Abstract
In seismic data acquisition, data loss can occur, particularly with the use of streamer systems in marine seismic exploration. These systems often cause spatial aliasing problems by having close inline intervals and wide crossline intervals to maximize the exploration range. To improve the resolution of seismic data in the crossline direction, various machine learning techniques have been employed for crossline data reconstruction. In this study, we introduce a 3D cWGAN (conditional Wasserstein generative adversarial network) for interpolating 3D seismic data. We evaluate the model’s performance by comparing it with 2D cWGAN and 3D U-Net. In this study, two interpolation strategies are employed to reconstruct missing data in the crossline direction. The first strategy uses a 2D network, which trains a model using inline data and applies the trained model to the crossline direction via 2D cWGAN. The second strategy employs a 3D network, which uses the 3D volume of the seismic data directly via 3D cWGAN and 3D U-Net. We demonstrate the effectiveness of the proposed method using the Sleipner CO2 4D seismic survey dataset. Our results show that the 3D cWGAN is more efficient in enhancing resolution and computation compared to the 2D cWGAN or 3D U-Net.
1. Introduction
In the acquisition of seismic data, there is a risk of losing some of the data due to economic and environmental constraints, mechanical issues, and other such factors. In particular, the use of conventional streamer systems in marine seismic exploration, in particular, often leads to spatial aliasing problems because these systems tend to have close inline intervals and wide crossline intervals in order to maximize the system’s survey area. This loss of data can have a negative effect on the subsequent processing and interpretation of data, and it may be necessary to conduct additional surveys in order to restore the data, which incurs additional time and financial costs [1]. To improve the resolution of 3D seismic data, trace interpolation in the crossline direction is required. With the advancement of machine learning, there has been an increase in research into various machine learning-based interpolation methods.
Chai et al. (2020) proposed a convolutional neural network model using U-Net architecture for the interpolation of 2D seismic data. The proposed model outperformed the FGFT (fast-generalized Fourier transform) interpolation method, and the synthetic and field data had higher signal-to-noise ratios [2,3]. Chang et al. (2019) proposed a TF-CGAN (conditional generative adversarial networks in time and frequency domain) model using a cGAN model. The TF-CGAN model uses frequency domain information from Fourier transform in its generator and discriminator to increase the prediction accuracy of the model [4]. Li et al. (2022) proposed a CA-Unet (coordinate attention Unet) model based on a U-Net with a coordinate attention block. The CA-Unet model uses a coordinate attention block to optimize the use of feature maps and achieve high-accuracy predictions [5]. Park et al. (2022) proposed a CF-Unet (coarse-refine Unet) model using a coarse-refine U-Net with frequency wavenumber (FK) loss. The CF-Unet model solves the over-smoothing problem and accelerates network convergence with FK loss while mitigating the high-frequency loss problem [6]. Kaur et al. (2019) proposed a model consisting of two generators and one discriminator using the Cycle GAN structure. The proposed model showed an improved prediction speed and accuracy compared to the RNA method [7] in frequency spatial prediction filter interpolation [8].
Kong et al. (2022) proposed a multi-resolution U-Net model that utilizes the correlation of 3D data for interpolating 3D seismic data. The model outperformed the traditional U-Net model as it was able to accurately predict weak events and utilize both horizontal and vertical correlations. The model also reduced computation costs by pre-setting initial CNN weights [9]. Qian et al. (2022) proposed a deep tensor autoencoder (DTAE) model that is able to learn data-based, nonlinear, and high-dimensional mapping. The DTAE model accurately captures relationships between traces even when using data associated with complex geologic structures, resulting in accurate predictions [10]. Jin et al. (2023) proposed a DS-U-Net model based on 3D U-Net, which uses depthwise separable convolution instead of traditional convolution. Depthwise separable convolution reduces the computational cost and the number of parameters by dividing traditional convolution into two parts: depthwise convolution and pointwise convolution [11].
Compared to other machine learning algorithms, convolutional neural network (CNN) based and generative adversarial network (GAN) based algorithms are widely used in the field of seismic data interpolation. Yu and Yoon (2022) conducted an evaluation and comparison of the U-Net and conditional Wasserstein generative adversarial network (cWGAN) to determine an interpolation method that is able to accurately reconstruct 2D seismic data. After thorough experiments, they concluded that cWGAN achieved higher accuracy and excellent performance compared to U-Net [12].
