Seismic Stability of Dual Tunnels in Cohesive–Frictional Soil Subjected to Surcharge Loading
Abstract
:1. Introduction
2. Problem Definition
3. AFELA Model
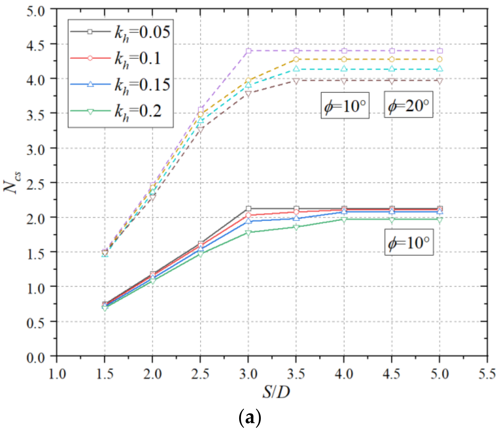
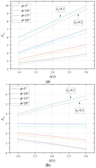
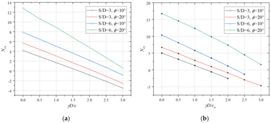
4. Results and Discussions
5. Failure Mechanisms
6. Design Tables
7. Conclusions
- (1)
- The greater the γD/c is, the greater the seismic bearing capacity becomes. Additionally, the variations in γD/c and H/D linearly affect the seismic bearing capacity.
- (2)
- The critical interaction distance between the double tunnels would be stronger with the increase in H/D and kh and the decrease in φ, γD/c. Additionally, the further the distance between the tunnels is, the weaker the interaction becomes.
- (3)
- Three typical failure patterns can be summarized as follows: (a) single side-wall failure, which is the most stable condition, meaning that there is no interaction between the dual tunnels; (b) half-cross-shaped failure, meaning that there is a moderate interaction between the dual tunnels, and its stability is lower than the former one; and (c) cross-shaped failure, which means that there is an intense interaction between the dual tunnels, and the stability of this failure pattern is the worst.
- (4)
- Before the failure pattern transforms to the single side-wall failure, the scope of collapse would be broader with the increase in S/D, H/D and kh, while the strength of soil (φ and γD/c) has almost no influence on the scope of collapse.
Author Contributions
Funding
Data Availability Statement
Acknowledgments
Conflicts of Interest
References
- Davis, E.H.; Gunn, M.J.; Mair, R.J.; Seneviratine, H.N. The stability of shallow tunnels and underground openings in cohesive material. Géotechnique 1980, 30, 397–416. [Google Scholar] [CrossRef]
- Mühlhaus, H.B. Lower bound solutions for circular tunnels in two and three dimensions. Rock Mech. Rock Eng. 1985, 18, 37–52. [Google Scholar] [CrossRef]
- Osman, A.S.; Mair, R.J.; Bolton, M.D. On the kinematics of 2D tunnel collapse in undrained clay. Géotechnique 2006, 56, 585–595. [Google Scholar] [CrossRef] [Green Version]
- Leca, E.; Dormieux, L. Upper and lower bound solutions for the face stability of shallow circular tunnels in frictional material. Géotechnique 1990, 40, 581–606. [Google Scholar] [CrossRef] [Green Version]
- Guang-Hui, C.; Jin-Feng, Z.; Qi, M.; Wu-Jun, G.; Tai-Zhong, Z. Face stability analysis of a shallow square tunnel in non-homogeneous soils. Comput. Geotech. 2019, 114, 103112. [Google Scholar] [CrossRef]
- Wu, G.; Zhao, H.; Zhao, M.; Zhu, Z. Stochastic analysis of dual tunnels in spatially random soil. Comput. Geotech. 2021, 129, 103861. [Google Scholar] [CrossRef]
- Sahoo, J.P.; Kumar, J. Seismic stability of a long unsupported circular tunnel. Comput. Geotech. 2012, 44, 109–115. [Google Scholar] [CrossRef]
- Wu, G.; Zhao, M.; Zhang, R.; Liang, G. Ultimate bearing capacity of eccentrically loaded strip footings above voids in rock masses. Comput. Geotech. 2020, 128, 103819. [Google Scholar] [CrossRef]
