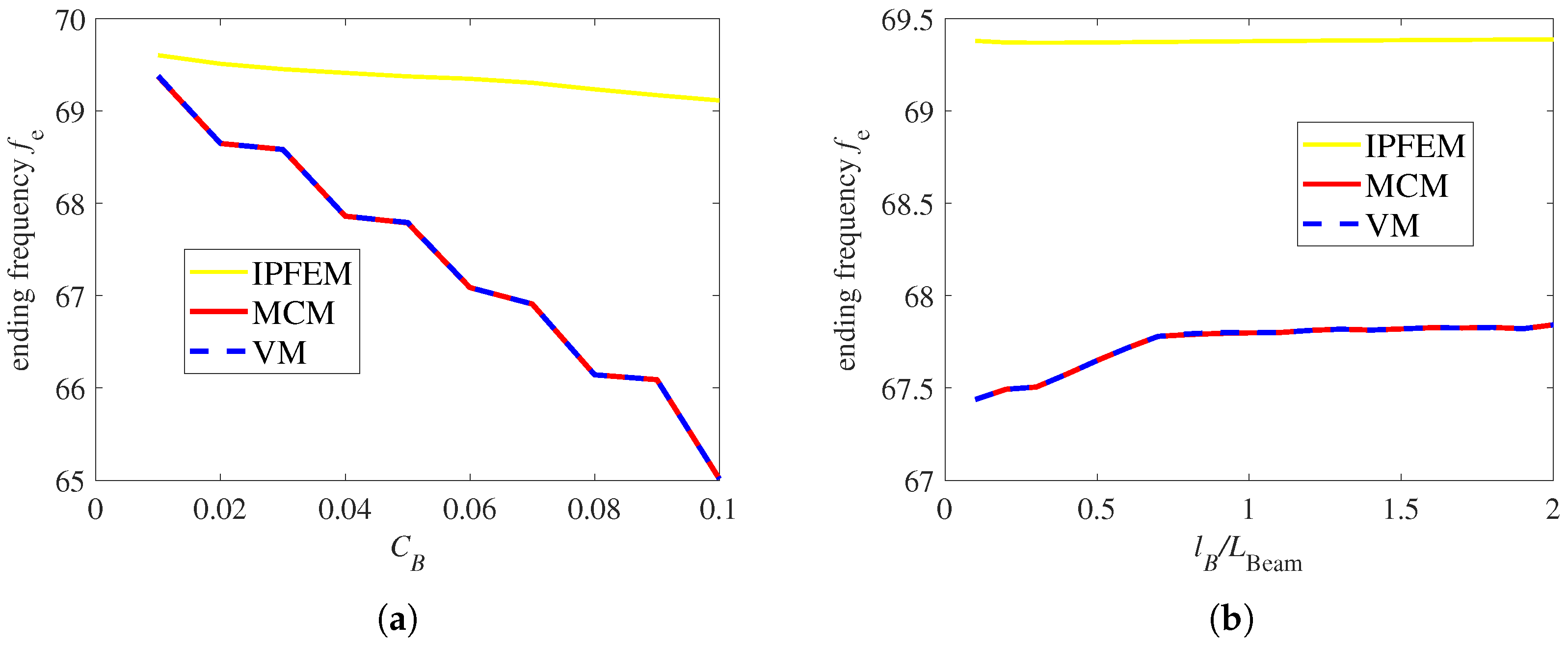
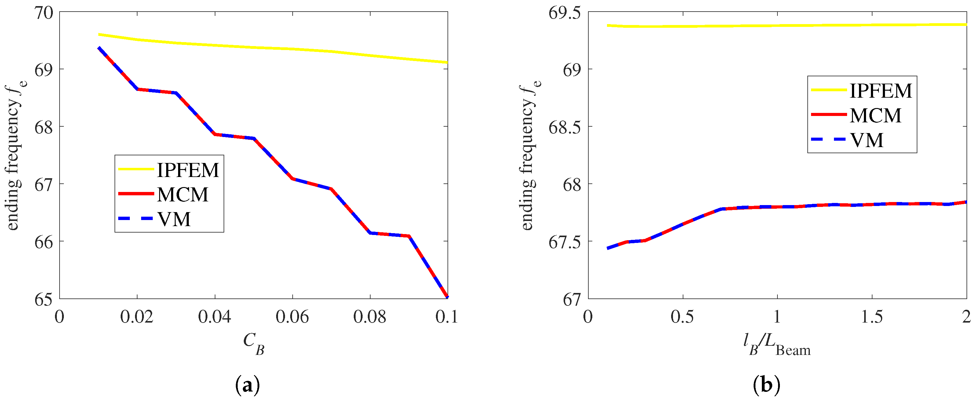
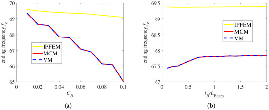
3.4. Influences of Interval Field Parameters on the Safe Band Gap
3.5. Metamaterial Beam with Interval Density Field and Interval Resonator
4. Conclusions
Author Contributions
Funding
Institutional Review Board Statement
Informed Consent Statement
Data Availability Statement
Conflicts of Interest
References
- Meng, H.; Chronopoulos, D.; Fabro, A.; Maskery, I.; Chen, Y. Optimal design of rainbow elastic metamaterials. Int. J. Mech. Sci. 2020, 165, 105185. [Google Scholar] [CrossRef]
- Wei, W.; Ren, S.; Chronopoulos, D.; Meng, H. Optimization of connection architectures and mass distributions for metamaterials with multiple resonators. J. Appl. Phys. 2021, 129, 165101. [Google Scholar] [CrossRef]
- Liu, Z.; Zhang, X.; Mao, Y.; Zhu, Y.Y.; Yang, Z.; Chan, C.T.; Sheng, P. Locally Resonant Sonic Materials. Science 2000, 289, 1734–1736. [Google Scholar] [CrossRef] [PubMed]
- Xiao, Y.; Wen, J.; Yu, D.; Wen, X. Flexural wave propagation in beams with periodically attached vibration absorbers: Band-gap behavior and band formation mechanisms. J. Sound Vib. 2013, 332, 867–893. [Google Scholar] [CrossRef]
- Wang, Z.; Zhang, P.; Zhang, Y. Locally Resonant Band Gaps in Flexural Vibrations of a Timoshenko Beam with Periodically Attached Multioscillators. Math. Probl. Eng. 2013, 2013, 1–10. [Google Scholar] [CrossRef]
- Zhou, J.; Wang, K.; Xu, D.; Ouyang, H. Local resonator with high-static-low-dynamic stiffness for lowering band gaps of flexural wave in beams. J. Appl. Phys. 2017, 121, 044902. [Google Scholar] [CrossRef]
- Wu, Q.; Huang, G.; Liu, C.; Xie, S.; Xu, M. Low-frequency multi-mode vibration suppression of a metastructure beam with two-stage high-static-low-dynamic stiffness oscillators. Acta Mech. 2019, 230, 4341–4356. [Google Scholar] [CrossRef]
- He, F.Y.; Shi, Z.Y.; Qian, D.H.; Tu, J.; Chen, M.L. Flexural wave bandgap properties in metamaterial dual-beam structure. Phys. Lett. 2022, 429, 127950. [Google Scholar] [CrossRef]
- Guo, Z.; Hu, G.; Sorokin, V.; Tang, L.; Yang, X.; Zhang, J. Low-frequency flexural wave attenuation in metamaterial sandwich beam with hourglass lattice truss core. Wave Motion 2021, 104, 102750. [Google Scholar] [CrossRef]
- Xiao, Y.; Wen, J.; Wang, G.; Wen, X. Theoretical and Experimental Study of Locally Resonant and Bragg Band Gaps in Flexural Beams Carrying Periodic Arrays of Beam-Like Resonators. J. Vib. Acoust. 2013, 135, 041006. [Google Scholar] [CrossRef]
