Association of Cadaveric Factors with the Degree and Region of Discoloration on Pink Teeth: An Approach to Serial Cases
Abstract
1. Introduction
2. Materials and Methods
2.1. Subjects
2.2. Cadaveric Information
2.3. Method for Evaluating Pink Teeth
2.4. Association of the Degree and Region of Pink Teeth with Cadaveric Factors
3. Results
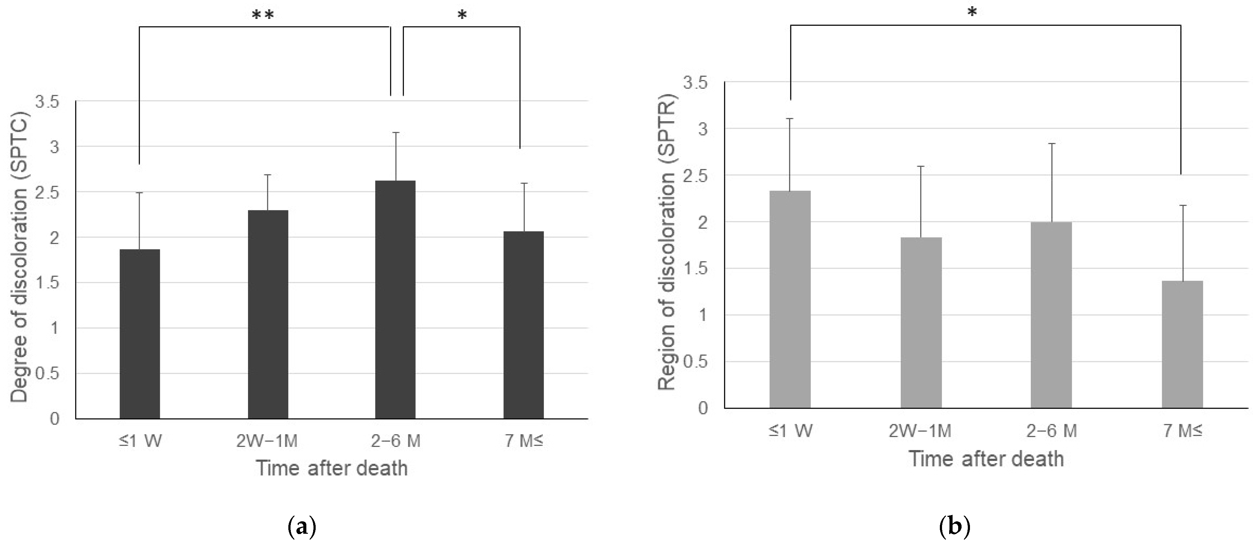
3.1. Association of SPTC with Cadaveric Factors
3.2. Association of SPTR with Cadaveric Factors
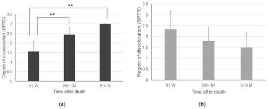
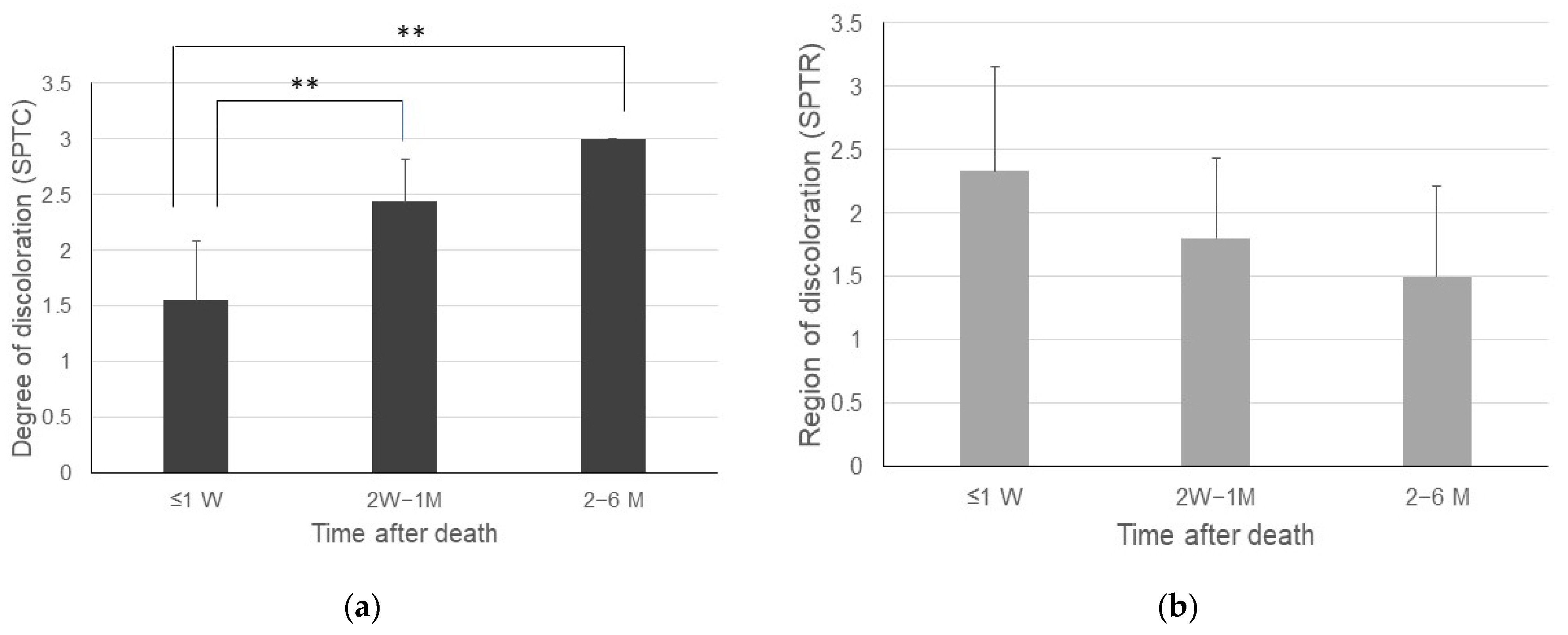
3.3. SPTC and SPTR of Time after Death in 18 Drowning Cases
4. Discussion
5. Conclusions
Author Contributions
Funding
Institutional Review Board Statement
Informed Consent Statement
Data Availability Statement
Acknowledgments
Conflicts of Interest
References
- Bell, T. Anatomy, Physiology and Diseases of the Teeth; Highley: London, UK, 1829; pp. 12–13. [Google Scholar]
- Beeley, J.A.; Harvey, W. Pink teeth appearing as a post-mortem phenomenon. J. Forensic Sci. Soc. 1973, 13, 297–305. [Google Scholar] [CrossRef]
- Kirkham, W.R.; Andrews, E.E.; Snow, C.C.; Grape, P.M.; Snyder, L. Postmortem pink teeth. J. Forensic Sci. 1977, 22, 119–131. [Google Scholar] [CrossRef]
- Clark, D.H.; Law, M. Post-mortem pink teeth. Med. Sci. Law 1984, 24, 130–134. [Google Scholar] [CrossRef]
- Van Wyk, C.W. Pink teeth of the dead: 1. A clinical and histological description. J. Forensic Odontostomatol. 1987, 5, 41–50. [Google Scholar]
- Brøndum, N.; Simonsen, J. Postmortem red coloration of teeth. A retrospective investigation of 26 cases. Am. J. Forensic Med. Pathol. 1987, 2, 127–130. [Google Scholar] [CrossRef]
- Van Wyk, C.W. Postmortem pink teeth: In vitro production. J. Oral Pathol. 1988, 17, 568–572. [Google Scholar]
- Van Wyk, C.W. Postmortem pink teeth. Histochemical identification of the causative pigment. Am. J. Forensic Med. Pathol. 1989, 2, 134–139. [Google Scholar] [CrossRef]