- Wu, G.; Zhao, M.; Zhao, H.; Xiao, Y. Effect of Eccentric Load on the Undrained Bearing Capacity of Strip Footings above Voids. Int. J. Geomech. 2020, 20, 04020078. [Google Scholar] [CrossRef]
- Mohammad, R.K.; Ali, Z. Fracture and load-carrying capacity of 3D-printed cracked components. Extrem. Mech. Lett. 2020, 37, 100692. [Google Scholar]
- Rebecca, W.; Fernando, C.; Jochen, H. High resolution modeling of the impact of urbanization and green infrastructure on the water and energy balance. Urban Clim. 2021, 39, 100961. [Google Scholar]
- Chakraborty, D.; Kumar, J. Stability of a long unsupported circular tunnel in soils with seismic forces. Nat. Hazards 2013, 68, 419–431. [Google Scholar] [CrossRef]
- Zhang, P.; Wu, H.-N.; Chen, R.-P.; Chan, T.H. Hybrid meta-heuristic and machine learning algorithms for tunneling-induced settlement prediction: A comparative study. Tunn. Undergr. Space Technol. 2020, 99, 103383. [Google Scholar] [CrossRef]
- Zhang, P.; Chen, R.-P.; Wu, H.-N. Real-time analysis and regulation of EPB shield steering using Random Forest. Autom. Constr. 2019, 106, 102860. [Google Scholar] [CrossRef]
- Ukritchon, B.; Yoang, S.; Keawsawasvong, S. Undrained stability of unsupported rectangular excavations in non-homogeneous clays. Comput. Geotech. 2019, 117, 103281. [Google Scholar] [CrossRef]
- Sahoo, J.P.; Kumar, J. Stability of a circular tunnel in presence of pseudostatic seismic body forces. Tunn. Undergr. Space Technol. 2014, 42, 264–276. [Google Scholar] [CrossRef]
- Soliman, E.; Duddeck, H.; Ahrens, H. Two- and three-dimensional analysis of closely spaced double-tube tunnels. Tunn. Undergr. Space Technol. 1993, 8, 13–18. [Google Scholar] [CrossRef]
- Kim, S.H.; Burd, H.J.; Milligan, G.W.E. Model testing of closely spaced tunnels in clay. Géotechnique 1998, 48, 375–388. [Google Scholar] [CrossRef]
- Lanzano, G.; Bilotta, E.; Russo, G.; Silvestri, F.; Madabhushi, S.P.G. Centrifuge Modeling of Seismic Loading on Tunnels in Sand. Geotech. Test. J. 2012, 35, 854–869. [Google Scholar] [CrossRef]
- Abate, G.; Massimino, M.R.; Maugeri, M. Numerical modelling of centrifuge tests on tunnel–soil systems. Bull. Earthq. Eng. 2014, 13, 1927–1951. [Google Scholar] [CrossRef]
- Osman, A.S. Stability of unlined twin tunnels in undrained clay. Tunn. Undergr. Space Technol. 2010, 25, 290–296. [Google Scholar] [CrossRef]
- Sahoo, J.P.; Kumar, J. Stability of long unsupported twin circular tunnels in soils. Tunn. Undergr. Space Technol. 2013, 38, 326–335. [Google Scholar] [CrossRef]
- Sahoo, J.P.; Kumar, J. Required Lining Pressure for the Stability of Twin Circular Tunnels in Soils. Int. J. Géoméch. 2018, 18, 04018069. [Google Scholar] [CrossRef]
- Yamamoto, K.; Lyamin, A.; Wilson, D.W.; Sloan, S.; Abbo, A.J. Stability of dual square tunnels in cohesive-frictional soil subjected to surcharge loading. Can. Geotech. J. 2014, 51, 829–843. [Google Scholar] [CrossRef]
- Zhang, J.; Yang, F.; Yang, J.; Zheng, X.; Zeng, F. Upper-bound stability analysis of dual unlined elliptical tunnels in cohesive-frictional soils. Comput. Geotech. 2016, 80, 283–289. [Google Scholar] [CrossRef]
