Optimized Design of Floor Plan and Components of Prefabricated Building with Energy-Cost Effect
Abstract
:1. Introduction
- Few scholars have applied the synergy of energy consumption and cost to prefabricated buildings.
- The models of the former studies can mainly be divided into two categories: one is a generic model with similar characteristics to that obtained from our research (it is usually a city building and is used to propose some common optimization conclusions [4,8,9,10]); the other is generally a specific model, usually for a public building, and the findings primarily relate to the renovation and refurbishment of the building [5,6,11]. However, there are numerous phases in the architectural design process, including conceptual design, preliminary design, and detailed design [16]. In this article, we think that applying the two models to conceptual and preliminary design is most beneficial.
- Many of the articles in this area end up focusing on the optimization results, while in practice designers tend to make changes based on these. These articles tend to lack any discussion of which parts need to be changed to have less impact on the optimization results.
2. Methods
2.1. Optimization Method
2.2. Correlation Analysis Method
2.2.1. Standard Regression Coefficient
2.2.2. Pearson Correlation Coefficient
3. Model, Parameters, and Objectives
3.1. Model
3.2. Parameters
3.2.1. Parameters of the Floor Plan Generation Method
3.2.2. Parameters of the Component Selection Method
3.3. Objectives
3.3.1. Objective of the Floor Plan Generation Method
3.3.2. Objective of Component Selection Method
4. Results and Discussion
4.1. Optimization Results
4.2. Correlation Analysis Results
4.2.1. Correlation Analysis of Floor Plan Generation Method
4.2.2. Correlation Analysis of Component Selection Method
5. Conclusions
- Simulation-based single-objective or multi-objective optimization can be performed for prefabricated buildings. Unlike traditional buildings, the building modulus and component selection need to be considered in the optimization process. This not only meets the demand for the standardization of prefabricated buildings, but also increases the speed of optimization computation through reducing the number of values taken from parameters.
- A novel, modular parametric modeling approach was proposed and applied in the floor plan generation method. After this, the optimal generation of prefabricated high-rise buildings in Tianjin was completed based on this method. The correlation between each parameter and energy consumption was also studied, and it was concluded that the shape coefficient and window-to-wall ratio are the main factors affecting the energy consumption of the buildings in Tianjin.
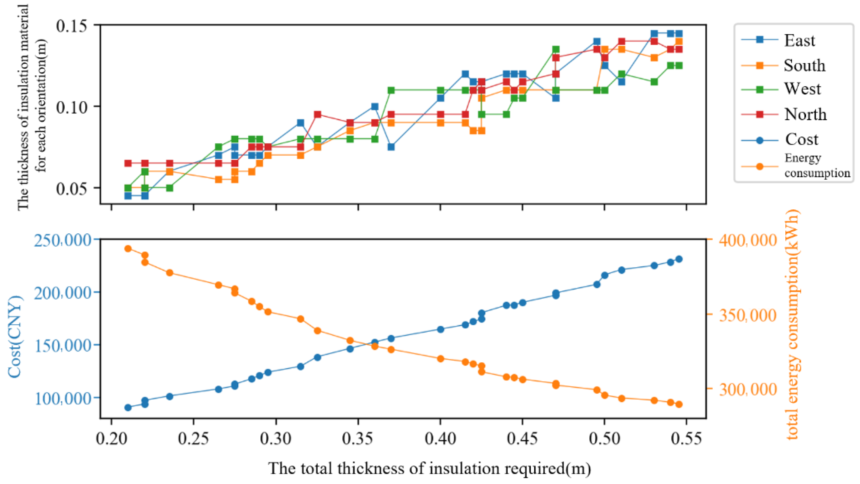
- A preliminary component selection method based on computer simulation was proposed—i.e., the component selection for the prefabricated building was mainly carried out to determine the construction of exterior walls, the selection of insulation materials, and the thickness of the insulation layer. By optimizing the generated models, it was finally concluded that sandwich insulation constructions and rock wool board insulation materials should be selected for buildings in Tianjin. According to the correlation analysis, the thickness of the insulation material in the east and south directions should be increased under a certain cost limit in order to reduce the total energy consumption of buildings.
