Seismic Response Analysis of a Shield Tunnel in a Coastal Nuclear Power Plant under a Complex Foundation
Abstract
:1. Introduction
2. Methods and Principles
2.1. Response Deformation Method
2.1.1. Lateral Response Deformation Method
2.1.2. Longitudinal Response Deformation Method
2.2. Equivalent Linear Dynamic Time-History Analysis Method
2.2.1. Viscoelastic Artificial Boundary Method
2.2.2. Hydrodynamic Pressure
3. Engineering Example
3.1. Project Profile
3.1.1. Distribution in Soil Layers and Calculation Parameters
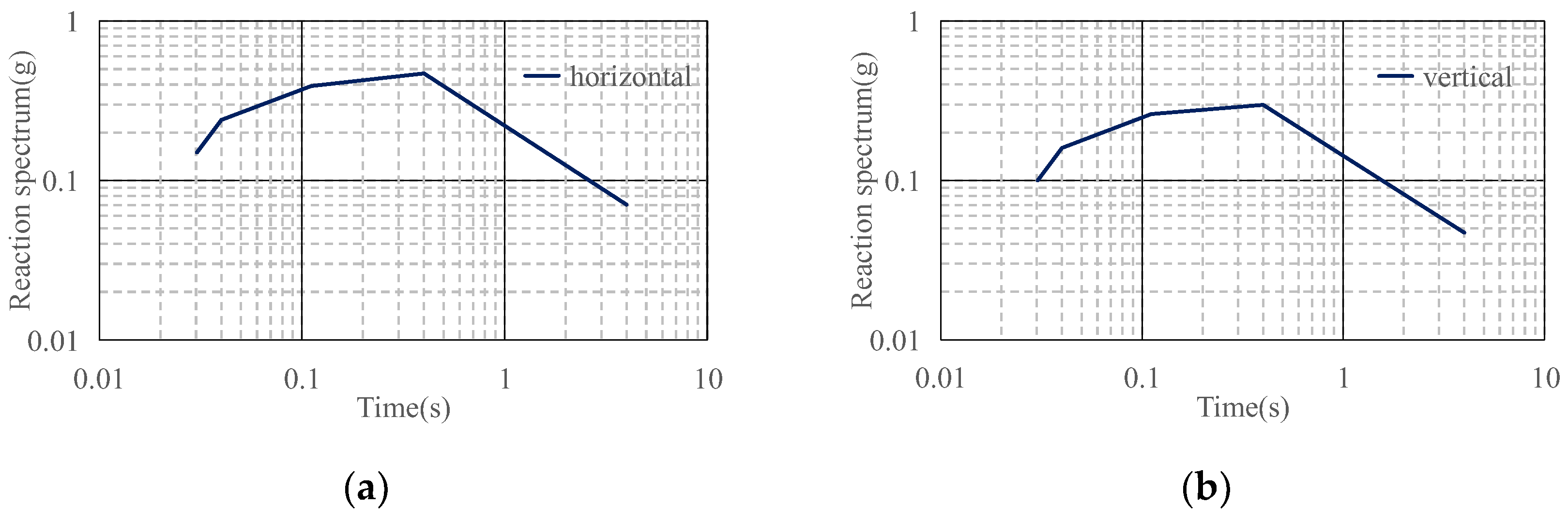
3.1.2. Seismic Parameters
3.2. Seismic Response Analysis of Shield Tunnel Based on
3.2.1. Computational ModelResponse Displacement Method
- (1)
- Lateral Analysis Model
- (2)
- Longitudinal Analysis Model
3.2.2. Calculating Working Conditions
3.2.3. Result Analysis
- (1)
- Lateral Analysis
- (2)
- Longitudinal Analysis Results
3.3. Seismic Response Analysis of Shield Tunnel Based on Time-History Analysis Method
3.3.1. Calculation Model
3.3.2. Calculated Working Conditions
3.3.3. Result Analysis
- (1)
- Internal Force Analysis
- (2)
- Analysis of the Rate of Diameter Change and Joint-Stretching value of Lining Segment
3.4. Results
4. Conclusions
Author Contributions
Funding
Institutional Review Board Statement
Informed Consent Statement
Data Availability Statement
Conflicts of Interest
References
- Kairong, H. Typical Underwater Tunnels in the Mainland of China and Related Tunneling Technologies. Engineering 2017, 3, 196–213. [Google Scholar]
- Chen, W.; Song, W.; Zhao, W.S.; Yang, D.S.; Zhao, K.; Sheng, Q. Research progress of seismic analysis methods and performance evaluation in underground engineering. Chin. J. Rock Mech. Eng. 2017, 36, 310–325. [Google Scholar]
- JTG/T 2232-01-219; Specifications for Seismic Design of Highway Tunnels. China Communications Press: Beijing, China, 2019.
