Influence of Thermal Modification and Impregnation with Biocides on Physical Properties of Italian Stone Pine Wood (Pinus pinea L.)
Abstract
:Featured Application
Abstract
1. Introduction
2. Materials and Methods
2.1. Materials
2.1.1. Wood
2.1.2. Preservatives Solutions
2.2. Methods
2.2.1. Impregnation with Preservative Solutions
2.2.2. Heat Treatments
Statistical Analysis
3. Results and Discussions
3.1. Vacuum and Full-Cell Method
3.2. The Soaking Method
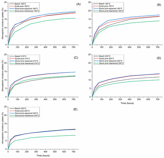
3.3. The Thermal Modification
4. Conclusions
Author Contributions
Funding
Institutional Review Board Statement
Informed Consent Statement
Data Availability Statement
Conflicts of Interest
References
- Fady, B.; Fineschi, S.; Vendramin, G.G. Technical Guidelines for Genetic Conservation and Use for Italian Stone Pine (Pinus pinea). Available online: http://www.euforgen.org/publications/publication/ipinus-pineai-technical-guidelines-for-genetic-conservation-and-use-for-italian-stone-pine/ (accessed on 5 April 2022).
- Hlaiem, S.; Yangui, I.; Della Rocca, G.; Barberini, S.; Danti, R.; Jamâa, M.L.B. First report of Pestalotiopsis biciliata associated with twig canker and dieback of Pinus pinea in Tunisia. J. Plant Pathol. 2022, 104, 393–394. [Google Scholar] [CrossRef]
- Jaouadi, W.; Alsubeie, M.; Mechergui, K.; Naghmouchi, S. Silviculture of Pinus pinea L. in North Africa and The Mediterranean Areas: Current Potentiality and Economic Value. J. Sustain. For. 2021, 40, 656–674. [Google Scholar] [CrossRef]
- Seigue, A. La Forêt Circumméditerranéenne et Ses Problèmes; Maisonneuve et Larose: Paris, France, 1985; p. 502. [Google Scholar]
- Mutke, S.; Gordo, J.G.; Fady, B.; de la Victoria, D. Low Genetic and High Environmental Diversity at Adaptive Traits in Pinus pinea from Provenance Tests in France and Spain; CIHEAM, FAO, INIA, IRTA, CESEFOR, CTFC: Zaragoza, Spain, 2013; pp. 73–79. [Google Scholar]
- Biocca, M.; Gallo, P.; Sperandio, G. Technical and Economic Aspects of Stone Pine (Pinus pinea L.) Maintenance in Urban Environments. Environ. Sci. Proc. 2021, 3, 16. [Google Scholar] [CrossRef]
- Cutini, A. Pinus pinea L.; CABI Publishing: New York, NY, USA, 2002; p. 608. [Google Scholar]
- Mechergui, K.; Altamimi, A.S.; Jaouadi, W.; Souheila, N. Climate change impacts on spatial distribution, tree-ring growth, and water use of stone pine (Pinus pinea L.) forests in the Mediterranean region and silvicultural practices to limit those impacts. iForest Biogeosci. For. 2021, 14, 104–112. [Google Scholar] [CrossRef]
- Di Bérenger, A. Studii di Archeologia Forestale; B. Coppini: Florence, Italy, 1965. [Google Scholar]
- Gasparella, L.; Tomao, A.; Agrimi, M.; Corona, P.; Portoghesi, L.; Barbati, A. Italian stone pine forests under Rome’s siege: Learning from the past to protect their future. Landsc. Res. 2017, 42, 211–222. [Google Scholar] [CrossRef] [Green Version]
- Ovando, P.; Campos, P.; Calama, R.; Montero, G. Landowner net benefit from Stone pine (Pinus pinea L.) afforestation of dry-land cereal fields in Valladolid, Spain. J. For. Econ. 2010, 16, 83–100. [Google Scholar] [CrossRef]
- Recanatesi, F.; Giuliani, C.; Piccinno, M.; Cucca, B.; Rossi, C.M.; Ripa, M.N. An innovative environmental risk assessment approach to a Mediterranean coastal forest: The Presidential Estate of Castelporziano (Rome) case study. Ann. Silvic. Res. 2020, 44, 6. [Google Scholar] [CrossRef]
- Romagnoli, M.; Fragiacomo, M.; Brunori, A.; Follesa, M.; Scarascia Mugnozza, G. Solid Wood and Wood Based Composites: The Challenge of Sustainability Looking for a Short and Smart Supply Chain. In Digital Wood Design: Innovative Techniques of Representation in Architectural Design; Bianconi, F., Filippucci, M., Eds.; Springer International Publishing: Cham, Switzerland, 2019; pp. 783–807. [Google Scholar] [CrossRef]