Author Contributions
Funding
Conflicts of Interest
Appendix A
| Project | The Maximum Number of Iterations | Population Size | Multiplier of Initial Boost |
|---|---|---|---|
| Value | 120 | 30 | 2 |
| Project | Proportion of retained elites | Crossover ratio | |
| value | 5% | 75% |
| Number of Iterations | 0 | 4 | 8 | 12 |
|---|---|---|---|---|
| Plan shape | ![]() | ![]() | ![]() | ![]() |
| Energy consumption () | 86.18 | 70.54 | 63.13 | 51.97 |
| Number of iterations | 15 | 19 | 23 | 27 |
| Plan shape | ![]() | ![]() | ![]() | ![]() |
| Energy consumption () | 42.86 | 34.52 | 28.09 | 27.55 |
| Number of iterations | 31 | 35 | 39 | 43 |
| Plan shape | ![]() | ![]() | ![]() | ![]() |
| Energy consumption () | 27.14 | 26.78 | 26.21 | 25.95 |
| Number of iterations | 47 | 51 | 55 | 59 |
| Plan shape | ![]() | ![]() | ![]() | ![]() |
| Energy consumption () | 24.51 | 24.19 | 24.01 | 23.88 |
| Number of iterations | 62 | 66 | 70 | 74 |
| Plan shape | ![]() | ![]() | ![]() | ![]() |
| Energy consumption () | 23.31 | 22.89 | 22.45 | 22.13 |
| Number of iterations | 78 | 82 | 85 | 89 |
| Plan shape | ![]() | ![]() | ![]() | ![]() |
| Energy consumption () | 21.95 | 21.15 | 20.92 | 20.3 |
| Number of iterations | 93 | 97 | 101 | 105 |
| Plan shape | ![]() | ![]() | ![]() | ![]() |
| Energy consumption () | 19.9 | 19.6 | 19.22 | 18.87 |
| Number of iterations | 108 | 112 | 116 | 120 |
| Plan shape | ![]() | ![]() | ![]() | ![]() |
| Energy consumption () | 18.73 | 18.66 | 18.55 | 18.11 |
| Project | The Maximum Number of Iterations | Population Size | Multiplier of Initial Boost |
|---|---|---|---|
| Value | 50 | 60 | 50% |
| Project | Ratio of variation | Crossover ratio | |
| Value | 50% | 80% |
References
- Park, C.; Kim, C.; Lee, S.; Lim, G.; Lee, S.; Choi, Y. Effect of Control Strategy on Performance and Emissions of Natural Gas Engine for Cogeneration System. Energy 2015, 82, 353–360. [Google Scholar] [CrossRef]
- China Construction Energy Conservation Association 2020 China Building Energy Consumption Research Report. Available online: https://www.cabee.org/site/content/24021.html (accessed on 14 February 2022).
- Long, H. Inquiry of restrictive factors for green building development. Jiangxi Build. Mater. 2021, 2, 189–191. [Google Scholar]
- Caldas, L.; Norford, L. A Design Optimization Tool Based on a Genetic Algorithm. Autom. Constr. 2002, 11, 173–184. [Google Scholar] [CrossRef]
- Ferrara, M.; Fabrizio, E.; Virgone, J.; Filippi, M. A Simulation-Based Optimization Method for Cost-Optimal Analysis of Nearly Zero Energy Buildings. Energy Build. 2014, 84, 442–457. [Google Scholar] [CrossRef]
- Thalfeldt, M.; Pikas, E.; Kurnitski, J.; Voll, H. Facade Design Principles for Nearly Zero Energy Buildings in a Cold Climate. Energy Build. 2013, 67, 309–321. [Google Scholar] [CrossRef]
- Znouda, E.; Ghrab-Morcos, N.; Hadj-Alouane, A. Optimization of Mediterranean Building Design Using Genetic Algorithms. Energy Build. 2007, 39, 148–153. [Google Scholar] [CrossRef]
- Khoroshiltseva, M.; Slanzi, D.; Poli, I. A Pareto-Based Multi-Objective Optimization Algorithm to Design Energy-Efficient Shading Devices. Appl. Energy 2016, 184, 1400–1410. [Google Scholar] [CrossRef] [Green Version]
- Mandavinejad, M.; Nazar, N.S. Daylightophil High-Performance Architecture: Multi-Objective Optimization of Energy Efficiency and Daylight Availability in BSk Climate. In Proceedings of the International Conference—Alternative and Renewable Energy Quest (areq 2017), Barcelona, Spain, 1–3 February 2017; Amer, M., Sotoca, A., Nasselli, F., Mohareb, N., Alalouch, C., Eds.; Elsevier Science Bv: Amsterdam, The Netherlands, 2017; Volume 115, pp. 92–101. [Google Scholar]