- Zhang, J.; Feng, T.; Yang, J.; Yang, F.; Gao, Y. Upper-bound stability analysis of dual unlined horseshoe-shaped tunnels subjected to gravity. Comput. Geotech. 2018, 97, 103–110. [Google Scholar] [CrossRef]
- Yang, F.; Sun, X.; Zheng, X.; Yang, J. Stability analysis of a deep buried elliptical tunnel in cohesive–frictional (c–ϕ) soil with a nonassociated flow rule. Can. Geotech. J. 2016, 54, 736–741. [Google Scholar] [CrossRef]
- Yang, F.; Zheng, X.; Zhang, J.; Yang, J. Upper bound analysis of stability of dual circular tunnels subjected to surcharge loading in cohesive-frictional soils. Tunn. Undergr. Space Technol. 2017, 61, 150–160. [Google Scholar] [CrossRef]
- Xiao, Y.; Zhao, M.; Zhang, R.; Zhao, H.; Peng, W. Stability of two circular tunnels at different depths in cohesive-frictional soils subjected to surcharge loading. Comput. Geotech. 2019, 112, 23–34. [Google Scholar] [CrossRef]
- Vahid, M.; Alireza, M. Seismic reliability evaluation of tunnel form (box-type) RC structures under the accidental torsion. Struct. Concr. 2018, 19, 1927–1938. [Google Scholar]
- Mohsenian, V.; Hajirasouliha, I.; Mariani, S.; Nikkhoo, A. Seismic reliability assessment of RC tunnel-form structures with geometric irregularities using a combined system approach. Soil Dyn. Earthq. Eng. 2020, 139, 106356. [Google Scholar] [CrossRef]
- Yue, F.; Liu, B.; Zhu, B.; Jiang, X.; Chen, S.; Jaisee, S.; Chen, L.; Lv, B. Shaking table investigations on seismic performance of prefabricated corrugated steel utility tunnels. Tunn. Undergr. Space Technol. 2020, 105, 103579. [Google Scholar] [CrossRef]
- Thomasz, M.; Damian, B.; Joanna, N. Seismic vulnerability of a soil-steel composite tunnel—Norway Tolpinrud Railway Tunnel Case Study. Tunn. Undergr. Space Technol. 2021, 110, 103808. [Google Scholar]
- Merifield, R.S.; Sloan, S.W.; Yu, H.S. Stability of plate anchors in undrained clay. Géotechnique 2001, 51, 141–153. [Google Scholar] [CrossRef]
- Sloan, S. Geotechnical stability analysis. Géotechnique 2013, 63, 531–571. [Google Scholar] [CrossRef] [Green Version]
- Krabbenhoft, K.; Lyamin, A.V.; Hjiaj, M.; Sloan, S.W. A new discontinuous upper bound limit analysis formulation. Int. J. Numer. Methods Eng. 2005, 63, 1069–1088. [Google Scholar] [CrossRef]
- Lyamin, A.V.; Krabbenhoft, K.; Abbo, A.J. General approach to modelling discontinuities in limit analysis. In Proceedings of the 11th International Conference International Association Computer Methods and Advances in Geomechanics (IACMAG 2005), Torino, Italy, 19–24 June 2005; Volume 1, pp. 95–102. [Google Scholar]
- Ciria, H.; Peraire, J.; Bonet, J. Mesh adaptive computation of upper and lower bounds in limit analysis. Int. J. Numer. Methods Eng. 2008, 75, 899–944. [Google Scholar] [CrossRef]
- Muñoz, J.J.; Bonet, J.; Huerta, A.; Peraire, J. Upper and lower bounds in limit analysis: Adaptive meshing strategies and discontinuous loading. Int. J. Numer. Methods Eng. 2009, 77, 471–501. [Google Scholar] [CrossRef] [Green Version]
- Herskovits, J.; Mappa, P.; Goulart, E.; Soares, C.M. Mathematical programming models and algorithms for engineering design optimization. Comput. Methods Appl. Mech. Eng. 2005, 194, 3244–3268. [Google Scholar] [CrossRef]