- Wang, X.; Wang, M.Y. An analysis of flexural wave band gaps of locally resonant beams with continuum beam resonators. Meccanica 2016, 51, 171–178. [Google Scholar] [CrossRef]
- Lv, H.; Zhang, Y. A Wave-Based Vibration Analysis of a Finite Timoshenko Locally Resonant Beam Suspended with Periodic Uncoupled Force-Moment Type Resonators. Crystals 2020, 10, 1132. [Google Scholar] [CrossRef]
- Verhaeghe, W.; Desmet, W.; Vandepitte, D.; Moens, D. Interval fields to represent uncertainty on the output side of a static FE analysis. Comput. Methods Appl. Mech. Eng. 2013, 260, 50–62. [Google Scholar] [CrossRef]
- Sofi, A.; Muscolino, G. Static analysis of Euler-Bernoulli beams with interval Young’s modulus. Comput. Struct. 2015, 156, 72–82. [Google Scholar] [CrossRef]
- Sofi, A. Structural response variability under spatially dependent uncertainty Stochastic versus interval model. Probabilistic Eng. Mech. 2015, 42, 78–86. [Google Scholar] [CrossRef]
- Sofi, A. Euler-Bernoulli interval finite element with spatially varying uncertain properties. Acta Mech. 2017, 228, 3771–3787. [Google Scholar] [CrossRef]
- Sofi, A.; Romeo, E.; Barrera, O.; Cocks, A. An interval finite element method for the analysis of structures with spatially varying uncertainties. Adv. Eng. Softw. 2019, 128, 1–19. [Google Scholar] [CrossRef]
- Ni, B.Y.; Wu, P.G.; Li, J.Y.; Jiang, C. A semi-analytical interval method for response bounds analysis of structures with spatially uncertain loads. Finite Elem. Anal. Des. 2020, 182, 103483. [Google Scholar] [CrossRef]
- Jiang, C.; Han, X.; Lu, G.Y.; Liu, J.; Zhang, Z.; Bai, Y.C. Correlation analysis of non-probabilistic convex model and corresponding structural reliability technique. Comput. Methods Appl. Mech. Eng. 2011, 200, 2528–2546. [Google Scholar] [CrossRef]
- Jiang, C.; Bi, R.G.; Lu, G.Y.; Han, X. Structural reliability analysis using non-probabilistic convex model. Comput. Methods Appl. Mech. Eng. 2013, 254, 83–98. [Google Scholar] [CrossRef]
- Li, J.W.; Ni, B.Y.; Jiang, C.; Fang, T. Dynamic response bound analysis for elastic beams under uncertain excitations. J. Sound Vib. 2018, 422, 471–489. [Google Scholar] [CrossRef]
- Ni, B.Y.; Jiang, C. Interval field model and interval finite element analysis. Comput. Methods Appl. Mech. Eng. 2020, 360, 112713. [Google Scholar] [CrossRef]
- Jiang, C.; Zhang, Q.F.; Han, X.; Liu, J.; Hu, D.A. Multidimensional parallelepiped model—A new type of non-probabilistic convex model for structural uncertainty analysis. Int. J. Numer. Methods Eng. 2015, 103, 31–59. [Google Scholar] [CrossRef]