- Sainio, P.; Syrjänen, S.; Keijälä, J.P.; Parviainen, A.P. Postmortem pink teeth phenomenon: An experimental study and a survey of the literature. Proc. Finn. Dent. Soc. 1990, 1, 29–35. [Google Scholar]
- Borrman, H.; Du Chesne, A.; Brinkmann, B. Medico-legal aspects of postmortem pink teeth. Int. J. Leg. Med. 1994, 106, 225–231. [Google Scholar] [CrossRef]
- Ortmann, C.; DuChesne, A. A partially mummified corpse with pink teeth and pink nails. Int. J. Leg. Med. 1998, 111, 35–37. [Google Scholar] [CrossRef]
- Campobasso, C.P.; Di Vella, G.; De Donno, A.; Santoro, V.; Favia, G.; Introna, F. Pink teeth in a series of bodies recovered from a single shipwreck. Am. J. Forensic Med. Pathol. 2006, 27, 313–316. [Google Scholar] [CrossRef]
- Dumser, T.K.; Türkay, M. Postmortem changes of human bodies on the bathyal sea floor–two cases of aircraft accidents above the open sea. J. Forensic Sci. 2008, 5, 1049–1052. [Google Scholar] [CrossRef]
- Evelyne-Pessoa, S.; Marcus-Vitor-Diniz, C.; Francisco-Bernardo, D.S.; Clóvis-César, M.; Maria-do Socorro-Dantas, A.; Reginaldo-Inojosa-Carneiro, C. The post-mortem pink teeth phenomenon: A case report. Med. Oral Patol. Oral Cir. Bucal. 2009, 7, 337–339. [Google Scholar]
- Charan Gowda, B.K.; Sivapathasundharam, B.; Chatterji, A.; Chatterji, B.L. Histological appearance of postmortem pink teeth: Report of two cases. J. Forensic Dent. Sci. 2015, 7, 168–170. [Google Scholar] [CrossRef][Green Version]
- Mittal, P.; Mittal, M.; Sharma, G. Pink Teeth and the Dead: A Review with Reports of Two Cases. J. Indian Acad. Forensic Med. 2016, 3, 366–369. [Google Scholar] [CrossRef]
- Wallman, J.F. Body farms. Forensic Sci. Med. Pathol. 2017, 13, 487–489. [Google Scholar] [CrossRef]
- Franco, A.; Mendes, S.D.S.C.; Picoli, F.F.; Rodrigues, L.G.; Silva, R.F. Forensic thanatology and the pink tooth phenomenon: From the lack of relation with the cause of death to a potential evidence of cadaveric decomposition in dental autopsies—Case series. Forensic Sci. Int. 2018, 291, 8–12. [Google Scholar] [CrossRef]