Based on this, in this paper, we propose to extend the 2D cWGAN to a 3D model and apply it to the interpolation of 3D seismic data. We also propose to evaluate the performance of the developed model by comparing the results of the 2D cWGAN and 3D U-Net for the interpolation of 3D seismic data.
In this paper, we first introduce cWGAN and describe the study strategy and the seismic data used. We then present the structure and performance evaluation indicators of the 2D cWGAN, 3D cWGAN and 3D U-Net models. Finally, we compare the interpolation results obtained from each model.
2. Approach
2.1. cWGAN
GAN is a type of generative model that was proposed in 2014 by Goodfellow [13]. GAN is composed of a generator and a discriminator; both networks compete with each other in an adversarial relationship while learning and generating data. The latent variable used to generate data passes through the generator to generate fake data and is then input into the discriminator along with real data. The discriminator performs the task of distinguishing between fake and real data and obtains discriminator loss and generator loss during the discrimination process. Through the process of minimizing discriminator loss and generator loss, the abilities of the discriminator and generator are improved. The final goal is for the generator’s ability to improve to the point where the discriminator can no longer distinguish between fake and real data.
CGAN (conditional GAN) [14] was developed to address the issue of controlling the noise vector that was unable to be adjusted in traditional GANs. By adding conditions to traditional GANs, it became possible to control the data generation process. It also uses a generator based on pix2pix, making it a supervised learning technique [15].
WGAN (Wasserstein GAN) [16] was developed to solve the issues of mode collapse and vanishing gradients that occur in traditional GANs. When using the Wasserstein loss function and gradient penalty regularization, WGAN can further improve the stability and performance of the training process.
cWGAN is a combination of CGAN and WGAN. cWGAN utilizes Wasserstein loss and applies supervised learning to control the noise vector in the same way as CGAN. As a result, cWGAN can effectively address issues, such as mode collapse, gradient vanishing, and controlling data generation by being able to control the noise vector at the same time [17,18].
The structure of the cWGAN used in this study is depicted in Figure 1. Figure 1a illustrates the structure of the 2D cWGAN, where two-dimensional input data are used, and Figure 1b illustrates the structure of the 3D cWGAN, where three-dimensional input data are used. In both models, the input data x, which are a patch of seismic data with missing traces, are fed into the generator. The predicted result G(x), which is the interpolated data, and the input data x are simultaneously fed into the discriminator to undergo discrimination, and its output is D(x, G(x)). Additionally, the input data x and the corresponding target data y are used for training the discriminator, and its output is D(x, y). Once the model is trained, only the generator G is used to conduct the interpolation.
Figure 1.
Network architecture of 2D and 3D cWGAN. (a) 2D cWGAN, (b) 3D cWGAN.
2.2. Generator
The structure of the generator of both the 2D cWGAN and 3D cWGAN used in this study is illustrated in Figure 2. The generator for the 2D cWGAN is a 2D U-Net that employs 2D convolution, as shown in Figure 2a. The input size of the model is 80 × 80 × 1 for the corrupted data used as input and conditioning data, and the model is designed to output data of the same size. The model consists of contraction and expansion stages in an autoencoder format. The contraction stage employs ReLU (rectified linear unit) activation functions and consists of 3 × 3 convolutions and 4 max poolings. The expansion stage also uses ReLU as the activation function and is made up of 3 × 3 convolutions and 2 × 2 upsamplings. During the contraction stage, the input is downsampled, which reduces its spatial resolution and results in the loss of important details. Similarly, during the expansion stage, the upsampled feature maps must be merged with the feature maps from the contracting stage to recover the lost spatial information. To address these issues, skip connections are added. Detailed information about the model is provided in Table 1.
Figure 2.
Structure of 2D and 3D generator. (a) Generator of 2D cWGAN; (b) generator of 3D cWGAN.
Table 1.
Structure of 2D generator.