- Ni, B.Y.; Jiang, C.; Han, X. An improved multidimensional parallelepiped non-probabilistic model for structural uncertainty analysis. Appl. Math. Model. 2016, 40, 4727–4745. [Google Scholar] [CrossRef]
- Wu, Y.; Lin, X.Y.; Jiang, H.X.; Cheng, A.G. Finite Element Analysis of the Uncertainty of Physical Response of Acoustic Metamaterials with Interval Parameters. Int. J. Comput. Methods 2020, 17, 1950052. [Google Scholar] [CrossRef]
- He, Z.C.; Hu, J.Y.; Li, E. An uncertainty model of acoustic metamaterials with random parameters. Comput. Mech. 2018, 62, 1023–1036. [Google Scholar] [CrossRef]
- Fujita, K.; Takewaki, I. An efficient methodology for robustness evaluation by advanced interval analysis using updated second-order Taylor series expansion. Eng. Struct. 2011, 33, 3299–3310. [Google Scholar] [CrossRef]
- Xu, M.; Du, J.; Chen, J.; Wang, C.; Li, Y. An Iterative Dimension-Wise Approach to the Structural Analysis with Interval Uncertainties. Int. J. Comput. Methods 2018, 15, 1850044. [Google Scholar] [CrossRef]









Disclaimer/Publisher’s Note: The statements, opinions and data contained in all publications are solely those of the individual author(s) and contributor(s) and not of MDPI and/or the editor(s). MDPI and/or the editor(s) disclaim responsibility for any injury to people or property resulting from any ideas, methods, instructions or products referred to in the content. |
© 2023 by the authors. Licensee MDPI, Basel, Switzerland. This article is an open access article distributed under the terms and conditions of the Creative Commons Attribution (CC BY) license (https://creativecommons.org/licenses/by/4.0/).
Share and Cite
He, F.; Shi, Z.; Zhang, Z.; Qian, D.; Feng, X. Band Gap Properties in Metamaterial Beam with Spatially Varying Interval Uncertainties. Appl. Sci. 2023, 13, 8012. https://doi.org/10.3390/app13148012
He F, Shi Z, Zhang Z, Qian D, Feng X. Band Gap Properties in Metamaterial Beam with Spatially Varying Interval Uncertainties. Applied Sciences. 2023; 13(14):8012. https://doi.org/10.3390/app13148012
Chicago/Turabian StyleHe, Feiyang, Zhiyu Shi, Zexin Zhang, Denghui Qian, and Xuelei Feng. 2023. "Band Gap Properties in Metamaterial Beam with Spatially Varying Interval Uncertainties" Applied Sciences 13, no. 14: 8012. https://doi.org/10.3390/app13148012
APA StyleHe, F., Shi, Z., Zhang, Z., Qian, D., & Feng, X. (2023). Band Gap Properties in Metamaterial Beam with Spatially Varying Interval Uncertainties. Applied Sciences, 13(14), 8012. https://doi.org/10.3390/app13148012