- Sun, C.; Liu, Q.; Han, Y. Many-Objective Optimization Design of a Public Building for Energy, Daylighting and Cost Performance Improvement. Appl. Sci. 2020, 10, 2435. [Google Scholar] [CrossRef] [Green Version]
- Gou, S.; Nik, V.M.; Scartezzini, J.-L.; Zhao, Q.; Li, Z. Passive Design Optimization of Newly-Built Residential Buildings in Shanghai for Improving Indoor Thermal Comfort While Reducing Building Energy Demand. Energy Build. 2018, 169, 484–506. [Google Scholar] [CrossRef]
- Bingbing, Z. Application analysis of domestic and foreign application. Tiles Bricks 2017, 9, 47–48. [Google Scholar] [CrossRef]
- Yan, J. prefabricated building standardization helps to promote the overall development of residential industrialization. Archit. Des. Manag. 2015, 32, 44–45. [Google Scholar]
- Goldfinch, D.A. Health Centre Design; Prefabricated Construction. Hosp. Health Manag. 1949, 12, 11–14. [Google Scholar] [PubMed]
- Yu, J.; Yang, C.; Tian, L.; Liao, D. A Study on Optimum Insulation Thicknesses of External Walls in Hot Summer and Cold Winter Zone of China. Appl. Energy 2009, 86, 2520–2529. [Google Scholar] [CrossRef]
- Jin, R.; Zhong, B.; Ma, L.; Hashemi, A.; Ding, L. Integrating BIM with Building Performance Analysis in Project Life-Cycle. Autom. Constr. 2019, 106, 102861. [Google Scholar] [CrossRef]
- Kheiri, F. A Review on Optimization Methods Applied in Energy-Efficient Building Geometry and Envelope Design. Renew. Sust. Energ. Rev. 2018, 92, 897–920. [Google Scholar] [CrossRef]
- Ming, Z.; Shudong, S. Genetic Algorithm Principle and Application; National Defense Industry Press: Beijing, China, 1999; p. 77. [Google Scholar]
- Jie, S. Application Research on Green Building Techniques Based on Grasshopper. Master’s Thesis, South China University of Technology, Guangzhou, China, 2012. [Google Scholar]
- Mattson, C.A.; Messac, A. Pareto Frontier Based Concept Selection under Uncertainty, with Visualization. Optim. Eng. 2005, 6, 85–115. [Google Scholar] [CrossRef]
- Haiyan, W.; Fangting, Y.; Lu, L. Comparison and Application of Standardization Coefficient and Delay Comparison Coefficient. Quant. Econ. Tech. Econ. Res. 2006, 9, 150–155. [Google Scholar]
- Farrar, D.E.; Glauber, R.R. Multicollinearity in Regression Analysis: The Problem Revisited. Rev. Econ. Stat. 1967, 49, 92–107. [Google Scholar] [CrossRef]
- Xia, X.; Xingguo, W. Multi-contiguous linear geometric explanation in linear regression. Stat. Decis. 2021, 37, 46–51. [Google Scholar] [CrossRef]
- Multicollinearity Test Example Using SPSS. Available online: http://www.spsstests.com/2015/03/multicollinearity-test-example-using.html (accessed on 16 March 2022).
- JGJ/T449-2018; Standard for Green Performance Calculation of Civil Buildings. Ministry of Housing and Urban-Rural Development of the People’s Republic of China, China Architecture & Building Press: Beijing, China, 2018.
- GB50176-2016; Code for Thermal Design of Civil Building. Ministry of Housing and Urban-Rural Development of the People’s Republic of China, China Architecture & Building Press: Beijing, China, 2016.
- Yan, K. China Residential Standardization History and Prospect. China Constr. 2007, 6, 22–24. [Google Scholar]
- Noori, M.; Ghattas, R.; Gregory, J.; Miller, T.; Olivetti, E.; Greene, S. Life Cycle Assessment for Residential Buildings: A Literature Review and Gap Analysis Rev. 1. 2016. Available online: https://www.researchgate.net/publication/309034390_Life_Cycle_Assessment_for_Residential_Buildings_A_Literature_Review_and_Gap_Analysis_Rev_1/citations (accessed on 16 March 2022).