The 3D cWGAN generator uses a 3D U-Net model with 3D convolution, as shown in Figure 2b. The model is configured to take in input data of a size of 80 × 80 × 80 × 1 and output results of the same size. It is also composed of contraction and expansion stages, similar to the 2D cWGAN, with the contraction stage using ReLU as the activation function, which is composed of 3 × 3 × 3 convolutions and 4 max pooling operations. The expansion stage also uses ReLU as the activation function, which is composed of 3 × 3 × 3 convolutions and 2 × 2 × 2 upsamplings. The accuracy of the prediction is improved by adding a skip connection, which is the same as with the 2D cWGAN. Detailed information on the model is shown in Table 2. In this study, the model prediction was performed using only the generator; this model is referred to as the 3D U-Net.
Table 2.
Structure of 3D generator.
2.3. Discriminator
The discriminator of 2D cWGAN is based on PatchGAN [19]. PatchGAN is a modification of the traditional GAN architecture that uses a discriminator network to classify input images as either real or fake. Instead of classifying the entire image as real or fake, the PatchGAN discriminator classifies local patches of the image and outputs a score for each patch, indicating whether it is real or fake. The scores are averaged to produce a single value, which represents the overall score for the entire image. This enables the discriminator to capture more fine-grained details of the image and provide more accurate feedback to the generator network [20]. The PatchGAN-based discriminator used for the 2D cWGAN in this study consists of a series of 2D convolutional layers followed by fully connected layers. The convolutional layers extract features from the input patch, and the fully connected layers transform the extracted features into a probability score. The activation function used is ReLU, which is the same as that used for the generator. The discriminator of the 3D cWGAN is also based on PatchGAN, which applies 3D convolution and is composed of an encoder only, which is the same as the discriminator of the 2D cWGAN and uses ReLU as the activation function. Table 3 and Table 4 represent the structure of the 2D cWGAN and 3D cWGAN discriminators, respectively.
Table 3.
Structure of 2D discriminator.
Table 4.
Structure of 3D discriminator.
2.4. Wasserstein Loss
In this study, we trained 2D and 3D cWGAN models with Wasserstein loss. Wasserstein loss, represented by W, calculates the Wasserstein distance, proposed by Dobrushin in 1970 [21] and is defined as
where w represents a sample from population and represents the set of all joint probability distributions , with and . In other words, is the estimated value that minimizes the expected value of among . As the sampling is repeated, converges to the optimal connection, and the distribution of varies depending on the connection between x and y. In this way, the Wasserstein distance has a probability distribution with the minimum expected value of among many [21].
The KL (Kullback–Leibler) divergence or JS (Jensen–Shannon) divergence is discontinuous when and do not overlap with each other, whereas the Wasserstein distance is continuous, which is an advantage in determining convergence because it is flexible. If is specified as the Euclidean distance , and the probability measures of and are defined as and , respectively, it can be derived according to the Kantorovich–Rubinstein duality as
means that the function is 1-Lipschitz continuous, and a 1-Lipschitz continuous function is a function that satisfies the following equation for all x, y within its domain [22,23].
2.5. Interpolation Strategy
In this study, two interpolation strategies were applied in order to perform the data interpolation of 3D seismic data in the crossline direction. The first is an interpolation strategy using a 2D network, and the generated data and data extraction direction are shown in Figure 3. First, to train the model, data with a regular 50% missing trace were generated from the inline direction and 80 × 80-sized patches were extracted, and this was used as the training data (Figure 3a). Next, to test the model, data with a regular 50% missing trace were generated from the crossline direction and 80 × 80-sized patches were extracted, and this was used as the test data (Figure 3b). Finally, to predict data in the inline direction, the predicted data in the crossline direction, marked with a blue box in Figure 3c, were combined with the overall predicted data in the crossline direction, and the lost inline data prediction was performed (Figure 3c). In this study, a 2D cWGAN was used as the 2D network.
Figure 3.
Interpolation strategy applied to 2D cWGAN (the direction in which the data were extracted is indicated by orange lines, and the missing data are indicated by dotted lines). (a) Training data and data extraction direction of 2D cWGAN, (b) test data and data extraction direction of 2D cWGAN, and (c) data prediction method and label data for inline direction (the blue box represents an illustrative example of combining the predicted data in the crossline direction to perform data prediction in the inline direction).