- Gong, G.; Liang, J.; Ba, Z. Seismic Transverse Time-History Analysis of Shield Tunnel in Complex Soft Soil. J. Tianjin Univ. 2019, 52, 106–112. [Google Scholar]
- Chen, X. Study on the Seismic Response of Large-Scale Submerged Tunnel and Auxiliary Shaft; Beijing Jiaotong University: Beijing, China, 2013. [Google Scholar]
- Peng, Y.; Gong, C.; Ding, W.; Lei, M.; Shi, C. Fluid-structure Coupling Model of Shield Tunnel Considering Seepage of Segmental Joints. Chin. J. Civ. Eng. 2022, 55, 95–108. [Google Scholar]
- Chen, W.; Lv, Z.; Xu, L.; Ruan, B.; Ma, J.; Chen, G. Seismic Response of Subsea Tunnels Considering Seawater Seabed Coupling Effect. J. Eng. Geology. 2021, 29, 1878–1886. [Google Scholar]
- Zhu, S. Analytical Analysis of Seismic Response of Underwater Tunnel Considering of Water-Saturated Soil-Structure Dynamic Interaction; Beijing Jiaotong University: Beijing, China, 2021. [Google Scholar]
- Zhang, G.; Wang, P.; Zhao, M.; Du, X.; Zhao, X. Seismic structure-water-sediment-rock interaction model and its application to immersed tunnel analysis under obliquely incident earthquake. Mar. Struct. 2018, 60, 122–135. [Google Scholar] [CrossRef]
- Liu, Y.; Chen, G.; Kong, M. Seismic response of undersea tunnels to hydrodynamic and hydrostatic pressure. Chin. J. Geotech. Eng. 2013, 35, 357–362. [Google Scholar]
- Cheng, X.; Zhang, X.; Chen, W.; Xu, W.; Du, X. Stability Analysis of a Cross-Sea Tunnel Structure under Seepage and a Bidirectional Earthquake. Int. J. Geomech. 2017, 9, 06017008. [Google Scholar] [CrossRef]
- Zhao, K.; Zhu, S.; Bai, X.; Wang, Q.; Chen, S.; Zhuang, H.; Chen, G. Seismic response of immersed tunnel in liquefiable seabed considering ocean environmental loads. Tunn. Undergr. Space Technol. 2021, 115, 104066. [Google Scholar] [CrossRef]
- Chen, X.; Li, G.; Chen, J.; Zhang, K.; Du, X. Seismic response of a submarine tunnel under the action of a sea wave. Tunn. Undergr. Space Technol. 2021, 109, 103758. [Google Scholar]
- He, C.; Zhang, Z.; Xiao, M. Underwater Tunnel; Southwest Jiaotong University Press: Chengdu, China, 2011. [Google Scholar]
- Tang, S.; Zhang, X.; Liu, H. Engineering difficulties and key technologies for underwater shield tunnel in complex ground. J. Eng. Geol. 2021, 29, 1477–1487. [Google Scholar]
- Kiyomiya, O.; Tanabe, G.; Takemura, J. Dynamic response analysis of immersed tunnel considering of non-linearity of flexible joint. In Proceedings of the 28th Meeting of the Japan Soil Mechanics and Foundation, Japan; 1994. [Google Scholar]
- Anastasopoulos, I.; Gerolymos, N.; Drosos, V.; Kourkoulis, R.; Georgarakos, T.; Gazetas, G. Nonlinear response of deep immersed tunnel to strong seismic shaking. J. Geotech. Geo Environ. Eng. 2007, 133, 1067–1090. [Google Scholar] [CrossRef]
- Yan, Q.; Ma, T.; Wu, L.; Geng, P. Application of Response Displacement Method in Lateral Seismic Analysis of Shield Tunnel. Railw. Eng. 2010, 48–51. (In Chinese) [Google Scholar]
- Liu, Q.; Liu, Y.; Liang, J.; Ba, Z.; Wu, Z.; Wang, Z. Seismic Transverse Analysis of Shield Tunnel in Complex Soft Soil through Response Deformation Method. J. Earthq. Eng. 2020, 42, 1217–1224. (In Chinese) [Google Scholar]
- Geng, P.; Wang, Q.; Guo, X.; He, C.; Lu, S.; Xiao, M. Force Characteristics of Longitudinal Joints of Shield Tunnel under Seismic Action. J. Southwest Jiaotong Univ. 2020, 55, 704–712. (In Chinese) [Google Scholar]
- Mei, S. Study on Longitudinal Seismic Mechanical Model of Shield Tunnel and Its Application; Southwest Jiaotong University: Chengdu, China, 2019. (In Chinese) [Google Scholar]
- Wang, W.; He, C.; Geng, P. Longitudinal Aseismic Analysis of Shield Tunnels in Inhomogeneous Ground. Mod. Tunn. 2016, 53, 73–79. (In Chinese) [Google Scholar]
- Cai, X.; Liang, J.; Xu, A.; Li, D.; Wu, Z.; Yan, Q. Longitudinal seismic analysis of Mawan sea-crossing large diameter shield tunnels. J. Nat. Disasters. 2020, 29, 13–20. (In Chinese) [Google Scholar]
- Zhang, J.; He, C.; Geng, P.; He, Y.; Wang, W.; Meng, L. Shaking Table Tests on Longitudinal Seismic Response of Shield Tunnel through Soft-hard Stratum Junction. Chin. J. Rock Mech. Eng. 2017, 36, 68–77. (In Chinese) [Google Scholar]
- Chen, G.; Sun, R.; Zhao, D.; Ruan, B. Longitudinal Seismic Response Characteristics of Seabed Shield Tunnel Using Submodeling Analysis. Chin. J. Geotech. Eng. 2019, 41, 1983–1991. (In Chinese) [Google Scholar]
- He, C.; Geng, P. Research on Practical Seismic Analysis Method of Shield Tunnel. China J. Highw. Transp. 2020, 33, 15–25. [Google Scholar]
- GB 50267-2019; Seismic Design Standard for Nuclear Power Plants. China Planning Press: Beijing, China, 2019.
