Computational Dynamics of Multi-Rigid-Body System in Screw Coordinate
Abstract
:1. Introduction
2. Kinematics of a Multi-Rigid-Body System
2.1. Relative Displacement, Velocity and Acceleration of Each Joint
- With the initial condition consisting of position angles and structure parameters , , and , the unit screw matrix of the multi-rigid-body system at time can be gained first.
- Substituting into Equation (14) and with the twist matrix of the end joint in Equation (7) being known, the relative angular velocity of each joint at time can be derived.
- With the initial conditions consisting of position and velocity, the parameters of from Equation (10) and from Equation (14) could be updated by steps 1 and 2 where is replaced by :where .
2.2. Absolute Displacement, Velocity, and Acceleration of Each Joint
2.3. Absolute Displacement, Velocity and Acceleration of Each Rigid-Body
3. Dynamics of a Multi-Rigid-Body System
4. Kinematics and Dynamics of the Gough–Stewart Platform
4.1. Kinematics Analysis of the Gough–Stewart Platform
4.2. Dynamics Analysis of the Gough–Stewart Platform
- a.
- Inverse dynamics equations for the fixed leg
- b.
- Inverse dynamics equations for the moving leg
- c.
- Inverse dynamics equations for the moving platform
- d.
- Inverse dynamics equations for Gough–Stewart platform
5. Numerical Experiment and Discussion
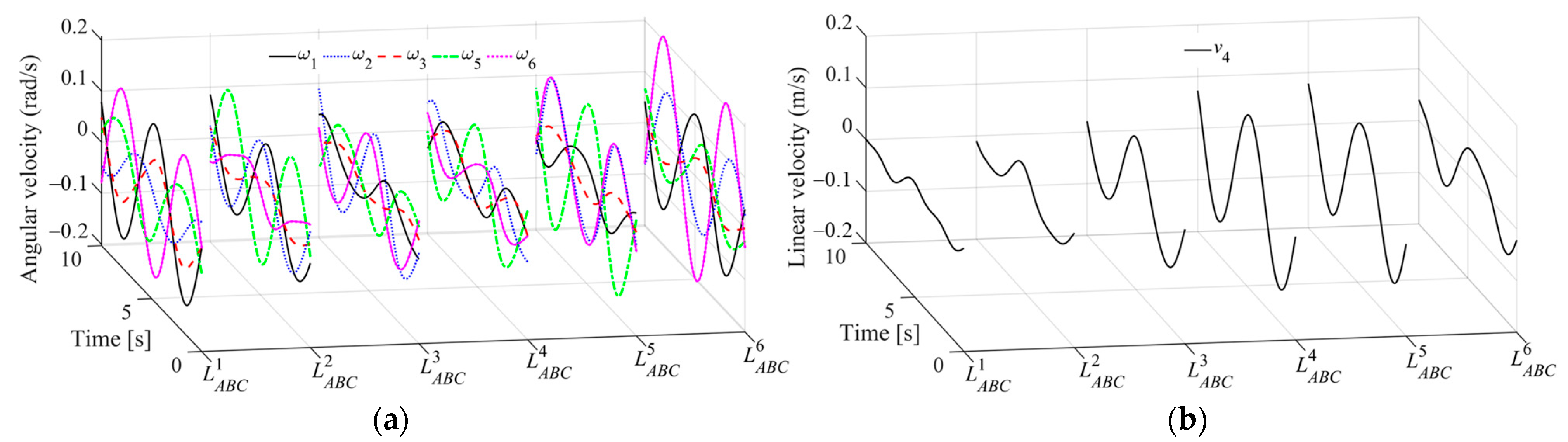
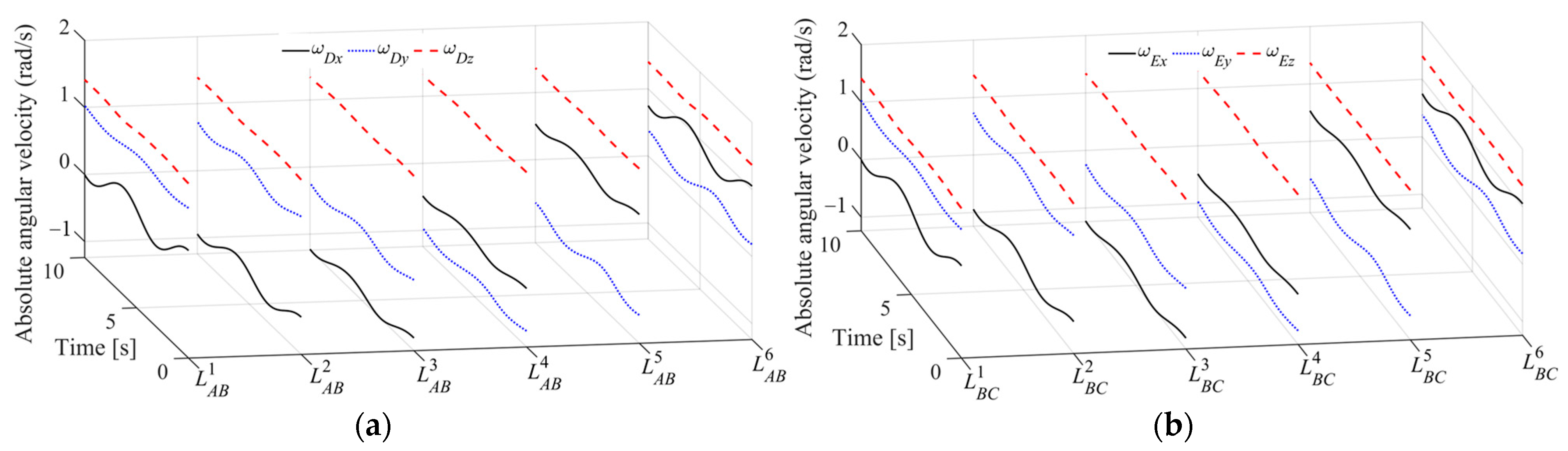
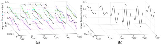
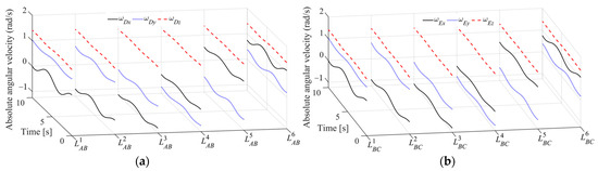
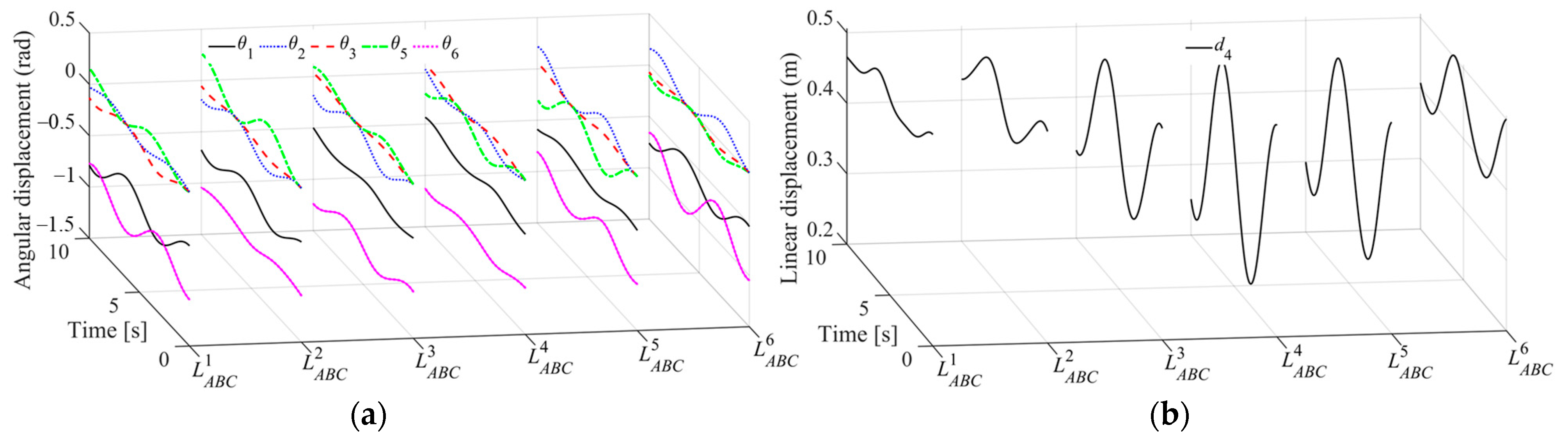
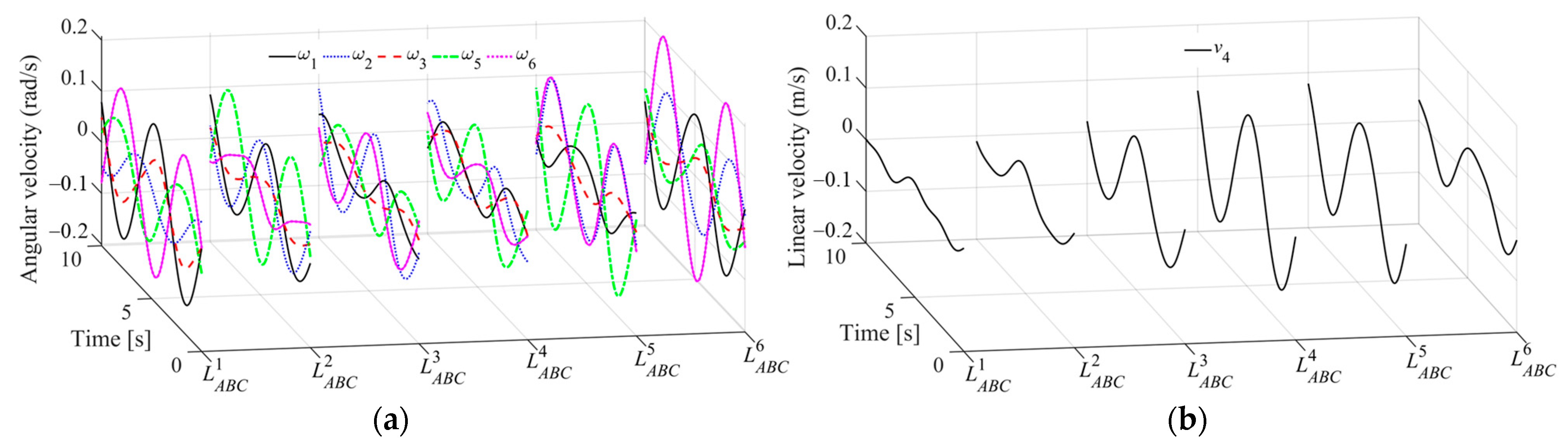
5.1. Inverse Kinematics Simulation for Gough–Stewart Platform
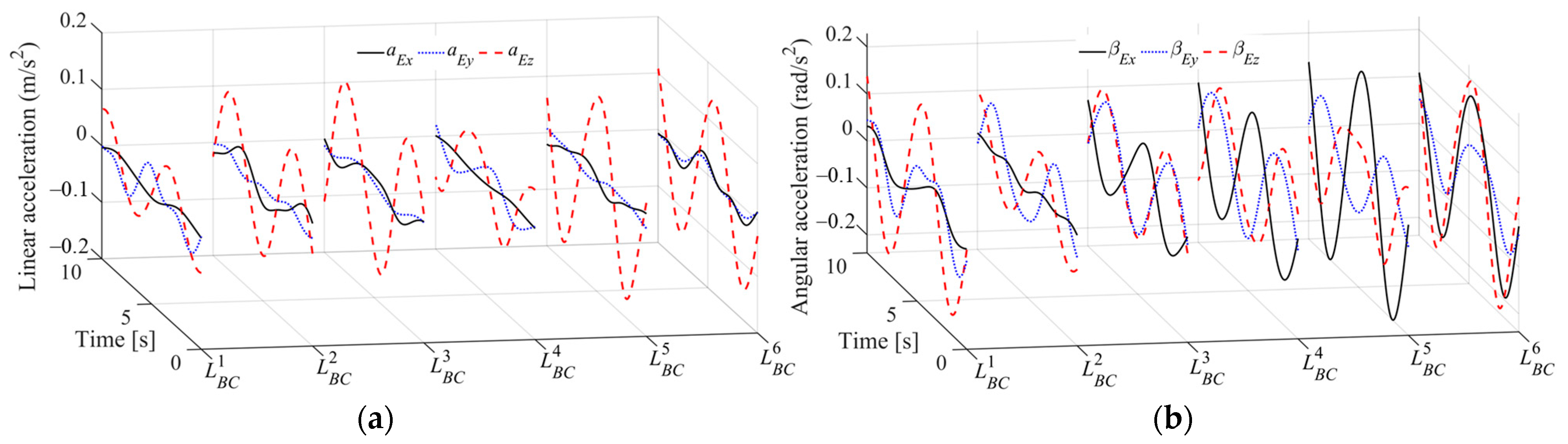
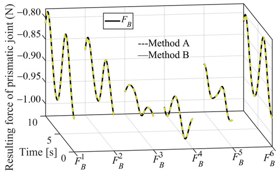
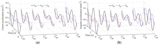
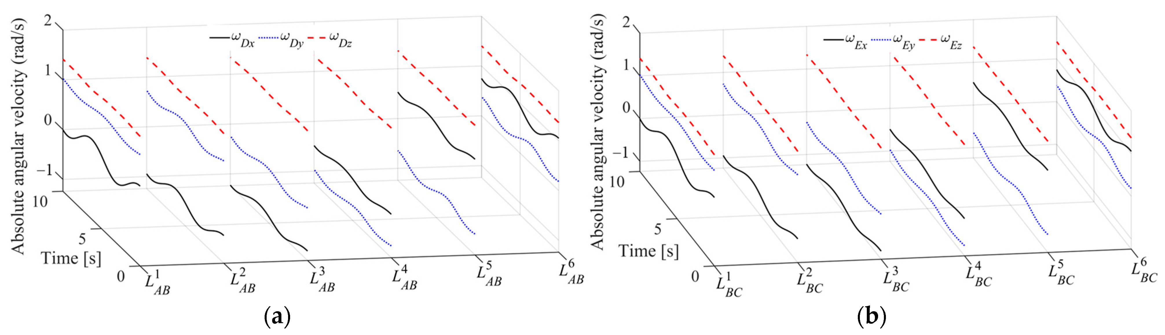
5.2. Inverse Dynamics Simulation for Gough–Stewart Platform
6. Conclusions
Author Contributions
Funding
Institutional Review Board Statement
Informed Consent Statement