The second strategy is an interpolation strategy using a 3D network, and the generated data and data extraction direction using this strategy are shown in Figure 4. To model training and testing, regularly 50% of the traces were decimated from the crossline direction, and an 80 × 80 × 80-sized cube was extracted to generate the data. In total, 70% of the extracted data were used as the training data (Figure 4a), and 30% were used as the test data (Figure 4b). In this strategy, crossline reconstruction was performed using the 3D U-Net and 3D cWGAN.
Figure 4.
Interpolation strategy applied to 3D cWGAN (the part indicated by the orange line is the training data, and the part indicated by the green line is the test data). (a) Training data and data extraction direction of 3D cWGAN; (b) test data and data extraction direction of 3D cWGAN.
3. Experiment
The present study uses the publicly available Sleipner CO2 4D seismic survey dataset for the interpolation of 3D seismic survey data, which targets a reservoir layer located near the North Sea in Norway [24] (Figure 5). The data were obtained from repeated surveys of a 4 km × 7 km area that includes the reservoir layer, with the reference data collected in 1994 and the monitoring data collected in 2001, 2004, 2006, 2008, and 2010. The seismic data up to and including the 2001 survey were processed by WesternGeco, and the seismic data from 1994, 2001, 2004, and 2006 were fully reprocessed by PGS. Time-lapse processing in 2008 and 2010 was carried out in a similar procedure. The 2010 data set includes time-lapse and seismic imaging data with four offset stacks featuring full, near, mid and far folds. This study used the seismic image processed 2010 data with full fold, which consists of 1121 crosslines, 216 inlines, and 1001 samples, with a total of 242,136 traces [25,26]. Table 5 provides further detailed information on the data.
Figure 5.
Exploration location of the vertical section of data used. (a) Exploration area (about the box area); (b) vertical section of the exploration area.
Table 5.
Acquisition parameter of Sleipner 4D seismic data 2010.
To train each model, the two strategies described were applied to generate train data. For the 2D cWGAN, regularly 50% of the traces were missed in the inline direction, and 80 × 80 sized patches were extracted and applied to train the model. For the 3D cWGAN, data were generated by regularly missing 50% of the traces in the crossline direction, and 80 × 80 × 80 sized cubes were extracted; 70% of these were used for model training. For the 3D U-Net that only used the generator of 3D cWGAN, the data were generated in the same way as those generated with the 3D cWGAN, with 80 × 80 × 80 sized cubes being extracted; 70% of these were used for the training data, 20% for the validation data, and 10% for the testing data. We used the RMSprop optimizer with a learning rate of 5 × 10−5 and 1 × 10−5 for 2D and 3D cWGAN, respectively, and the Adam optimizer with a learning rate of 1 × 10−4 for 3D U-Net. The batch sizes are 4, 4, and 32 for 3D U-Net, 3D cWGAN and 2D cWGAN, respectively. All network training was carried out on TensorFlow 2 framework, and two GPUs (GeForce RTX 2090 Ti, NVIDIA, Santa Clara, CA, USA) were used to accelerate computation.
Six different test datasets were generated for testing the trained model, and these are shown in Figure 6. For testing, data with misses of 50%, 67%, and 75% in a regular/irregular pattern were generated from the same dataset in the crossline direction and were used. The same testing data were applied to the 2D cWGAN, 3D cWGAN, and 3D U-Net models.
Figure 6.
Label data and corresponding test input data for six cases of missing data in crossline.
The test data use data that were missed at rates of 50%, 67%, and 75% in a regular/irregular manner in the crossline direction, and the same test data were applied to the 2D cWGAN, 3D cWGAN, and 3D U-Net models.
4. Results
The six test results of the 2D cWGAN, 3D cWGAN, and 3D U-Net models used in this study are shown in Figure 7, Figure 8 and Figure 9. Figure 7 and Figure 8 are the test results in the crossline direction, and Figure 9 is the test results in the inline direction for data with regularly 75% missing traces.

Figure 7.
The test results in crossline direction for input data with regularly missing data. (a–c) Interpolation results and corresponding residuals (difference between interpolation result and label) for data with 50, 67, and 75% missing traces, respectively.

Figure 8.
