Finite-Key Analysis of 1-Decoy Method Quantum Key Distribution with Intensity Fluctuation
Abstract
1. Introduction
2. The Finite-Key Analysis of 1-Decoy with Intensity Fluctuations
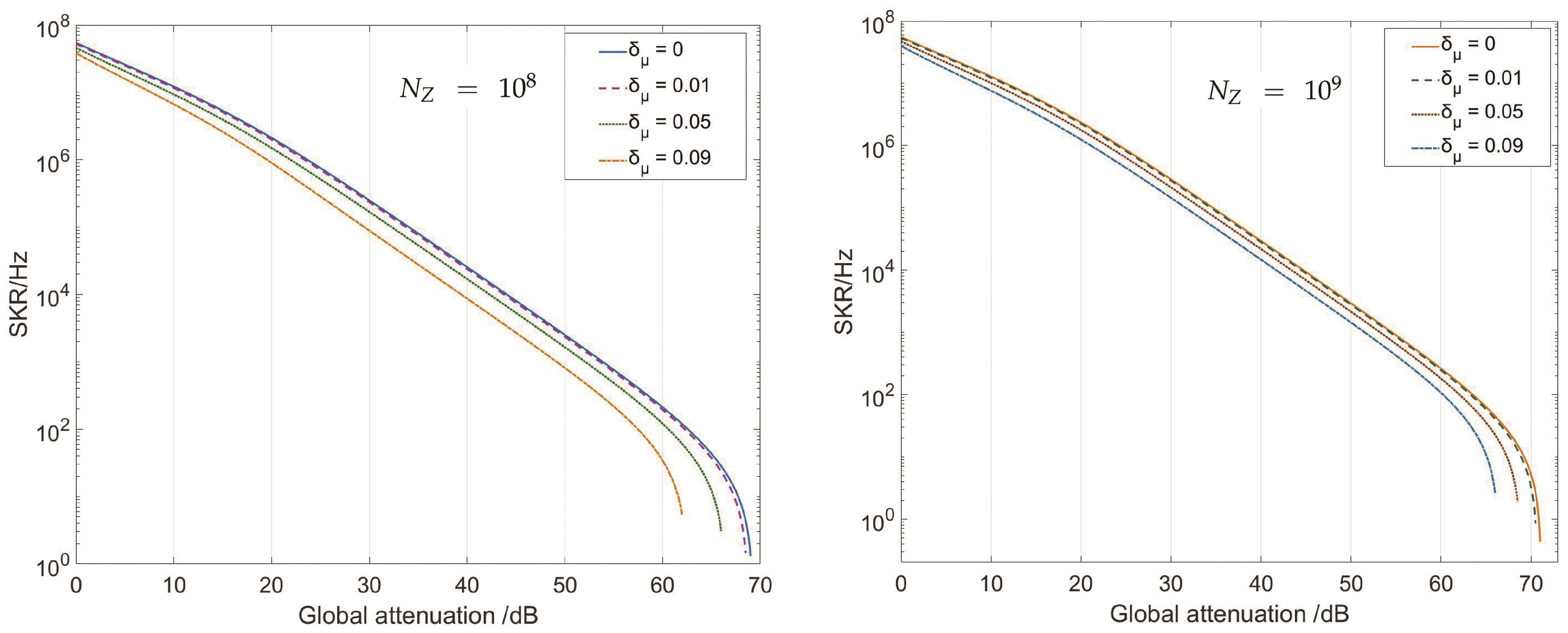
3. Numerical Simulation
4. Conclusions
Author Contributions
Funding
Institutional Review Board Statement
Informed Consent Statement
Data Availability Statement
Conflicts of Interest
References
- Bennett, C.H.; Brassard, G. Quantum cryptography: Public key distribution and coin tossing. Theor. Comput. Sci. 1984, 560, 7–11. [Google Scholar] [CrossRef]
- Bennett, C.H.; Bessette, F.; Brassard, G.; Salvail, L.; Smolin, J. Experimental Quantum Cryptography. In Proceedings of the Advances in Cryptology—EUROCRYPT, Brighton, UK, 8–11 April 1991; Springer: Berlin/Heidelberg, Germany, 1991. [Google Scholar]
- Yin, H.-L.; Chen, T.-Y.; Yu, Z.-W.; Liu, H.; You, L.-X.; Zhou, Y.-H.; Chen, S.-J.; Mao, Y.; Huang, M.-Q.; Zhang, W.-J.; et al. Measurement-Device-Independent Quantum Key Distribution Over a 404 km Optical Fiber. Phys. Rev. Lett. 2016, 117, 190501. [Google Scholar] [CrossRef] [PubMed]
- Liao, S.-K.; Liao, S.-K.; Cai, W.-Q.; Liu, W.-Y.; Zhang, L.; Li, Y.; Ren, J.-G.; Yin, J.; Shen, Q.; Cao, Y.; et al. Satellite-to-ground quantum key distribution. Nature 2017, 549, 43–47. [Google Scholar] [CrossRef] [PubMed]
- Gisin, N.; Fasel, S.; Kraus, B.; Zbinden, H.; Ribordy, G. Trojan-horse attacks on quantum-key-distribution systems. Phys. Rev. A 2006, 73, 022320. [Google Scholar] [CrossRef]
- Makarov, V.; Anisimov, A.; Skaar, J. Effects of detector efficiency mismatch on security of quantum cryptosystems. Phys. Rev. A 2006, 74, 022313. [Google Scholar] [CrossRef]
- Lamas-Linares, A.; Kurtsiefer, C. Breaking a quantum key distribution system through a timing side channel. Opt. Express 2007, 15, 9388–9393. [Google Scholar] [CrossRef]
- Lydersen, L.; Wiechers, C.; Wittmann, C.; Elser, D.; Skaar, J.; Makarov, V. Hacking commercial quantum cryptography systems by tailored bright illumination. Nat. Photonics 2010, 4, 686–689. [Google Scholar] [CrossRef]
- Huttner, B.; Imoto, N.; Gisin, N.; Mor, T. Quantum cryptography with coherent states. Phys. Rev. A 1995, 51, 1863. [Google Scholar] [CrossRef]
- Brassard, G.; Lütkenhaus, N.; Mor, T.; Sanders, B.C. Security aspects of practical quantum cryptography. In Proceedings of the International Conference on the Theory and Applications of Cryptographic Techniques, Bruges, Belgium, 14–18 May 2000; Springer: New York, NY, USA, 2000. [Google Scholar]