- Paletto, A.; Bernardi, S.; Pieratti, E.; Teston, F.; Romagnoli, M. Assessment of environmental impact of biomass power plants to increase the social acceptance of renewable energy technologies. Heliyon 2019, 5, e02070. [Google Scholar] [CrossRef] [Green Version]
- Marini, F.; Portoghesi, L.; Manetti, M.C.; Salvati, L.; Romagnoli, M. Gaps and perspectives for the improvement of the sweet chestnut forest-wood chain in Italy. Ann. Silvic. Res. 2021, 46, 112–127. [Google Scholar] [CrossRef]
- Tao, C.; Diao, G.; Cheng, B. The Dynamic Impacts of the COVID-19 Pandemic on Log Prices in China: An Analysis Based on the TVP-VAR Model. Forests 2021, 12, 449. [Google Scholar] [CrossRef]
- Nardi Berti, R. La Struttura Anatomica del Legno ed Il Riconoscimento Dei Legnami Italiani di Più Corrente Impiego, 2nd ed.; CNR—Ivalsa: Valdarno, Italy, 2006. [Google Scholar]
- Bernabei, M.; Rositi, A.; Sarlatto, M.; Romagnoli, M.; Bistoni, A. Presentazione di una banca dati relativa all’ampiezza dell’alburno nelle diverse specie. L’Ital. For. Mont. 2003, 2, 91–110. [Google Scholar]
- De Angelis, M.; Romagnoli, M.; Vek, V.; Poljanšek, I.; Oven, P.; Thaler, N.; Lesar, B.; Kržišnik, D.; Humar, M. Chemical composition and resistance of Italian stone pine (Pinus pinea L.) wood against fungal decay and wetting. Ind. Crops Prod. 2018, 117, 187–196. [Google Scholar] [CrossRef]
- Gindl, M.; Sinn, G.; Gindl, W.; Reiterer, A.; Tschegg, S. A comparison of different methods to calculate the surface free energy of wood using contact angle measurements. Colloids Surf. A Physicochem. Eng. Asp. 2001, 181, 279–287. [Google Scholar] [CrossRef]
- Kadleček, F. Ruční Obrábění Dřeva; SNTL: Prague, Czech Republic, 1989; Volume 109, p. 151. [Google Scholar]
- Humar, M.; Pohleven, F. Solution for Wood Preservation. Patent No. EP 1791682 (B1), 3 September 2008. [Google Scholar]
- Hansmann, C.; Gindl, W.; Wimmer, R.; Teischinger, A. Permeability of wood—A review. Wood Res. 2002, 47, 1–16. [Google Scholar]
- Usta, I. A review of the configuration of bordered pits to stimulate the fluid flow. Maderas Cienc. Tecnol. 2005, 7, 121–132. [Google Scholar] [CrossRef]
- Kurjatko, S.; Reinprecht, L. Transport Látok v Dreve; Technická Univerzita: Zvolen, Slovak Republic, 1993; Volume 7, p. 110. [Google Scholar]
- EN 351-1:2008; Durability of Wood and Wood-Based Products—Preservative-Treated Solid Wood—Part 1: Classification of Preservative Penetration and Retention. European Committee for Standardization: Brussels, Belgium, 2008.
- ENV 1250-2:1994; Wood Preservatives—Methods for Measuring Losses of Active Ingredients and Other Preservative Ingredients from Treated Timber—Part 2: Laboratory Method for Obtaining Samples for Analysis to Measure Losses by Leaching into Water or Synthetic Sea Water. European Committee for Standardization (CEN): Brussels, Belgium, 1994.
- EN 113:2006; Wood Preservatives—Test Method for Determining the Protective Effectiveness against Wood Destroying Basidiomycetes—Determination of the Toxic Values. European Committee for Standardization: Brussels, Belgium, 2006.
- Rep, G.; Pohleven, F.; Košmerl, S. Development of the industrial kiln for thermal wood modification by a procedure with an initial vacuum and commercialisation of modified Silvapro® wood. In Proceedings of the 6th European Conference on Wood Modification, Ljubljana, Slovenia, 17–18 September 2012; pp. 11–17. [Google Scholar]
- Deka, M.; Humar, M.; Rep, G.; Kričej, B.; Šentjurc, M.; Petrič, M. Effects of UV light irradiation on colour stability of thermally modified, copper ethanolamine treated and non-modified wood: EPR and DRIFT spectroscopic studies. Wood Sci. Technol. 2008, 42, 5–20. [Google Scholar] [CrossRef]
- ISO 7724-3:1984; Paints and Varnishes—Colorimetry—Part 3: Calculation of Colour Differences. International Organization for Standardization: Geneva, Switzerland, 1984.