The test results in crossline direction for input data with irregularly missing data. (a–c) Interpolation results and corresponding residuals (difference between interpolation result and label) for data with 50, 67, and 75% missing traces, respectively.
Figure 9.
The test results for data with regularly 75% missing traces in the inline direction. (a) Input data and label data; (b) interpolation results and corresponding residuals (difference between interpolation result and label).
By comparing the prediction results in the crossline direction of each model through Figure 7 and Figure 8, it can be seen that the difference between the label data and the prediction result of the 3D cWGAN is smaller compared to that of the 2D cWGAN and 3D U-Net and that it shows a smoother prediction result compared to the prediction results of the two models. On the other hand, in the case of the 3D U-Net, as the missing rate of the data increases, it is possible to see that most of the data are not predicted.
In the case of Figure 9a, which represents the input data and label data in the inline direction, it can be confirmed that there are no data in the inline direction due to the missing data in the crossline direction in the input data. By comparing the prediction results in the inline direction in Figure 9b, it can be seen that the difference between the label data and the prediction result is smaller in the 3D cWGAN than in the 2D cWGAN and 3D U-Net.
Additional accuracy verification of the interpolation result was performed by converting it into an f-k spectrum for comparison. The f-k spectrum is a frequency-wavenumber domain where the frequency (f) and wavenumber (k) are used as independent variables, which are the results of a two-dimensional Fourier transform of seismic exploration records or sections. It is mainly used in the analysis of seismic direction and apparent velocity and in the design of velocity filters in seismic data analysis. Data that exceeds the Nyquist frequency () determined by discrete space sampling can spread around and be mixed with signals, and the Nyquist wavenumber () proceeds from right to left . The aliasing observed in the f-k spectrum is due to the interval of the receiver or missing data, resulting in spatial aliasing [27].
The results of the interpolation in the crossline direction shown in Figure 7c, where 75% of the trace is regularly missed, are presented in Figure 10 for the f-k spectrum of the data. Figure 10a shows the input data and label data for the corresponding data, and Figure 10b shows the interpolation results of each model and the f-k spectrum of the residuals corresponding to each result. When comparing the interpolation results shown in Figure 10b, the 3D U-Net showed large residuals compared to other models, while the 3D cWGAN showed relatively small residuals and highly accurate prediction results. In addition, similar f-k spectra were observed for other cases. Overall, our results confirmed that the 3D cWGAN approach achieves higher accuracy in crossline interpolation compared to other models.
Figure 10.
F-k spectrum about Figure 7c. (a) Input data and label data with regularly 75% missing traces in crossline direction; (b) interpolation results and corresponding residuals (difference between interpolation result and label) about (a).
The f-k spectrum corresponding to the inline direction interpolation results shown in Figure 9 is shown in Figure 11. Figure 11a shows the label data in the inline direction, and Figure 11b shows the interpolation results and corresponding residuals for each model in the inline direction. When comparing the interpolation results of each model in Figure 11b, the 3D U-Net showed relatively large residuals and poor performance, while the 3D cWGAN showed relatively small residuals and accurate prediction results compared to other models. Through analysis of the f-k spectrum, we confirmed that the 3D cWGAN outperformed other methods.
Figure 11.
F-k spectrum about Figure 9. (a) Label data in inline direction; (b) interpolation results and corresponding residuals (difference between interpolation result and label) about (a).
To quantify the performance of the trained models, we use three metrics: MSE (mean squared error), PSNR (peak signal-to-noise ratio) and SSIM (structural similarity index).
MSE is widely utilized as a full-reference metric for evaluating image quality, with lower values indicating better performance. MSE is calculated by following Equation (4).
where represents the predicted result; represents the actual value; N represents the amount of data.
PSNR is a metric commonly used to measure the quality of image representation by calculating the ratio between the maximum possible signal power and the power of the distorting noise. PSNR is calculated by following Equation (5).
where (peak value) is the maximal in the image data. A larger PSNR indicates better quality of the image.
SSIM is a perceptual image quality assessment metric used to measure the quality of an image. This metric compares the contrast, brightness, structure, and other aspects of an image to measure the structural similarity between the original and altered images. SSIM is calculated by following Equation (6).
where x and y represent the two images to be compared; , and are the mean, variance, and covariance of images x and y, respectively; and are small constant values. The value ranges between 0 to 1, with values closer to 1 indicating greater similarity between and .