Data Availability Statement
Conflicts of Interest
Nomenclature
| Notation | Description |
| Linear acceleration of joint with respect to | |
| Acceleration of joint with respect to | |
| Absolute acceleration matrix of a multi-rigid-body system | |
| Displacement coefficient matrix | |
| Linear displacement of joint with respect to | |
| Displacement of joint with respect to | |
| Posture vector of joint in the absolute coordinate frame | |
| Force vector at joint | |
| Identity matrix of | |
| Position vector of joint in the absolute coordinate frame | |
| The joint in the kinematic chain | |
| Matrix of mass moment of inertia of a single-rigid-body in the absolute coordinate frame | |
| Matrix of mass moment of inertia of a single-rigid-body at its principal coordinate frame of the mass center | |
| Steps of iteration | |
| Length of the link in the kinematic chain | |
| The link in the kinematic chain | |
| Mass of a single-rigid-body | |
| Mass matrix | |
| Number of joints in a kinematic chain | |
| Number of kinematic chains | |
| Rotation matrix from coordinate frame to coordinate frame 0. | |
| Screw matrix of a multi-rigid-body system | |
| Unit screw matrix of joint | |
| Total time of the path | |
| Interval of iteration | |
| Torque vector at joint | |
| Linear velocity of joint with respect to | |
| Velocity of joint with respect to | |
| Constraint wrench matrix of the multi-rigid-body system | |
| Coriolis wrench matrix of the multi-rigid-body system | |
| External wrench matrix exerted on the multi-rigid-body system | |
| Angular velocity of joint with respect to | |
| Angular acceleration of joint with respect to | |
| Angular displacement of joint with respect to |
Appendix A
| Absolute Displacement Vector | Absolute Velocity Vector | Absolute Acceleration Vector |
|---|---|---|
| Initial Position of Mass Center | ||
|---|---|---|
References
- Gough, V.E.; Whitehall, S.G. Proceedings of the 9th International Congress FISITA, London, UK, 30 April–5 May 1962.