- Zhang, R.; Li, L.; Zhao, L.; Tang, G. An adaptive remeshing procedure for discontinuous finite element limit analysis. Int. J. Numer. Methods Eng. 2018, 116, 287–307. [Google Scholar] [CrossRef]
- Krabbenhoft, K.; Lyamin, A.; Krabbenhoft, J. Optum Computational Engineering (OptumG2). 2015. Available online: www.optumce.com (accessed on 2 September 2021).
















| H/D | S/D | γD/c = 0 | γD/c = 1 | ||||||
|---|---|---|---|---|---|---|---|---|---|
| φ | |||||||||
| 5° | 10° | 15° | 20° | 5° | 10° | 15° | 20° | ||
| 1 | 1.5 | 1.76 | 2.04 | 2.43 | 2.97 | 0.52 | 0.75 | 1.06 | 1.51 |
| 2 | 2.10 | 2.51 | 3.08 | 3.92 | 0.82 | 1.19 | 1.70 | 2.47 | |
| 2.5 | 2.46 | 3.02 | 3.81 | 5.05 | 1.12 | 1.63 | 2.39 | 3.56 | |
| 3 | 2.76 | 3.44 | 4.46 | 6.12 | 1.44 | 2.13 | 3.08 | 4.40 | |
| 3.5 | 2.77 | 3.44 | 4.46 | 6.12 | 1.62 | 2.13 | 3.08 | 4.40 | |
| 4 | 2.77 | 3.44 | 4.46 | 6.12 | 1.62 | 2.14 | 3.08 | 4.40 | |
| 4.5 | 2.77 | 3.44 | 4.46 | 6.12 | 1.62 | 2.13 | 3.08 | 4.40 | |
| 5 | 2.77 | 3.44 | 4.46 | 6.12 | 1.62 | 2.13 | 3.08 | 4.40 | |
| 2 | 1.5 | 2.74 | 3.39 | 4.37 | 5.98 | 0.38 | 0.83 | 1.51 | 2.70 |
| 2 | 2.90 | 3.60 | 4.65 | 6.33 | 0.52 | 1.06 | 1.88 | 3.26 | |
| 2.5 | 3.14 | 3.94 | 5.16 | 7.14 | 0.71 | 1.37 | 2.41 | 4.17 | |
| 3 | 3.34 | 4.24 | 5.65 | 8.04 | 0.95 | 1.74 | 2.99 | 5.15 | |
| 3.5 | 3.52 | 4.53 | 6.13 | 8.92 | 1.22 | 2.14 | 3.62 | 6.21 | |
| 4 | 3.80 | 4.96 | 6.87 | 10.23 | 1.39 | 2.45 | 4.06 | 7.40 | |
| 4.5 | 4.00 | 5.29 | 7.42 | 11.33 | 1.63 | 2.82 | 4.83 | 8.59 | |
| 5 | 4.24 | 5.68 | 8.10 | 12.67 | 1.79 | 3.14 | 5.18 | 8.59 | |
| 5.5 | 4.38 | 5.91 | 8.40 | 12.96 | 1.92 | 3.14 | 5.18 | 8.59 | |
| 6 | 4.40 | 5.91 | 8.40 | 12.96 | 1.95 | 3.14 | 5.18 | 8.59 | |
| 6.5 | 4.40 | 5.91 | 8.40 | 12.95 | 1.95 | 3.13 | 5.18 | 8.59 | |
| 7 | 4.40 | 5.91 | 8.40 | 12.96 | 1.95 | 3.14 | 5.18 | 8.59 | |
| 7.5 | 4.40 | 5.91 | 8.40 | 12.96 | 1.95 | 3.14 | 5.18 | 8.59 | |
| 8 | 4.40 | 5.91 | 8.40 | 12.96 | 1.95 | 3.14 | 5.18 | 8.59 | |
| 3 | 1.5 | 3.66 | 4.79 | 6.64 | 9.91 | 0.13 | 0.84 | 2.03 | 4.34 |
| 2 | 3.68 | 4.78 | 6.57 | 9.82 | 0.15 | 0.89 | 2.18 | 4.62 | |
| 2.5 | 3.79 | 4.94 | 6.76 | 10.06 | 0.25 | 1.08 | 2.50 | 5.15 | |
| 3 | 3.93 | 5.12 | 7.06 | 10.54 | 0.42 | 1.37 | 2.97 | 5.94 | |
| 3.5 | 4.09 | 5.39 | 7.50 | 11.39 | 0.59 | 1.67 | 3.49 | 6.97 | |
| 4 | 4.26 | 5.67 | 8.03 | 12.39 | 0.76 | 1.97 | 4.23 | 8.02 | |
| 4.5 | 4.43 | 5.96 | 8.54 | 13.49 | 0.94 | 2.28 | 4.61 | 9.09 | |
| 5 | 4.62 | 6.27 | 9.10 | 14.55 | 1.12 | 2.59 | 5.18 | 10.28 | |
| 5.5 | 4.79 | 6.56 | 9.69 | 15.75 | 1.29 | 2.89 | 5.75 | 11.56 | |
| 6 | 4.96 | 6.86 | 10.22 | 17.07 | 1.46 | 3.19 | 6.28 | 12.65 | |
| 6.5 | 5.12 | 7.15 | 10.80 | 18.33 | 1.62 | 3.47 | 6.83 | 13.99 | |
| 7 | 5.29 | 7.43 | 11.38 | 19.62 | 1.78 | 3.58 | 6.94 | 14.09 | |
| 7.5 | 5.43 | 7.69 | 11.78 | 19.84 | 1.86 | 3.53 | 6.97 | 14.09 | |
| 8 | 5.47 | 7.72 | 11.86 | 19.83 | 1.86 | 3.55 | 6.97 | 14.09 | |
| 8.5 | 5.49 | 7.73 | 11.86 | 19.84 | 1.87 | 3.55 | 6.97 | 14.09 | |
| 9 | 5.49 | 7.73 | 11.86 | 19.84 | 1.87 | 3.55 | 6.97 | 14.09 | |