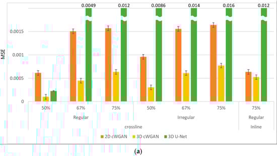
We obtain the average values of these metrics by applying the trained model to the test dataset (Figure 12). The standard deviation of each is shown as error bars on the graph, and the x-axis represents the amount of missing data as a percentage. Figure 12a–c represents the graph of the comparison of MSE, PSNR, and SSIM, respectively, and those values for all the test cases are presented in Table 6.

Figure 12.
Comparison of (a) MSE, (b) PSNR and (c) SSIM by 2D cWGAN, 3D cWGAN and 3D U-Net.
Table 6.
Performance comparison of 3D cWGAN, 2D cWGAN, and 3D U-Net interpolation methods on the Sleipner Seismic dataset using MSE, PSNR, and SSIM metrics. Bold: Best values.
When 50% of the traces are regularly missing, as shown in Figure 12, the results indicate that both the 3D U-Net and 3D cWGAN exhibit similar accuracy, with the 3D U-Net having a higher MSE (indicating worse performance) and PSNR (indicating better performance), but equal SSIM compared to the 3D cWGAN. The 2D cWGAN model performs worse than other models in this case. These findings suggest that both the 3D U-Net and 3D cWGAN models can be effective in cases where 50% of traces are regularly missing.
However, in all other cases except regularly missing 50%, the 3D cWGAN consistently outperformed the other two models. The 3D U-Net performs worse as the missing rate increases and is even worse than the 2D cWGAN. Therefore, our findings suggest that the 3D cWGAN is a promising approach to use for interpolating 3D seismic data since it can achieve highly accurate predictions in all our test results.
5. Discussion and Conclusions
In this study, we aimed to interpolate 3D seismic data using three deep learning models, namely, 2D cWGAN, 3D cWGAN, and 3D U-Net, and evaluate their prediction accuracy by comparing the interpolation results. To accomplish this goal, we used the Sleipner CO2 4D seismic survey dataset and assessed the performance of each model using MSE, PSNR, and SSIM metrics.
Our analysis revealed that the 3D U-Net exhibited a high accuracy only when the training and test data were generated using similar patterns of missing traces, such as regularly 50% missing traces in both sets. However, its performance significantly decreased when applied to other types of missing data. In contrast, the 3D cWGAN demonstrated high-accuracy predictions not only for the test data generated with similar patterns to the training data but also for other types of missing data. Moreover, when comparing the prediction results in the inline direction, the 3D cWGAN showed smaller residuals compared to the other two models. Therefore, among the three models, the 3D cWGAN performed data prediction in the inline and crossline directions with relatively high accuracy.
Although the 3D cWGAN exhibited the best performance in this study, it is important to note that there may be other deep learning models or optimization techniques that could further improve the accuracy of the interpolation of the data. Nevertheless, our findings suggest that the 3D cWGAN is a promising approach to use for interpolating 3D seismic data as it can achieve highly accurate predictions even when dealing with data patterns that are not similar to the training data. This could have significant implications for the field of geophysics and seismic exploration, as the accurate interpolation of 3D seismic data is critical for identifying and characterizing subsurface geological structures.
In conclusion, our study demonstrates that deep learning models, such as the 3D cWGAN, have the potential to significantly improve the accuracy of interpolating 3D seismic data. Our results also highlight the need to conduct further research on the development of advanced deep-learning models and optimization techniques that can further enhance the performance of these models. Ultimately, our findings could help pave the way for a more accurate and efficient interpretation of subsurface geological structures, which could have important implications for a wide range of industries, including oil and gas exploration, mining, geothermal energy production, and CO2 injection monitoring.
Author Contributions
Methodology, D.Y.; Software, J.Y.; Investigation, J.Y.; Writing—original draft, J.Y.; Supervision, D.Y. All authors have read and agreed to the published version of the manuscript.