- Franco, A.; de Oliveira, M.N.; Gomes-Lima, L.K.; Pereira-de-Oliveira, V.H.F.; Franco, R.P.A.V.; Blumenberg, C.; Silva, R.F.; da Silva, R.H.A.; Makeeva, I.; Santos-Filho, P.C.F.; et al. Case-specific characteristics of pink teeth in dental autopsies—A systematic review. J. Forensic Leg. Med. 2019, 68, 101869. [Google Scholar] [CrossRef]
- Brites, A.N.; Rezende Machado, A.L.; Franco, A.; Alves da Silva, R.H. Revisiting autopsies of death by mechanical asphyxia in the search for post-mortem pink teeth. J. Forensic Odontostomatol. 2020, 15, 34–38. [Google Scholar]
- Mittal, P.; Karagwal, P.; Gupta, D. Pink Teeth Phenomenon and Asphyxia: A Reassessment and Update. J. Forensic Res. 2021, 12, 1–10. [Google Scholar]
- Bugelli, V.; Campobasso, C.P.; Angelino, A.; Gualco, B.; Pinchi, V.; Focardi, M. Postmortem Otorrhagia in Positional Asphyxia. Am. J. Forensic Med. Pathol. 2020, 41, 217–219. [Google Scholar] [CrossRef]
- Minegishi, S.; Utsuno, H.; Ohta, J.; Namiki, S.; Toya, M.; Sumi, N.; Unuma, K.; Saitoh, H.; Iwase, H.; Uemura, K.; et al. Sixty-eight cases of postmortem pink teeth observed in dental autopsies of unidentified cadavers. J. Forensic Sci. 2022, in press. [Google Scholar] [CrossRef]
- Paravina, R.D. Performance assessment of dental shade guides. J. Dent. 2009, 37, 15–20. [Google Scholar] [CrossRef]
- Chu, S.J.; Trushkowsky, R.D.; Paravina, R.D. Dental color matching instruments and systems. Review of clinical and research aspects. J. Dent. 2010, 38, 2–16. [Google Scholar] [CrossRef]
- Makhloota, M.; Koroglu, A.; Bal, B.T. A Review of Color Matching in Dentistry. Med. Rec. 2021, 3, 44–49. [Google Scholar] [CrossRef]







| Sex | Cases | Age | Cases | Time after Death | Cases | Cause of Death | Cases | Recovery | Cases |
|---|---|---|---|---|---|---|---|---|---|
| Male | 46 (67.6%) | <20 | 1 (1.5%) | ≤1 week | 10 (14.7%) | Hanging | 3 (9.7%) | Indoors | 36 (52.9%) |