- Fichter, E.F.; Kerr, D.R.; Rees-Jones, J. The Gough-Stewart platform parallel manipulator: A retrospective appreciation. Proc. Inst. Mech. Eng. 2009, 223, 243–281. [Google Scholar] [CrossRef]
- Furqan, M.; Suhaib, M.; Ahmad, N. Studies on Stewart platform manipulator: A review. J. Mech. Sci. Technol. 2017, 31, 4459–4470. [Google Scholar] [CrossRef]
- Hernández-Vielma, C.; Ortega-Aguilera, R.; Cruchaga, M. Assessment of simultaneous and nested conservative augmented Lagrangian schemes for constrained multibody dynamics. Proc. Inst. Mech. Eng. Part K J. Multi-Body Dyn. 2021, 235, 271–280. [Google Scholar] [CrossRef]
- Chen, M.; Zhang, Q.; Qin, X.; Sun, Y. Kinematic, dynamic, and performance analysis of a new 3-DoF over-constrained parallel mechanism without parasitic motion. Mech. Mach. Theory 2021, 162, 104365. [Google Scholar] [CrossRef]
- Smith, A.; Yang, C.; Li, C.; Ma, H.; Zhao, L. Development of a dynamics model for the Baxter robot. In Proceedings of the International Conference on Mechatronics and Automation, Harbin, China, 7–10 August 2016; pp. 1244–1249. [Google Scholar]
- Gallardo-Alvarado, J.; Rodríguez-Castro, R.; Delossantos-Lara, P.J. Kinematics and dynamics of a 4-P RUR Schönflies parallel manipulator by means of screw theory and the principle of virtual work. Mech. Mach. Theory 2018, 122, 347–360. [Google Scholar] [CrossRef]
- Azad, F.A.; Yazdi, M.R.H.; Masouleh, M.T. Kinematic and Dynamic Analysis of 3-DOF Delta Parallel Robot Based on the Screw Theory and Principle of Virtual Work. In Proceedings of the 5th Conference on Knowledge Based Engineering and Innovation (KBEI), Tehran, Iran, 28 February–1 March 2019; pp. 717–724. [Google Scholar]
- Wen, S.; Qin, G.; Zhang, B.; Lam, H.; Zhao, Y.; Wang, H. The study of model predictive control algorithm based on the force/position control scheme of the 5-DoF redundant actuation parallel robot. Rob. Auton. Syst. 2016, 79, 12–25. [Google Scholar] [CrossRef]
- Mata, V.; Provenzano, S.; Cuadrado, J.L.; Valero, F. Inverse dynamic problem in robots using Gibbs-Appell equations. Robotica 2002, 20, 59–67. [Google Scholar] [CrossRef]
- Dasgupta, B.; Choudhury, P. A Newton-Euler formulation for the inverse dynamics of the Stewart platform manipulator. Mech. Mach. Theory 1998, 33, 1135–1152. [Google Scholar] [CrossRef]
- Dasgupta, B.; Mruthyunjaya, T.S. Closed-Form Dynamic Equations of the General Stewart Platform through the Newton–Euler Approach. Mech. Mach. Theory 1998, 33, 993–1012. [Google Scholar] [CrossRef]
- Chen, G.; Yu, W.; Li, Q.; Wang, H. Dynamic modeling and performance analysis of the 3-PRRU 1T2R parallel manipulator without parasitic motion. Nonlinear Dyn. 2017, 90, 339–353. [Google Scholar] [CrossRef]
- Wang, Z.; Zhao, D.; Zeng, G. The dynamic model of a 6-DOF parallel mechanism. Mach. Des. Manufact. 2018, S1, 71–77. [Google Scholar]
- Niu, A.; Wang, S.; Sun, Y.; Qiu, J.; Qiu, W.; Chen, H. Dynamic modeling and analysis of a novel offshore gangway with 3UPU/UP-RRP series-parallel hybrid structure. Ocean. Eng. 2022, 266, 113122. [Google Scholar] [CrossRef]
- Gallardo-Alvarado, J.; Aguilar-Nájera, C.R.; Casique-Rosas, L.; Pérez-González, L.; Rico-Martínez, J.M. Solving the kinematics and dynamics of a modular spatial hyper-redundant manipulator by means of screw coordinate. Multibody Syst. Dyn. 2008, 20, 307–325. [Google Scholar] [CrossRef]
- Gallardo-Alvarado, J.; Aguilar-Nájera, C.R.; Casique-Rosas, L.; Rico-Martínez, J.M.; Islam, M.N. Kinematics and dynamics of 2(3-RPS) manipulators by means of screw coordinate and the principle of virtual work. Mech. Mach. Theory 2008, 43, 1281–1294. [Google Scholar] [CrossRef]
- Tian, Q.; Xiao, Q.; Sun, Y.; Hu, H.; Liu, H.; Flores, P. Coupling dynamics of a geared multibody system supported by ElastoHydroDynamic lubricated cylindrical joints. Multibody Syst. Dyn. 2015, 33, 259–284. [Google Scholar] [CrossRef]