Funding
This work was supported by a Korea CCUS Association (K-CCUS) grant funded by the Korea Government (MOE, MOTIE) (KCCUS20220001, Human Resources Program for Reduction of greenhouse gases) and by Korea Institute of Marine Science & Technology Promotion (KIMST) grant funded by Ministry of Oceans and Fisheries (MOF) (20220254, Development of technology for seabed classification based on machine learning).
Institutional Review Board Statement
Not applicable.
Informed Consent Statement
Not applicable.
Data Availability Statement
The Sleipner CO2 Reference datasets, 2020 can be obtained at https://co2datashare.org/dataset/sleipner-2019-benchmark-model (accessed on 10 February 2022).
Acknowledgments
The authors would like to thank Sleipner Group for providing the benchmark data (Sleipner CO2 Reference datasets, 2020).
Conflicts of Interest
The authors declare no conflict of interest.
References
- Bae, W.; Kwon, Y.; Ha, W. Research Trend analysis for Seismic Data Interpolation Methods using Machine Learning. Geophys. Geophys. Explor. 2020, 23, 192–207. [Google Scholar] [CrossRef]
- Chai, X.; Gu, H.; Li, F.; Duan, H.; Hu, X.; Lin, K. Deep learning for irregularly and regularly missing data reconstruction. Sci. Rep. 2020, 10, 3302. [Google Scholar] [CrossRef] [PubMed]
- Naghizadeh, M.; Innanen, K.A. Seismic data interpolation using a fast generalized Fourier transform. Geophysics 2011, 76, 1JF-Z19. [Google Scholar] [CrossRef]
- Chang, D.K.; Yang, W.Y.; Yong, X.S.; Li, H.S. Seismic data interpolation with conditional generative adversarial network in time and frequency domain. SEG Tech. Program Expand. Abstr. 2019, 2019, 2589–2593. [Google Scholar] [CrossRef]
- Li, X.; Wu, B.; Zhu, X.; Yang, H. Consecutively Missing Seismic Data Interpolation Based on Coordinate Attention Unet. IEEE Geosci. Remote Sens. Lett. 2022, 19, 3005005. [Google Scholar] [CrossRef]
- Park, H.; Lee, W.; Hwang, J.; Min, D.J. Coarse-Refine Network with Upsampling Techniques and Fourier Loss for the Reconstruction of Missing Seismic Data. IEEE Trans. Geosci. Remote Sens. 2022, 60, 5917615. [Google Scholar] [CrossRef]
- Liu, Y.; Fomel, S. Seismic data interpolation beyond aliasing using regularized nonstationary autoregression. Geophysics 2011, 76, 69–77. [Google Scholar] [CrossRef]
- Kaur, H.; Pham, N.; Fomel, S. Seismic data interpolation using CycleGAN. SEG Tech. Program Expand. Abstr. 2019, 2019, 2202–2206. [Google Scholar] [CrossRef]
- Kong, F.; Picetti, F.; Lipari, V.; Bestagini, P.; Tang, X.; Tubaro, S. Deep Prior-Based Unsupervised Reconstruction of Irregularly Sampled Seismic Data. IEEE Geosci. Remote Sens. Lett. 2022, 19, 7501305. [Google Scholar] [CrossRef]
- Qian, F.; Liu, Z.; Wang, Y.; Liao, S.; Pan, S.; Hu, G. DTAE: Deep Tensor Autoencoder for 3-D Seismic Data Interpolation. IEEE Trans. Geosci. Remote Sens. 2021, 60, 5904219. [Google Scholar] [CrossRef]
- Jin, Z.; Li, X.; Yang, H.; Wu, B.; Zhu, X. Depthwise separable convolution Unet for 3D seismic data interpolation. Front. Earth Sci. 2023, 10, 1005505. [Google Scholar] [CrossRef]
- Yu, J.; Yoon, D. Comparison of Seismic Data Interpolation Performance using U-Net and cWGAN. Geophys. Geophys. Explor. 2022, 25, 140–161. [Google Scholar] [CrossRef]
- Goodfellow, I.; Pouget-Abadie, J.; Mirza, M.; Xu, B.; Warde-Farely, D.; Ozair, S.; Courville, A.; Bengio, Y. Generative adversarial nets. Adv. Neural Inf. Process. Syst. 2014, 2, 2672–2680. [Google Scholar] [CrossRef]