| Female | 20 (29.4%) | 20–39 | 9 (13.2%) | 2 weeks to 1 month | 27 (39.7%) | Drowning | 18 (58.0%) | Outdoors | 11 (16.2%) |
| Unidentified | 2 (2.9%) | 40–59 | 20 (29.4%) | 2–6 months | 18 (26.5%) | CO poisoning | 4 (12.9%) | Water | 21 (30.9%) |
| 68 | 60–79 | 15 (22.1%) | ≥7 months | 13 (19.1%) | Other | 6 (19.4%) | 68 | ||
| 80–99 | 6 (8.8%) | 68 | 31 | ||||||
| Unidentified | 17 (25.0%) | ||||||||
| 68 |
Publisher’s Note: MDPI stays neutral with regard to jurisdictional claims in published maps and institutional affiliations. |
© 2022 by the authors. Licensee MDPI, Basel, Switzerland. This article is an open access article distributed under the terms and conditions of the Creative Commons Attribution (CC BY) license (https://creativecommons.org/licenses/by/4.0/).
Share and Cite
Minegishi, S.; Saitoh, H.; Utsuno, H.; Ohta, J.; Namiki, S.; Toya, M.; Sumi, N.; Sakurada, K. Association of Cadaveric Factors with the Degree and Region of Discoloration on Pink Teeth: An Approach to Serial Cases. Appl. Sci. 2022, 12, 4242. https://doi.org/10.3390/app12094242
Minegishi S, Saitoh H, Utsuno H, Ohta J, Namiki S, Toya M, Sumi N, Sakurada K. Association of Cadaveric Factors with the Degree and Region of Discoloration on Pink Teeth: An Approach to Serial Cases. Applied Sciences. 2022; 12(9):4242. https://doi.org/10.3390/app12094242
Chicago/Turabian StyleMinegishi, Saki, Hisako Saitoh, Hajime Utsuno, Jun Ohta, Shuuji Namiki, Maiko Toya, Nozomi Sumi, and Koichi Sakurada. 2022. "Association of Cadaveric Factors with the Degree and Region of Discoloration on Pink Teeth: An Approach to Serial Cases" Applied Sciences 12, no. 9: 4242. https://doi.org/10.3390/app12094242
APA StyleMinegishi, S., Saitoh, H., Utsuno, H., Ohta, J., Namiki, S., Toya, M., Sumi, N., & Sakurada, K. (2022). Association of Cadaveric Factors with the Degree and Region of Discoloration on Pink Teeth: An Approach to Serial Cases. Applied Sciences, 12(9), 4242. https://doi.org/10.3390/app12094242