| 9.5 | 5.49 | 7.73 | 11.86 | 19.84 | 1.87 | 3.55 | 6.97 | 14.09 | |
| 10 | 5.49 | 7.73 | 11.86 | 19.84 | 1.87 | 3.55 | 6.97 | 14.09 | |
| H/D | S/D | γD/c = 0 | γD/c = 1 | ||||||
|---|---|---|---|---|---|---|---|---|---|
| φ | |||||||||
| 5° | 10° | 15° | 20° | 5° | 10° | 15° | 20° | ||
| 1 | 1.5 | 1.73 | 2.02 | 2.40 | 2.93 | 0.51 | 0.74 | 1.04 | 1.49 |
| 2 | 2.07 | 2.47 | 3.03 | 3.86 | 0.81 | 1.16 | 1.67 | 2.43 | |
| 2.5 | 2.43 | 2.96 | 3.75 | 4.97 | 1.09 | 1.59 | 2.34 | 3.49 | |
| 3 | 2.71 | 3.21 | 4.18 | 5.97 | 1.39 | 2.03 | 2.99 | 3.97 | |
| 3.5 | 2.72 | 3.37 | 4.24 | 6.07 | 1.53 | 2.08 | 3.04 | 4.28 | |
| 4 | 2.73 | 3.42 | 4.42 | 6.07 | 1.57 | 2.11 | 3.04 | 4.28 | |
| 4.5 | 2.75 | 3.42 | 4.42 | 6.07 | 1.60 | 2.11 | 3.04 | 4.28 | |
| 5 | 2.75 | 3.43 | 4.43 | 6.07 | 1.60 | 2.11 | 3.03 | 4.28 | |
| 2 | 1.5 | 2.70 | 3.34 | 4.30 | 5.88 | 0.37 | 0.80 | 1.48 | 2.65 |
| 2 | 2.85 | 3.54 | 4.57 | 6.23 | 0.51 | 1.03 | 1.84 | 3.20 | |
| 2.5 | 3.07 | 3.87 | 5.06 | 7.02 | 0.69 | 1.34 | 2.36 | 4.09 | |
| 3 | 3.28 | 4.16 | 5.54 | 7.89 | 0.92 | 1.69 | 2.92 | 5.04 | |
| 3.5 | 3.46 | 4.45 | 6.04 | 8.74 | 1.18 | 2.08 | 3.54 | 6.07 | |
| 4 | 3.73 | 4.88 | 6.74 | 10.02 | 1.33 | 2.39 | 4.09 | 7.21 | |
| 4.5 | 3.92 | 5.19 | 7.29 | 11.16 | 1.59 | 2.74 | 4.69 | 8.36 | |
| 5 | 4.15 | 5.55 | 7.95 | 12.47 | 1.70 | 2.92 | 4.97 | 8.89 | |
| 5.5 | 4.21 | 5.65 | 8.11 | 12.60 | 1.80 | 3.00 | 5.05 | 8.97 | |
| 6 | 4.24 | 5.70 | 8.16 | 12.80 | 1.85 | 3.06 | 5.08 | 8.97 | |
| 6.5 | 4.28 | 5.77 | 8.15 | 12.80 | 1.89 | 3.07 | 5.08 | 8.97 | |
| 7 | 4.31 | 5.78 | 8.13 | 12.80 | 1.91 | 3.08 | 5.08 | 8.97 | |
| 7.5 | 4.35 | 5.78 | 8.15 | 12.79 | 1.93 | 3.08 | 5.08 | 8.97 | |
| 8 | 4.35 | 5.78 | 8.15 | 12.80 | 1.93 | 3.08 | 5.08 | 8.97 | |
| 3 | 1.5 | 3.59 | 4.70 | 6.49 | 9.70 | 0.12 | 0.82 | 1.99 | 4.20 |
| 2 | 3.61 | 4.68 | 6.45 | 9.64 | 0.14 | 0.87 | 2.13 | 4.55 | |
| 2.5 | 3.72 | 4.83 | 6.64 | 9.88 | 0.23 | 1.06 | 2.44 | 5.07 | |
| 3 | 3.84 | 5.02 | 6.93 | 10.34 | 0.39 | 1.32 | 2.90 | 5.81 | |
| 3.5 | 4.00 | 5.28 | 7.36 | 11.19 | 0.55 | 1.60 | 3.42 | 6.80 | |
| 4 | 4.18 | 5.55 | 7.86 | 12.12 | 0.72 | 1.90 | 3.95 | 7.80 | |
| 4.5 | 4.34 | 5.84 | 8.36 | 13.22 | 0.89 | 2.20 | 4.47 | 8.98 | |
| 5 | 4.52 | 6.14 | 8.93 | 14.38 | 1.05 | 2.50 | 5.05 | 10.08 | |
| 5.5 | 4.69 | 6.42 | 9.49 | 15.51 | 1.21 | 2.78 | 5.58 | 11.23 | |
| 6 | 4.85 | 6.71 | 10.02 | 16.76 | 1.37 | 3.05 | 6.11 | 12.37 | |
| 6.5 | 5.00 | 6.98 | 10.57 | 17.97 | 1.52 | 3.26 | 6.38 | 13.18 | |
| 7 | 5.13 | 7.22 | 11.06 | 19.28 | 1.62 | 3.33 | 6.53 | 13.36 | |
| 7.5 | 5.18 | 7.30 | 11.28 | 19.55 | 1.67 | 3.40 | 6.63 | 13.48 | |
| 8 | 5.22 | 7.38 | 11.38 | 19.70 | 1.71 | 3.45 | 6.70 | 13.48 | |
| 8.5 | 5.25 | 7.42 | 11.44 | 19.73 | 1.74 | 3.46 | 6.70 | 13.48 | |
| 9 | 5.28 | 7.47 | 11.48 | 19.76 | 1.79 | 3.48 | 6.70 | 13.47 | |
| 9.5 | 5.30 | 7.51 | 11.50 | 19.76 | 1.80 | 3.48 | 6.70 | 13.48 | |
| 10 | 5.32 | 7.54 | 11.50 | 19.76 | 1.81 | 3.48 | 6.70 | 13.48 | |
| 10.5 | 5.34 | 7.54 | 11.51 | 19.76 | 1.81 | 3.48 | 6.71 | 13.48 | |
| 11 | 5.34 | 7.54 | 11.50 | 19.75 | 1.81 | 3.48 | 6.70 | 13.48 | |
| 11.5 | 5.34 | 7.54 | 11.51 | 19.76 | 1.81 | 3.48 | 6.70 | 13.48 | |