- Mirza, M.; Osindero, S. Conditional generative adversarial nets. arXiv 2014, arXiv:1411.1784. [Google Scholar] [CrossRef]
- Zhu, J.Y.; Park, T.; Isola, P.; Efros, A.A. Unpaired Image-to-Image Translation using Cycle-Consistent Adversarial Networks. In Proceedings of the 2017 IEEE International Conference on Computer Vision (ICCV), Venice, Italy, 22–29 October 2017; pp. 2223–2232. [Google Scholar] [CrossRef]
- Arjovsky, M.; Chintala, S.; Bottou, L. Wasserstein Generative Adversarial Networks. In Proceedings of the 34th International Conference on Machine Learning, Sydney, Australia, 17 July 2017; pp. 214–223. [Google Scholar] [CrossRef]
- Liu, Y.; Qin, Z.; Wan, T.; Luo, Z. Auto-painter: Cartoon image generation from sketch by using conditional wasserstein generative adversarial networks. Neurocomputing 2018, 311, 78–87. [Google Scholar] [CrossRef]
- Ebenezer, J.P.; Das, B.; Mukhopadhyay, S. Single image haze removal using conditional wasserstein generative adversarial networks. In Proceedings of the 2019 27th European Signal Processing Conference (EUSIPCO), A Coruña, Spain, 2–6 September 2019; pp. 1–5. [Google Scholar] [CrossRef]
- Isola, P.; Zhu, J.Y.; Zhou, T.; Efros, A.A. Image-to-image translation with conditional adversarial networks. In Proceedings of the 2017 IEEE Conference on Computer Vision and Pattern Recognition (CVPR), Honolulu, HI, USA, 21–26 July 2017; pp. 1125–1134. [Google Scholar] [CrossRef]
- Wei, Q.; Li, X.Y.; Song, M.P. De-aliased seismic data interpolation using conditional Wasserstein generative adversarial networks. Comput. Geosci. 2021, 154, 104801. [Google Scholar] [CrossRef]
- Dobrushin, R.L. Prescribing a System of Random Variables by Conditional Distributions. Theory Probab. Its Appl. 1970, 15, 458–486. [Google Scholar] [CrossRef]
- Villani, C. Optimal Transport: Old and New; Springer Science & Business Media: Berlin/Heidelberg, Germany, 2008; p. 338. Available online: https://cedricvillani.org/sites/dev/files/old_images/2012/08/preprint-1.pdf (accessed on 2 February 2023).
- Hahn, H.I. Proposing Effective Regularization Terms for Improvement of WGAN. J. Korea Multimed. Soc. 2021, 24, 13–20. [Google Scholar] [CrossRef]
- Sleipner 4D Seismic Database. Available online: https://co2datashare.org/dataset/sleipner-4d-seismic-dataset (accessed on 1 October 2020).
- Boait, F.C.; White, N.J.; Bickle, M.J.; Chadwick, R.A.; Neufeld, J.A.; Huppert, H.E. Spatial and temporal evolution of injected CO2 at the Sleipner field, North Sea. J. Geophys. Res. 2021, 117, 1–21. [Google Scholar] [CrossRef]
- Furre, A.; Eiken, O.; Alnes, H.; Vevatne, J.N.; Kiaer, A.F. 20 years of monitoring CO2-injection at Sleipner. Energy Procedia 2017, 114, 3916–3926. [Google Scholar] [CrossRef]
- Yang, A.Y.; Suh, J.H. Applying Spitz Trace Interpolation Algorithm for Seismic Data. Geophysics 2003, 6, 171–179. [Google Scholar]
Disclaimer/Publisher’s Note: The statements, opinions and data contained in all publications are solely those of the individual author(s) and contributor(s) and not of MDPI and/or the editor(s). MDPI and/or the editor(s) disclaim responsibility for any injury to people or property resulting from any ideas, methods, instructions or products referred to in the content. |
© 2023 by the authors. Licensee MDPI, Basel, Switzerland. This article is an open access article distributed under the terms and conditions of the Creative Commons Attribution (CC BY) license (https://creativecommons.org/licenses/by/4.0/).