- ASCE 4-98-2000; Seismic Analysis of Safety-Related Nuclear Structures and Commentary. American Society of Civil Engineers: Reston, VA, USA, 2000.
- Dong, R.; Jing, L.; Shan, Z.; Qi, W. Influence of pile-soil-structure interaction on seismic response of non-bedrock nuclear power plant building. Earthq. Eng. Eng. Vib. 2022, 42, 229–238. (In Chinese) [Google Scholar]
- Yuan, D.; Wu, J.; Shen, X.; Jin, D.; Li, X. Engineering Safety of Cross-River or Cross-sea Long-distance Long-diameter Shield Tunneling Under Superhigh. Water Press. China J. Highw. Transp. 2020, 33, 26–45. [Google Scholar]
- Liu, S.; Feng, K.; He, C.; He, Z.S. Study on the Bending Mechanical Model of Segmental Joint in Shield Tunnel with Large Cross-section. Eng. Mech. 2015, 32, 215–224. (In Chinese) [Google Scholar]
- Zhang, L.; Feng, K.; Xiao, M.; Gou, C.; Gong, Y.F. Bending Stiffness Values for Segment Joint of Shield Tunnel with Large Cross-section. Tunn. Constr. 2019, 39, 619–625. (In Chinese) [Google Scholar]
























| No. | Soil Layer | Density (kg/m3) | Static Modulus of Elasticity (E/Pa) | Static Poisson’s Ratio (μ) | Dynamic Modulus of Elasticity (Ed/Pa) | Dynamic Poisson’s Ratio (μd) |
|---|---|---|---|---|---|---|
| 1 | Concrete | 2500 | 3.25 × 1010 | 0.20 | 4.225 × 1010 | 0.20 |
| 2 | Silt | 1610 | 1.00 × 107 | 0.30 | 1.95 × 107 | 0.45 |
| 3 | Muddy clay | 1750 | 1.30 × 107 | 0.30 | 2.91 × 107 | 0.45 |
| 4 | Clay | 1830 | 2.07 × 107 | 0.32 | 1.68 × 108 | 0.45 |
| 5 | Silty clay | 1950 | 2.61 × 107 | 0.30 | 1.49 × 108 | 0.45 |
| 6 | Moderately weathered rock | 2550 | 2.46 × 107 | 0.24 | 4.60 × 1010 | 0.21 |
| Seismic Peak | Bolt | Coefficient of Joint Stiffness | Working Condition | |||
|---|---|---|---|---|---|---|
| Tensile Strength 106 (N/m3) | Shear Resistance 106 (N/m3) | Bending Stiffness1 106(N·m)/Rad | Bending Stiffness1 106 (N·m)/Rad | |||
| SL-2: 0.15 g | M30 | 300 | 125 | 25 | 40 | 1 |
| 50 | 80 | 2 | ||||
| 75 | 100 | 3 | ||||
| Working Condition | Rate of Diameter Change at the Positions at which Monitoring Sites are Located (‰) | |||||||
|---|---|---|---|---|---|---|---|---|
| 1–9 | 2–10 | 3–11 | 4–12 | 5–13 | 6–14 | 7–15 | 8–16 | |
| 1 | 1.085 | 1.416 | 1.816 | 1.914 | 1.761 | 1.809 | 1.712 | 1.551 |
| 2 | 1.074 | 1.402 | 1.755 | 1.868 | 1.744 | 1.775 | 1.701 | 1.524 |
| 3 | 1.067 | 1.394 | 1.721 | 1.846 | 1.735 | 1.755 | 1.694 | 1.507 |
| Working Condition | Position of Joints | |||||
|---|---|---|---|---|---|---|
| 1 | 2 | 3 | 4 | 5 | 6 | |
| 1 | 0.032 | 0.976 | 0.428 | 0.676 | 1.159 | 0.759 |
| 2 | 0.028 | 0.648 | 0.206 | 0.505 | 0.858 | 0.559 |
| 3 | 0.022 | 0.494 | 0.123 | 0.402 | 0.680 | 0.442 |
| Working Condition | Longitudinal Joint | |
|---|---|---|
| Opening Volume (mm) | Amount of Dislocation (mm) | |
| 1 | 6.274 | 0.999 |
| 2 | 5.536 | 0.919 |
| 3 | 5.093 | 0.836 |