- Brassard, G.; Lütkenhaus, N.; Mor, T.; Sanders, B.C. Limitations on practical quantum cryptography. Phys. Rev. Lett. 2000, 85, 1330. [Google Scholar] [CrossRef]
- Hwang, W.-Y. Quantum Key Distribution with High Loss: Toward Global Secure Communication. Phys. Rev. Lett. 2003, 91, 057901. [Google Scholar] [CrossRef]
- Lo, H.-K.; Ma, X.; Chen, K. Decoy state quantum key distribution. Phys. Rev. Lett. 2005, 94, 230504. [Google Scholar] [CrossRef] [PubMed]
- Wang, X.-B. Beating the photon-number-splitting attack in practical quantum cryptography. Phys. Rev. Lett. 2005, 94, 230503. [Google Scholar] [CrossRef] [PubMed]
- Ma, X.; Qi, B.; Zhao, Y.; Lo, H.K. Practical decoy state for quantum key distribution. Phys. Rev. A 2005, 72, 012326. [Google Scholar] [CrossRef]
- Wang, X.-B.; Yang, L.; Peng, C.Z.; Pan, J.W. Decoy-state quantum key distribution with both source errors and statistical fluctuations. New J. Phys. 2009, 11, 075006. [Google Scholar] [CrossRef]
- Wang, S.; Zhang, S.-L.; Li, H.-W.; Yin, Z.-Q.; Zhao, Y.-B.; Chen, W.; Han, Z.-F.; Guo, G.-C. Decoy-state theory for the heralded single-photon source with intensity fluctuations. Phys. Rev. A 2009, 79, 062309. [Google Scholar] [CrossRef]
- Wang, Y.; Bao, W.S.; Zhou, C.; Jiang, M.S.; Li, H.W. Tight finite-key analysis of a practical decoy-state quantum key distribution with unstable sources. Phys. Rev. A 2016, 94, 032335. [Google Scholar] [CrossRef]
- Zhou, C.; Bao, W.; Fu, X. Decoy-state quantum key distribution for the heralded pair coherent state photon source with intensity fluctuations. Sci. China Inf. Sci. 2010, 53, 2485–2494. [Google Scholar] [CrossRef][Green Version]
- Azuma, K. Weighted sums of certain dependent random variables. Tohoku Math. J. Second. Ser. 1967, 19, 357–367. [Google Scholar] [CrossRef]
- Rusca, D.; Boaron, A.; Grünenfelder, F.; Martin, A.; Zbinden, H. Finite-key analysis for the 1-decoy state QKD protocol. Appl. Phys. Lett. 2018, 112, 171104. [Google Scholar] [CrossRef]
- Hoeffding, W. Probability Inequalities for Sums of Bounded Random Variables. J. Am. Stat. Assoc. 1963, 58, 13–30. [Google Scholar] [CrossRef]
- Chernoff, H. A measure of asymptotic efficiency for tests of a hypothesis based on the sum of observations. Ann. Math. Stat. 1952, 23, 493–507. [Google Scholar] [CrossRef]
- Zhang, Z.; Zhao, Q.; Razavi, M.; Ma, X. Improved key-rate bounds for practical decoy-state quan-tum-key-distribution systems. Phys. Rev. A 2017, 95, 012333. [Google Scholar] [CrossRef]