| 12 | 5.34 | 7.54 | 11.50 | 19.76 | 1.81 | 3.48 | 6.70 | 13.48 | |
| H/D | S/D | γD/c = 0 | γD/c = 1 | ||||||
|---|---|---|---|---|---|---|---|---|---|
| φ | |||||||||
| 5° | 10° | 15° | 20° | 5° | 10° | 15° | 20° | ||
| 1 | 1.5 | 1.70 | 1.98 | 2.35 | 2.88 | 0.50 | 0.72 | 1.02 | 1.46 |
| 2 | 2.03 | 2.42 | 2.97 | 3.78 | 0.78 | 1.12 | 1.62 | 2.36 | |
| 2.5 | 2.38 | 2.91 | 3.67 | 4.88 | 1.05 | 1.54 | 2.26 | 3.39 | |
| 3 | 2.59 | 3.16 | 4.02 | 5.73 | 1.33 | 1.94 | 2.76 | 3.90 | |
| 3.5 | 2.64 | 3.31 | 4.08 | 5.98 | 1.45 | 1.98 | 2.77 | 4.14 | |
| 4 | 2.68 | 3.37 | 4.36 | 5.98 | 1.53 | 2.08 | 2.77 | 4.14 | |
| 4.5 | 2.70 | 3.40 | 4.36 | 5.98 | 1.55 | 2.08 | 2.77 | 4.14 | |
| 5 | 2.70 | 3.40 | 4.36 | 5.98 | 1.55 | 2.08 | 2.77 | 4.14 | |
| 2 | 1.5 | 2.64 | 3.25 | 4.20 | 5.75 | 0.35 | 0.78 | 1.44 | 2.59 |
| 2 | 2.78 | 3.45 | 4.45 | 6.09 | 0.48 | 0.99 | 1.79 | 3.10 | |
| 2.5 | 3.00 | 3.76 | 4.93 | 6.86 | 0.65 | 1.29 | 2.27 | 3.96 | |
| 3 | 3.19 | 4.06 | 5.41 | 7.69 | 0.87 | 1.62 | 2.82 | 4.91 | |
| 3.5 | 3.38 | 4.35 | 5.89 | 8.57 | 1.11 | 1.99 | 3.40 | 5.91 | |
| 4 | 3.63 | 4.75 | 6.57 | 9.83 | 1.25 | 2.27 | 3.96 | 7.00 | |
| 4.5 | 3.81 | 5.05 | 7.09 | 10.89 | 1.45 | 2.57 | 4.36 | 7.81 | |
| 5 | 3.94 | 5.25 | 7.51 | 11.79 | 1.56 | 2.67 | 4.58 | 8.23 | |
| 5.5 | 3.98 | 5.33 | 7.59 | 12.05 | 1.62 | 2.75 | 4.69 | 8.53 | |
| 6 | 4.01 | 5.39 | 7.72 | 12.18 | 1.67 | 2.82 | 4.78 | 8.59 | |
| 6.5 | 4.07 | 5.47 | 7.84 | 12.25 | 1.71 | 2.89 | 4.83 | 8.59 | |
| 7 | 4.10 | 5.51 | 7.90 | 12.25 | 1.75 | 2.93 | 4.82 | 8.59 | |
| 7.5 | 4.13 | 5.57 | 7.99 | 12.26 | 1.78 | 2.95 | 4.83 | 8.59 | |
| 8 | 4.15 | 5.58 | 7.99 | 12.25 | 1.81 | 2.95 | 4.82 | 8.58 | |
| 8.5 | 4.21 | 5.58 | 7.99 | 12.25 | 1.83 | 2.95 | 4.82 | 8.58 | |
| 9 | 4.23 | 5.58 | 7.99 | 12.25 | 1.87 | 2.95 | 4.82 | 8.59 | |
| 9.5 | 4.23 | 5.58 | 7.99 | 12.25 | 1.87 | 2.95 | 4.83 | 8.58 | |
| 10 | 4.24 | 5.58 | 7.99 | 12.25 | 1.87 | 2.95 | 4.82 | 8.58 | |
| 3 | 1.5 | 3.49 | 4.56 | 6.29 | 9.37 | 0.10 | 0.78 | 1.91 | 4.05 |
| 2 | 3.51 | 4.56 | 6.28 | 9.38 | 0.10 | 0.82 | 2.06 | 4.39 | |
| 2.5 | 3.61 | 4.69 | 6.45 | 9.61 | 0.19 | 1.00 | 2.36 | 4.92 | |
| 3 | 3.73 | 4.87 | 6.73 | 10.09 | 0.34 | 1.25 | 2.78 | 5.62 | |
| 3.5 | 3.89 | 5.12 | 7.16 | 10.89 | 0.49 | 1.51 | 3.26 | 6.61 | |
| 4 | 4.06 | 5.39 | 7.63 | 11.88 | 0.64 | 1.80 | 3.79 | 7.57 | |
| 4.5 | 4.22 | 5.68 | 8.16 | 12.79 | 0.80 | 2.08 | 4.30 | 8.65 | |
| 5 | 4.39 | 5.97 | 8.72 | 13.98 | 0.95 | 2.35 | 4.83 | 9.75 | |
| 5.5 | 4.55 | 6.24 | 9.26 | 15.14 | 1.10 | 2.61 | 5.31 | 10.86 | |
| 6 | 4.70 | 6.52 | 9.76 | 16.29 | 1.23 | 2.83 | 5.69 | 11.96 | |
| 6.5 | 4.80 | 6.72 | 10.27 | 17.59 | 1.33 | 2.92 | 5.85 | 12.17 | |
| 7 | 4.84 | 6.79 | 10.38 | 17.98 | 1.39 | 2.99 | 5.94 | 12.43 | |
| 7.5 | 4.86 | 6.86 | 10.50 | 18.40 | 1.44 | 3.05 | 6.10 | 12.66 | |
| 8 | 4.90 | 6.93 | 10.64 | 18.56 | 1.47 | 3.13 | 6.19 | 12.94 | |
| 8.5 | 4.94 | 6.97 | 10.76 | 18.74 | 1.51 | 3.17 | 6.27 | 13.06 | |
| 9 | 4.97 | 7.02 | 10.84 | 18.80 | 1.55 | 3.22 | 6.35 | 13.13 | |
| 9.5 | 4.99 | 7.07 | 10.98 | 18.88 | 1.57 | 3.25 | 6.37 | 13.22 | |