| Working Condition | Position | Tunnel Thickness (mm) | Axial Force (kN) | Shear (kN) | Bending Moment (kN·m) | |||
|---|---|---|---|---|---|---|---|---|
| Max | Min | Max | Min | Max | Min | |||
| Section 1 | Normal X | 450 | 180.7 | −3456.3 | 1361.6 | −1021.7 | 222.5 | −9.4 |
| Normal Z | 450 | 616.2 | −1270.9 | 89.3 | −77.9 | 25.5 | −24.3 | |
| Section 2 | Normal X | 450 | 47.5 | −3368.2 | 1448.3 | −1118.4 | 204.1 | −1.6 |
| Normal Z | 450 | 686.7 | −1351.0 | 97.0 | −55.1 | 40.2 | −40.7 | |
| Section 3 | Normal X | 450 | 85.4 | −3247.4 | 1259.7 | −931.6 | 192.6 | −4.8 |
| Normal Z | 450 | 386.6 | −1434.8 | 101.3 | −108.6 | 25.1 | −21.8 | |
| Working Condition | Rate of Diameter Change at the Positions at which Monitoring Sites are Located (‰) | |||||||
|---|---|---|---|---|---|---|---|---|
| 1–9 | 2–10 | 3–11 | 4–12 | 5–13 | 6–14 | 7–15 | 8–16 | |
| Section 1 | 1.076 | 1.060 | 1.076 | 1.336 | 1.228 | 1.156 | 1.148 | 1.112 |
| Section 2 | 1.008 | 1.204 | 1.244 | 1.300 | 1.200 | 1.080 | 1.044 | 0.984 |
| Section 3 | 0.872 | 0.908 | 1.048 | 1.248 | 0.864 | 1.068 | 0.956 | 0.880 |
| Working Condition | Joint Position | |||||
|---|---|---|---|---|---|---|
| 1 | 2 | 3 | 4 | 5 | 6 | |
| Section 1 | 0.312 | 0.482 | 0.391 | 0.386 | 0.529 | 0.393 |
| Section 2 | 0.302 | 0.460 | 0.434 | 0.384 | 0.525 | 0.373 |
| Section 3 | 0.261 | 0.411 | 0.359 | 0.298 | 0.473 | 0.348 |
Disclaimer/Publisher’s Note: The statements, opinions and data contained in all publications are solely those of the individual author(s) and contributor(s) and not of MDPI and/or the editor(s). MDPI and/or the editor(s) disclaim responsibility for any injury to people or property resulting from any ideas, methods, instructions or products referred to in the content. |
© 2023 by the authors. Licensee MDPI, Basel, Switzerland. This article is an open access article distributed under the terms and conditions of the Creative Commons Attribution (CC BY) license (https://creativecommons.org/licenses/by/4.0/).
Share and Cite
Zhao, J.; Wang, C.; Lan, W. Seismic Response Analysis of a Shield Tunnel in a Coastal Nuclear Power Plant under a Complex Foundation. Appl. Sci. 2023, 13, 6233. https://doi.org/10.3390/app13106233
Zhao J, Wang C, Lan W. Seismic Response Analysis of a Shield Tunnel in a Coastal Nuclear Power Plant under a Complex Foundation. Applied Sciences. 2023; 13(10):6233. https://doi.org/10.3390/app13106233
Chicago/Turabian StyleZhao, Jie, Cuicui Wang, and Wenjun Lan. 2023. "Seismic Response Analysis of a Shield Tunnel in a Coastal Nuclear Power Plant under a Complex Foundation" Applied Sciences 13, no. 10: 6233. https://doi.org/10.3390/app13106233
APA StyleZhao, J., Wang, C., & Lan, W. (2023). Seismic Response Analysis of a Shield Tunnel in a Coastal Nuclear Power Plant under a Complex Foundation. Applied Sciences, 13(10), 6233. https://doi.org/10.3390/app13106233