- Ma, X.; Fung, C.-H.F.; Razavi, M. Statistical fluctuation analysis for measurement-device-independent quantum key distribution. Phys. Rev. A 2012, 86, 052305. [Google Scholar] [CrossRef]
- He, S.-F.; Wang, Y.; Li, J.J.; Bao, W.S. Asymmetric twin-field quantum key distribution with both statis-tical and intensity fluctuations. Commun. Theor. Phys. 2020, 72, 065103. [Google Scholar] [CrossRef]
- Li, C.; Qian, L.; Lo, H.-K. Simple security proofs for continuous-variable quantum key distribution with intensity fluctuating sources. arXiv 2019, arXiv:190811423. [Google Scholar] [CrossRef]
- Liu, K.; Li, J.; Zhu, J.R.; Zhang, C.M.; Wang, Q. Decoy-state reference-frame-independent quantum key distribution with both source errors and statistical fluctuations. Chin. Phys. B 2017, 26, 120302. [Google Scholar] [CrossRef]
- Fung, C.-H.F.; Ma, X.; Chau, H. Practical issues in quantum-key-distribution postprocessing. Phys. Rev. A 2010, 81, 012318. [Google Scholar] [CrossRef]



| Variable | Parameter | Simulation Value |
|---|---|---|
| Dark count rate | ||
| Optical misalignment error | 0.01 | |
| Dead time | 100 ns | |
| Secrecy parameter | ||
| Correctness parameter | ||
| Efficiency of error correction |
Publisher’s Note: MDPI stays neutral with regard to jurisdictional claims in published maps and institutional affiliations. |
© 2022 by the authors. Licensee MDPI, Basel, Switzerland. This article is an open access article distributed under the terms and conditions of the Creative Commons Attribution (CC BY) license (https://creativecommons.org/licenses/by/4.0/).
Share and Cite
Zhou, C.; Zhou, Y.; Xu, Y.; Wang, Y.; Lu, Y.; Jiang, M.; Zhang, X.; Bao, W. Finite-Key Analysis of 1-Decoy Method Quantum Key Distribution with Intensity Fluctuation. Appl. Sci. 2022, 12, 4709. https://doi.org/10.3390/app12094709
Zhou C, Zhou Y, Xu Y, Wang Y, Lu Y, Jiang M, Zhang X, Bao W. Finite-Key Analysis of 1-Decoy Method Quantum Key Distribution with Intensity Fluctuation. Applied Sciences. 2022; 12(9):4709. https://doi.org/10.3390/app12094709
Chicago/Turabian StyleZhou, Chun, Yu Zhou, Yangbin Xu, Yang Wang, Yifei Lu, Musheng Jiang, Xiaoxu Zhang, and Wansu Bao. 2022. "Finite-Key Analysis of 1-Decoy Method Quantum Key Distribution with Intensity Fluctuation" Applied Sciences 12, no. 9: 4709. https://doi.org/10.3390/app12094709
APA StyleZhou, C., Zhou, Y., Xu, Y., Wang, Y., Lu, Y., Jiang, M., Zhang, X., & Bao, W. (2022). Finite-Key Analysis of 1-Decoy Method Quantum Key Distribution with Intensity Fluctuation. Applied Sciences, 12(9), 4709. https://doi.org/10.3390/app12094709