- Shan, X.; Gang, C. Nonlinear dynamic behavior of joint effects on a 2(3PUS + S) parallel manipulator. Proc. Inst. Mech. Eng. Part K J. Multi Body Dyn. 2018, 233, 470–484. [Google Scholar]
- Asadi, F.; Heydari, A. Analytical dynamic modeling of Delta robot with experimental verification. Proc. Inst. Mech. Eng. Part K J. Multi-Body Dyn. 2020, 234, 623–630. [Google Scholar] [CrossRef]
- Liu, C.; Tian, Q.; Hu, H.Y. Dynamics of a large scale rigid–flexible multibody system composed of composite laminated plates. Multibody Syst. Dyn. 2011, 26, 283–305. [Google Scholar] [CrossRef]
- Gan, D.; Dai, J.S.; Dias, J.; Seneviratne, L. Forward kinematics solution distribution and analytic singularity-free workspace of linear-actuated symmetrical spherical parallel manipulators. J. Mech. Robot. 2015, 7, 041007. [Google Scholar] [CrossRef]
- Dai, J.S.; Jones, J.R. A linear algebraic procedure in obtaining reciprocal screw systems. J. Robot. Syst. 2003, 20, 401–412. [Google Scholar] [CrossRef]
- Hashemi, E.; Khajepour, A. Kinematic and three-dimensional dynamic modeling of a biped robot. Proc. Inst. Mech. Eng. Part K J. Multi-Body Dyn. 2017, 231, 57–73. [Google Scholar] [CrossRef]
- Shen, H.; Chablat, D.; Zeng, B.; Li, J.; Wu, G.; Yang, T.L. A translational three-degrees-of-freedom parallel mechanism with partial motion decoupling and analytic direct kinematics. J. Mech. Robot. 2020, 12, 021112. [Google Scholar] [CrossRef]
- Kanaan, D.; Wenger, P.; Chablat, D. Kinematic analysis of a serial-parallel machine tool: The VERNE machine–Science Direct. Mech. Mach. Theory 2009, 44, 478–498. [Google Scholar] [CrossRef]
- Zhao, J.S.; Wei, S.T.; Ji, J.J. Kinematics of a planar slider-crank linkage in Plücker Coordinate. Proc. Inst. Mech. Eng. Part C J. Mech. Eng. Sci. 2022, 236, 1588–1597. [Google Scholar] [CrossRef]
- Gallardo-Alvarado, J.; Rico-Martinez, J.M. Kinematics of a hyper-redundant manipulator by means of screw coordinate. Proc. Inst. Mech. Eng. Part K J. Multi-Body Dyn. 2009, 223, 325–334. [Google Scholar]












| Initial posture | ||||||
| Initial position | ||||||
| Homogeneous transformation matrix | ||||||
| Initial Condition | Parameters | Value |
|---|---|---|
| Total time of the path | ||
| Interval of iteration | ||
| Steps of iteration |
Disclaimer/Publisher’s Note: The statements, opinions and data contained in all publications are solely those of the individual author(s) and contributor(s) and not of MDPI and/or the editor(s). MDPI and/or the editor(s) disclaim responsibility for any injury to people or property resulting from any ideas, methods, instructions or products referred to in the content. |
© 2023 by the authors. Licensee MDPI, Basel, Switzerland. This article is an open access article distributed under the terms and conditions of the Creative Commons Attribution (CC BY) license (https://creativecommons.org/licenses/by/4.0/).
Share and Cite
Zhao, J.-S.; Wei, S.-T.; Sun, X.-C. Computational Dynamics of Multi-Rigid-Body System in Screw Coordinate. Appl. Sci. 2023, 13, 6341. https://doi.org/10.3390/app13106341
Zhao J-S, Wei S-T, Sun X-C. Computational Dynamics of Multi-Rigid-Body System in Screw Coordinate. Applied Sciences. 2023; 13(10):6341. https://doi.org/10.3390/app13106341
Chicago/Turabian StyleZhao, Jing-Shan, Song-Tao Wei, and Xiao-Cheng Sun. 2023. "Computational Dynamics of Multi-Rigid-Body System in Screw Coordinate" Applied Sciences 13, no. 10: 6341. https://doi.org/10.3390/app13106341
APA StyleZhao, J.-S., Wei, S.-T., & Sun, X.-C. (2023). Computational Dynamics of Multi-Rigid-Body System in Screw Coordinate. Applied Sciences, 13(10), 6341. https://doi.org/10.3390/app13106341