- Zhenyu, Y.; Fei, L.; Yu, Z.; Wei, X.; Dening, S. Application of Multi-Objective Optimization Method Based on Multi-Objective Optimization Design of Near Zero Energy Consumption Building. Archit. Sci. 2019, 35, 8–15. [Google Scholar] [CrossRef]








| Geometric Parameters | Parameter Thresholds |
|---|---|
| Bay depth of the living room (m × m) | (2.8–3.3) × (4.0–6.0) |
| Bay depth of the dining room (m × m) | (2.8–3.3) × (4.0–6.0) |
| Bay depth of the master bedroom (m × m) | (2.4–3.0) × (3.2–3.6) |
| Bay depth of the secondary bedroom (m × m) | (2.1–2.4) × (2.4–2,9) |
| Bay depth of the kitchen (m × m) | (1.5–2.1) × (1.95–3.1) |
| Bay depth of the bathroom (m × m) | (1.5–1.8) × (1.8–2.65) |
| Bay depth of the balcony (m × m) | (1.8–3.3) × (1.2–1.5) |
| Bay depth of the corridor (m × m) | ----- |
| Window-to-wall ratio of each room | 0.1–0.9 |
| Interleaved length between each functional space (m) | −1.8–1.8 |
| The Name of the Attributes | Value |
|---|---|
| Height between floors | 3 m |
| Number of floors | 30 |
| Envelope walls | Default values of constructs and materials |
| Operation schedules, equipment load | Related standards [25,26] |
| Parameters of Components | Ranges |
|---|---|
| Material of insulation layer | {Extruded polystyrene, expanded polystyrene, foamed polyurethane, rock wool} |
| Construction of components | {External insulation, internal insulation, sandwich insulation} |
| Thickness of insulation layer in each direction (m) | 0–0.5 |
| Material | Density kg/m3 | Specific Heat Capacity J/kg·°C | Heat Transfer Coefficient W/(m2·K) | Material Price CNY/m3 |
|---|---|---|---|---|
| Extruded polystyrene | 35 | 1380 | 0.033 | 450 |
| Expanded polystyrene | 25 | 1380 | 0.042 | 280 |
| Foamed polyurethane | 30 | 1380 | 0.027 | 650 |
| Rock wool | 150 | 1220 | 0.0045 | 260 |
| Number of Iterations | 0 | 120 |
|---|---|---|
| Plan shape | ![]() | ![]() |
| Energy consumption () | 86.18 | 18.11 |
| Aspect Ratio | East Window-to-Wall Ratio | West Window-to-Wall Ratio | Interleaved Length | South Window-to-Wall Ratio | South Exterior Wall Area | Shape Coefficient 1 | North Exterior Wall Area | North Window-to-Wall Ratio | West Exterior Wall Area | East Exterior Wall Area | |
|---|---|---|---|---|---|---|---|---|---|---|---|
| VIF | 7.79 | 5.71 | 5.61 | 5.33 | 4.62 | 4.37 | 4.21 | 3.94 | 3.67 | 2.22 | 2.2 |
| Shape Coefficient | North Window-to-Wall Ratio | South Window-to-Wall Ratio | West Window-to-Wall Ratio | East Window-to-Wall Ratio | Interleaved Length | South Exterior Wall Area | Length-Width Ratio | North Exterior Wall Area | East Exterior Wall Area | West Exterior Wall Area | |
|---|---|---|---|---|---|---|---|---|---|---|---|
| p-value | 0 | 0 | 0 | 0 | 0 | 0 | 0 | 0 | 0 | 0 | 0.012 |
| Coefficient | 0.492 | 0.221 | 0.209 | 0.168 | 0.142 | 0.071 | 0.0465 | 0.029 | 0.020 | 0.015 | 0.004 |
| Thickness of Insulation Layer in Each Direction/Total Thickness | Pearson Correlation |
|---|---|
| East ratio | −0.427 |
| West ratio | 0.361 |
| South ratio | −0.252 |
| North ratio | 0.318 |
Publisher’s Note: MDPI stays neutral with regard to jurisdictional claims in published maps and institutional affiliations. |
© 2022 by the authors. Licensee MDPI, Basel, Switzerland. This article is an open access article distributed under the terms and conditions of the Creative Commons Attribution (CC BY) license (https://creativecommons.org/licenses/by/4.0/).
Share and Cite
Guo, J.; Li, M.; Jiang, Z.; Wang, Z.; Zhou, Y. Optimized Design of Floor Plan and Components of Prefabricated Building with Energy-Cost Effect. Appl. Sci. 2022, 12, 3740. https://doi.org/10.3390/app12083740
Guo J, Li M, Jiang Z, Wang Z, Zhou Y. Optimized Design of Floor Plan and Components of Prefabricated Building with Energy-Cost Effect. Applied Sciences. 2022; 12(8):3740. https://doi.org/10.3390/app12083740
Chicago/Turabian StyleGuo, Juanli, Mingchen Li, Zixin Jiang, Zhoupeng Wang, and Yangkong Zhou. 2022. "Optimized Design of Floor Plan and Components of Prefabricated Building with Energy-Cost Effect" Applied Sciences 12, no. 8: 3740. https://doi.org/10.3390/app12083740
APA StyleGuo, J., Li, M., Jiang, Z., Wang, Z., & Zhou, Y. (2022). Optimized Design of Floor Plan and Components of Prefabricated Building with Energy-Cost Effect. Applied Sciences, 12(8), 3740. https://doi.org/10.3390/app12083740


