- Tomao, A.; Secondi, L.; Carrus, G.; Corona, P.; Portoghesi, L.; Agrimi, M. Restorative urban forests: Exploring the relationships between forest stand structure, perceived restorativeness and benefits gained by visitors to coastal Pinus pinea forests. Ecol. Indic. 2018, 90, 594–605. [Google Scholar] [CrossRef]
- Giordano, G. Tecnologia del Legno; Unione Tipografico—Editrice Torinese: Torino, Italy, 1981. [Google Scholar]
- Yildiz, S.; Canakci, S.; Yildiz, U.C.; Ozgenc, O.; Tomak, E.D. Improving of impregnability of refractory Spruce wood by Bacillus licheniformis pretreatment. Bioresources 2011, 7, 13. [Google Scholar] [CrossRef]
- EN 350:2016; Durability of Wood and Wood-Based Products—Testing and Classification of the Durability to Biological Agents of Wood and Wood-Based Materials. European Committee for Standardization: Brussels, Belgium, 2016.
- Esteves, B.M.; Pereira, H.M. Wood modification by heat treatment: A review. BioResources 2009, 4, 370–404. [Google Scholar] [CrossRef]
- Elaieb, M.; Candelier, K.; Pétrissans, A.; Dumarçay, S.; Gérardin, P.; Pétrissans, M. Heat treatment of Tunisian soft wood species: Effect on the durability, chemical modifications and mechanical properties. Maderas Cienc. Tecnol. 2015, 17, 699–710. [Google Scholar] [CrossRef] [Green Version]
- Inari, G.N.; Petrissans, M.; Lambert, J.; Ehrhardt, J.J.; Gérardin, P. XPS characterization of wood chemical composition after heat-treatment. Surf. Interface Anal. 2006, 38, 1336–1342. [Google Scholar] [CrossRef]
- Windeisen, E.; Wegener, G. Behaviour of lignin during thermal treatments of wood. Ind. Crops Prod. 2008, 27, 157–162. [Google Scholar] [CrossRef]
- Passauer, L.; Prieto, J.; Müller, M.; Rössler, M.; Schubert, J.; Beyer, M. Novel color stabilization concepts for decorative surfaces of native dark wood and thermally modified timber. Prog. Org. Coat. 2015, 89, 314–322. [Google Scholar] [CrossRef]
- Schnabel, T.; Zimmer, B.; Petutschnigg, A.; Schönberger, S. An approach to classify thermally modified hardwoods by Color. For. Prod. J. 2007, 57, 105–110. [Google Scholar]
- Romagnoli, M.; Cavalli, D.; Pernarella, R.; Zanuttini, R.; Togni, M. Physical and mechanical characteristics of poor-quality wood after heat treatment. iForest Biogeosci. For. 2015, 8, 884–891. [Google Scholar] [CrossRef] [Green Version]
- Brosse, N.; El Hage, R.; Chaouch, M.; Pétrissans, M.; Dumarçay, S.; Gérardin, P. Investigation of the chemical modifications of beech wood lignin during heat treatment. Polym. Degrad. Stab. 2010, 95, 1721–1726. [Google Scholar] [CrossRef]
- Romagnoli, M.; Vinciguerra, V.; Silvestri, A. Heat Treatment Effect on Lignin and Carbohydrates in Corsican Pine Earlywood and Latewood Studied by PY–GC–MS Technique. J. Wood Chem. Technol. 2018, 38, 57–70. [Google Scholar] [CrossRef]
- Hill, C.A.S. Wood Modification: Chemical, Thermal and Other Processes; John Wiley & Sons, Ltd.: Chichester, UK, 2006; Volume 2, p. 264. [Google Scholar]




| Preservative Solution | Wood Species | Treatment Method | ||||
|---|---|---|---|---|---|---|
| Soaking | Vacuum | Full-Cell | ||||
| Immersion Time, min | ||||||
| 15 | 60 | 480 | ||||
| Solution Uptake kg/m3, (St.dev) | ||||||
| Belocid | Scots pine | 44.58 AG (7.52) | 58.18 ADG (8.94) | 59.89 ADG (10.4) | 240.28 BF (25.55) | 418.09 C (7.7) |
| Spruce | 8.38 A (2.15) | 9.17 A (1.44) | 12.71 A (2.96) | 31.97 AG (18.59) | 189.33 BE (104.02) | |