| 10 | 5.02 | 7.11 | 11.00 | 18.88 | 1.60 | 3.30 | 6.36 | 13.22 | |
| 10.5 | 5.04 | 7.17 | 11.01 | 18.88 | 1.63 | 3.32 | 6.42 | 13.22 | |
| 11 | 5.06 | 7.18 | 11.09 | 18.88 | 1.65 | 3.33 | 6.42 | 13.22 | |
| 11.5 | 5.09 | 7.20 | 10.94 | 18.88 | 1.67 | 3.35 | 6.42 | 13.22 | |
| 12 | 5.10 | 7.23 | 10.93 | 18.88 | 1.68 | 3.36 | 6.42 | 13.22 | |
| 12.5 | 5.11 | 7.23 | 10.93 | 18.88 | 1.69 | 3.35 | 6.41 | 13.22 | |
| 13 | 5.11 | 7.23 | 10.93 | 18.88 | 1.69 | 3.35 | 6.42 | 13.22 | |
| H/D | S/D | γD/c = 0 | γD/c = 1 | ||||||
|---|---|---|---|---|---|---|---|---|---|
| φ | |||||||||
| 5° | 10° | 15° | 20° | 5° | 10° | 15° | 20° | ||
| 1 | 1.5 | 1.67 | 1.93 | 2.29 | 2.80 | 0.48 | 0.70 | 0.99 | 1.49 |
| 2 | 1.99 | 2.37 | 2.90 | 3.68 | 0.74 | 1.09 | 1.57 | 2.29 | |
| 2.5 | 2.32 | 2.83 | 3.58 | 4.75 | 1.00 | 1.47 | 2.17 | 3.27 | |
| 3 | 2.50 | 2.88 | 3.95 | 5.36 | 1.25 | 1.78 | 2.67 | 3.79 | |
| 3.5 | 2.46 | 3.15 | 3.86 | 5.65 | 1.33 | 1.86 | 2.71 | 3.97 | |
| 4 | 2.64 | 3.18 | 4.05 | 5.65 | 1.40 | 1.97 | 2.81 | 3.97 | |
| 4.5 | 2.65 | 3.22 | 4.14 | 5.65 | 1.40 | 1.97 | 2.81 | 3.97 | |
| 5 | 2.68 | 3.22 | 4.14 | 5.65 | 1.40 | 1.97 | 2.81 | 3.97 | |
| 2 | 1.5 | 2.55 | 3.16 | 4.07 | 5.55 | 0.32 | 0.74 | 1.38 | 2.48 |
| 2 | 2.70 | 3.34 | 4.31 | 5.88 | 0.44 | 0.94 | 1.71 | 2.99 | |
| 2.5 | 2.91 | 3.65 | 4.77 | 6.64 | 0.60 | 1.21 | 2.18 | 3.80 | |
| 3 | 3.10 | 3.91 | 5.26 | 7.46 | 0.80 | 1.53 | 2.65 | 4.72 | |
| 3.5 | 3.27 | 4.21 | 5.71 | 8.31 | 1.03 | 1.88 | 3.24 | 5.67 | |
| 4 | 3.51 | 4.60 | 6.37 | 9.56 | 1.14 | 2.13 | 3.75 | 6.70 | |
| 4.5 | 3.60 | 4.76 | 6.70 | 10.35 | 1.31 | 2.31 | 3.95 | 7.10 | |
| 5 | 3.70 | 4.92 | 6.97 | 10.94 | 1.36 | 2.39 | 4.12 | 7.48 | |
| 5.5 | 3.73 | 4.97 | 7.06 | 11.06 | 1.41 | 2.46 | 4.25 | 7.71 | |
| 6 | 3.76 | 5.01 | 7.17 | 11.22 | 1.46 | 2.52 | 4.35 | 7.80 | |
| 6.5 | 3.80 | 5.08 | 7.30 | 11.44 | 1.48 | 2.59 | 4.43 | 8.10 | |
| 7 | 3.83 | 5.14 | 7.37 | 11.73 | 1.53 | 2.65 | 4.53 | 8.12 | |
| 7.5 | 3.87 | 5.20 | 7.47 | 11.91 | 1.56 | 2.70 | 4.61 | 8.14 | |
| 8 | 3.89 | 5.23 | 7.55 | 11.97 | 1.59 | 2.74 | 4.62 | 8.14 | |
| 8.5 | 3.90 | 5.25 | 7.52 | 12.01 | 1.63 | 2.76 | 4.64 | 8.14 | |
| 9 | 3.94 | 5.31 | 7.65 | 12.00 | 1.64 | 2.79 | 4.64 | 8.13 | |
| 9.5 | 3.96 | 5.35 | 7.68 | 12.00 | 1.67 | 2.81 | 4.64 | 8.14 | |
| 10 | 3.98 | 5.36 | 7.68 | 11.98 | 1.69 | 2.81 | 4.64 | 8.14 | |
| 10.5 | 3.99 | 5.39 | 7.68 | 12.00 | 1.71 | 2.81 | 4.64 | 8.14 | |
| 11 | 4.00 | 5.39 | 7.68 | 12.00 | 1.71 | 2.81 | 4.64 | 8.14 | |
| 11.5 | 4.00 | 5.39 | 7.68 | 12.00 | 1.71 | 2.81 | 4.64 | 8.13 | |
| 12 | 4.00 | 5.39 | 7.68 | 12.00 | 1.71 | 2.81 | 4.64 | 8.14 | |
| 12.5 | 4.00 | 5.39 | 7.68 | 12.00 | 1.71 | 2.81 | 4.64 | 8.14 | |
| 13 | 4.00 | 5.39 | 7.68 | 12.00 | 1.71 | 2.81 | 4.64 | 8.13 | |
| 3 | 1.5 | 3.36 | 4.38 | 6.06 | 9.01 | 0.06 | 0.72 | 1.81 | 3.85 |
| 2 | 3.38 | 4.39 | 6.04 | 9.03 | 0.07 | 0.76 | 1.95 | 4.21 | |
| 2.5 | 3.48 | 4.52 | 6.21 | 9.27 | 0.14 | 0.93 | 2.23 | 4.73 | |
| 3 | 3.60 | 4.71 | 6.49 | 9.53 | 0.28 | 1.16 | 2.64 | 5.44 | |
| 3.5 | 3.76 | 4.95 | 6.94 | 10.53 | 0.42 | 1.41 | 3.10 | 6.27 | |
| 4 | 3.92 | 5.22 | 7.39 | 11.41 | 0.55 | 1.67 | 3.60 | 7.26 | |