| Beech | 22.71 AG (7.39) | 23.02 AG (2.54) | 32.57 AG (7.77) | 126.01 DEH (34.4) | 275.75 F (38.15) | |
| Stone pine sapwood | 81.22 ADG (58.01) | 76.94 ADG (21.16) | 95.98 GH (21.8) | 314.40 F (9.97) | 393.88 C (51.42) | |
| Stone pine heartwood | / | / | / | / | 230.57 BF (28.97) | |
| Silvanolin | Scots pine | 35.58 A (3.24) | 47.82 A (3.19) | 84.21 A (7.58) | 370.87 BD (29.55) | 590.34 C (11.99) |
| Spruce | 13.62 A (1.93) | 25.16 A (5.45) | 50.45 A (8.36) | 109.42 A (59.4) | 391.50 BE (134.16) | |
| Beech | 26.40 A (5.05) | 44.11 A (5.11) | 94.01 A (22.82) | 281.86 BD (81.19) | 565.92 C (30.31) | |
| Stone pine sapwood | 52.63 A (39.83) | 33.50 A (7.17) | 254.60 DF (116.31) | 395.94 BE (30.74) | 516.9 CE (45.74) | |
| Stone pine heartwood | / | / | / | / | 290.58 BF (182.06) | |
| Montax 50 | Scots pine | 39.06 A (4.91) | 55.20 AF (6.62) | 93.02 AEF (9.2) | 358.82 B (36.55) | 565.25 C (8.55) |
| Spruce | 14.91 A (2.29) | 23.62 A (3.75) | 46.96 AF (8.4) | 47.93 AF (7.31) | 258.76 D (66.27) | |
| Beech | 13.62 A (1.93) | 31.24 A (3.88) | 70.36 AF (4.5) | 175.73 DEG (61.38) | 504.29 CI (32.04) | |
| Stone pine sapwood | 51.67 AH (29.97) | 128.36 FGH (10.46) | 95.34 AG (39.06) | 403.17 BJ (19.57) | 450.53 IJ (52.36) | |
| Stone pine heartwood | / | / | / | / | 186.07 DEG (133.45) | |
| Maximum Treatment Temperature | Wood Species and Mass Loss in %, (St.dev) | |||
|---|---|---|---|---|
| Beech | Scots Pine | Stone Pine Sapwood | Stone Pine Heartwood | |
| 180 °C | 1.35 A (0.08) | 1.33 A (0.10) | 1.34 A (0.20) | 9.67 BE (2.84) |
| 195 °C | 3.37 A (0.38) | 2.95 A (0.20) | 2.99 A (0.38) | 15.03 C (3.99) |
| 210 °C | 10.73 BG (1.27) | 5.74 D (0.51) | 6.73 DF (0.77) | 16.70 C (1.40) |
| 220 °C | 11.47 B (0.74) | 8.67 EF (0.51) | 9.06 EG (0.50) | 20.60 H (6.42) |
| 240 °C | 26.27 I (1.93) | 15.75 C (1.57) | 19.56 H (2.30) | 24.86 I (0.97) |
Publisher’s Note: MDPI stays neutral with regard to jurisdictional claims in published maps and institutional affiliations. |
© 2022 by the authors. Licensee MDPI, Basel, Switzerland. This article is an open access article distributed under the terms and conditions of the Creative Commons Attribution (CC BY) license (https://creativecommons.org/licenses/by/4.0/).
Share and Cite
De Angelis, M.; Humar, M.; Kržišnik, D.; Tamantini, S.; Romagnoli, M. Influence of Thermal Modification and Impregnation with Biocides on Physical Properties of Italian Stone Pine Wood (Pinus pinea L.). Appl. Sci. 2022, 12, 3801. https://doi.org/10.3390/app12083801
De Angelis M, Humar M, Kržišnik D, Tamantini S, Romagnoli M. Influence of Thermal Modification and Impregnation with Biocides on Physical Properties of Italian Stone Pine Wood (Pinus pinea L.). Applied Sciences. 2022; 12(8):3801. https://doi.org/10.3390/app12083801
Chicago/Turabian StyleDe Angelis, Marco, Miha Humar, Davor Kržišnik, Swati Tamantini, and Manuela Romagnoli. 2022. "Influence of Thermal Modification and Impregnation with Biocides on Physical Properties of Italian Stone Pine Wood (Pinus pinea L.)" Applied Sciences 12, no. 8: 3801. https://doi.org/10.3390/app12083801
APA StyleDe Angelis, M., Humar, M., Kržišnik, D., Tamantini, S., & Romagnoli, M. (2022). Influence of Thermal Modification and Impregnation with Biocides on Physical Properties of Italian Stone Pine Wood (Pinus pinea L.). Applied Sciences, 12(8), 3801. https://doi.org/10.3390/app12083801