| 4.5 | 4.07 | 5.49 | 7.89 | 12.51 | 0.70 | 1.92 | 4.09 | 8.32 | |
| 5 | 4.23 | 5.75 | 8.40 | 13.56 | 0.82 | 2.16 | 4.55 | 9.35 | |
| 5.5 | 4.37 | 6.02 | 8.90 | 14.64 | 0.94 | 2.37 | 4.95 | 10.39 | |
| 6 | 4.42 | 6.16 | 9.33 | 15.82 | 1.02 | 2.47 | 5.10 | 10.82 | |
| 6.5 | 4.45 | 6.22 | 9.45 | 16.38 | 1.09 | 2.55 | 5.21 | 11.05 | |
| 7 | 4.48 | 6.28 | 9.57 | 16.71 | 1.13 | 2.61 | 5.31 | 11.24 | |
| 7.5 | 4.51 | 6.33 | 9.72 | 16.93 | 1.16 | 2.66 | 5.42 | 11.46 | |
| 8 | 4.54 | 6.37 | 9.80 | 17.08 | 1.20 | 2.70 | 5.52 | 11.74 | |
| 8.5 | 4.56 | 6.41 | 9.84 | 17.23 | 1.23 | 2.76 | 5.62 | 11.85 | |
| 9 | 4.58 | 6.46 | 9.96 | 17.49 | 1.25 | 2.81 | 5.69 | 12.00 | |
| 9.5 | 4.61 | 6.50 | 10.07 | 17.68 | 1.27 | 2.84 | 5.76 | 12.22 | |
| 10 | 4.63 | 6.55 | 10.14 | 17.77 | 1.30 | 2.89 | 5.85 | 12.34 | |
| 10.5 | 4.65 | 6.60 | 10.23 | 18.03 | 1.33 | 2.94 | 5.92 | 12.48 | |
| 11 | 4.68 | 6.62 | 10.29 | 18.13 | 1.34 | 2.98 | 5.95 | 12.51 | |
| 11.5 | 4.69 | 6.67 | 10.38 | 18.25 | 1.37 | 3.01 | 6.04 | 12.51 | |
| 12 | 4.71 | 6.70 | 10.42 | 18.50 | 1.39 | 3.03 | 6.09 | 12.51 | |
| 12.5 | 4.72 | 6.75 | 10.49 | 18.55 | 1.41 | 3.08 | 6.13 | 12.51 | |
| 13 | 4.74 | 6.76 | 10.52 | 18.56 | 1.43 | 3.10 | 6.13 | 12.51 | |
| 14 | 4.76 | 6.78 | 10.57 | 18.55 | 1.51 | 3.12 | 6.13 | 12.51 | |
| 15 | 4.79 | 6.84 | 10.58 | 18.55 | 1.53 | 3.13 | 6.13 | 12.51 | |
| 16 | 4.80 | 6.85 | 10.63 | 18.55 | 1.56 | 3.13 | 6.13 | 12.51 | |
| 17 | 4.82 | 6.86 | 10.63 | 18.56 | 1.56 | 3.12 | 6.13 | 12.51 | |
| 18 | 4.83 | 6.88 | 10.63 | 18.55 | 1.56 | 3.13 | 6.13 | 12.51 | |
| 19 | 4.84 | 6.91 | 10.63 | 18.55 | 1.56 | 3.13 | 6.13 | 12.51 | |
| 20 | 4.85 | 6.91 | 10.63 | 18.55 | 1.56 | 3.12 | 6.13 | 12.51 | |
| 21 | 4.85 | 6.91 | 10.63 | 18.55 | 1.56 | 3.13 | 6.13 | 12.51 | |
| 22 | 4.87 | 6.91 | 10.63 | 18.55 | 1.56 | 3.13 | 6.13 | 12.51 | |
| 23 | 4.87 | 6.91 | 10.63 | 18.55 | 1.56 | 3.13 | 6.13 | 12.51 | |
| 24 | 4.87 | 6.91 | 10.63 | 18.55 | 1.56 | 3.12 | 6.13 | 12.51 | |
Publisher’s Note: MDPI stays neutral with regard to jurisdictional claims in published maps and institutional affiliations. |
© 2022 by the authors. Licensee MDPI, Basel, Switzerland. This article is an open access article distributed under the terms and conditions of the Creative Commons Attribution (CC BY) license (https://creativecommons.org/licenses/by/4.0/).
Share and Cite
Zeng, Y.; Wu, G. Seismic Stability of Dual Tunnels in Cohesive–Frictional Soil Subjected to Surcharge Loading. Appl. Sci. 2022, 12, 2779. https://doi.org/10.3390/app12062779
Zeng Y, Wu G. Seismic Stability of Dual Tunnels in Cohesive–Frictional Soil Subjected to Surcharge Loading. Applied Sciences. 2022; 12(6):2779. https://doi.org/10.3390/app12062779
Chicago/Turabian StyleZeng, Yongge, and Gaoqiao Wu. 2022. "Seismic Stability of Dual Tunnels in Cohesive–Frictional Soil Subjected to Surcharge Loading" Applied Sciences 12, no. 6: 2779. https://doi.org/10.3390/app12062779
APA StyleZeng, Y., & Wu, G. (2022). Seismic Stability of Dual Tunnels in Cohesive–Frictional Soil Subjected to Surcharge Loading. Applied Sciences, 12(6), 2779. https://doi.org/10.3390/app12062779

