A Novel Approach to the Improvement of the Hydropower Plants Protective Measures—Modelling and Numerical Analyses of the Semi-Pneumatic Surge Tank
Abstract
Featured Application
Abstract
1. Introduction
2. Mathematical Model of the Semi-Pneumatic Surge Tank
3. Case Study
3.1. Comparison of the Surge Tanks for the Same Structural Parameters
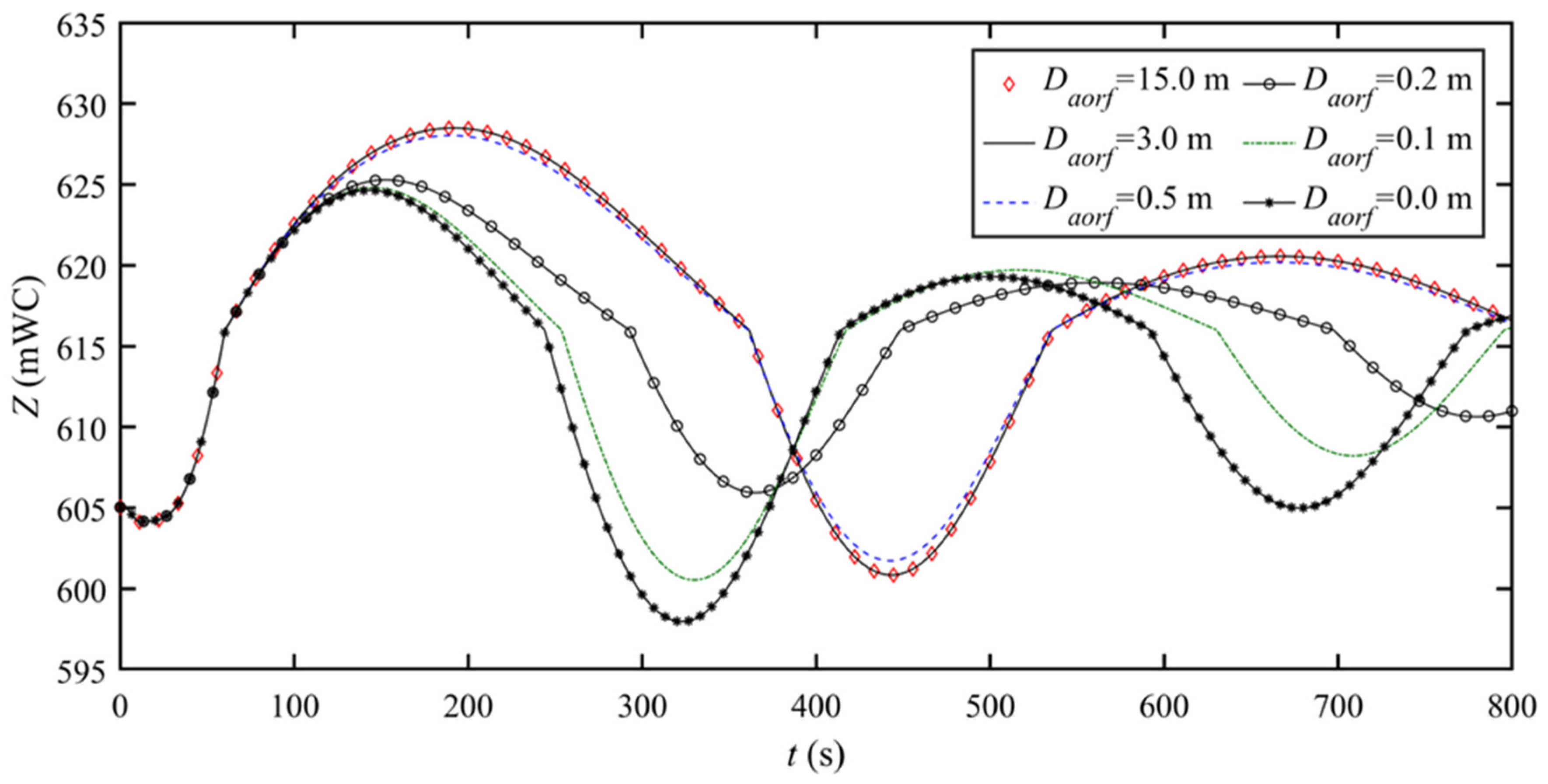
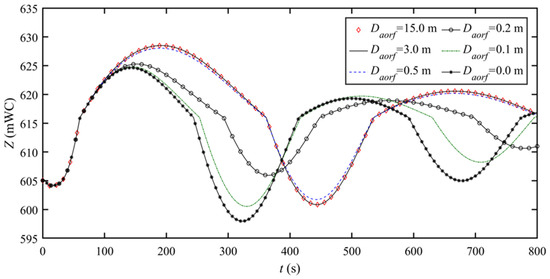
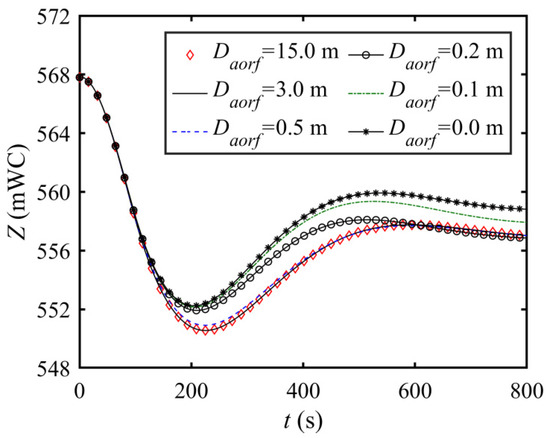
3.2. Comparison of Various Aeration Orifice Dimensions
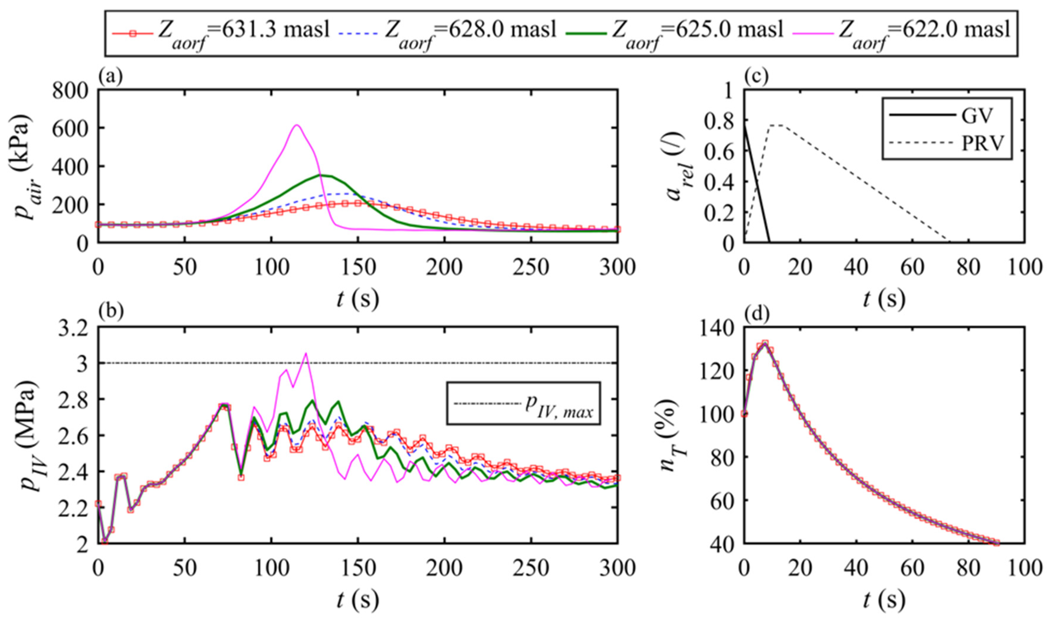
3.3. Vertical Positioning of the Aeration Orifice
3.4. Optimization of the Semi-Pneumatic Surge Tank
4. Discussion
5. Conclusions
Author Contributions
Funding
Acknowledgments
Conflicts of Interest
Abbreviations
| Notation | |
| a = wave propagation speed (m s−1) | |
| A = cross sectional area (m2) | |
| arel = relative opening/closing (/) | |
| C = minor loss coefficient (-) | |
| CN = coefficient defined in the negative equation of the Method of Characteristics (m3 s−1) | |
| CP = coefficient defined in the positive equation of the Method of Characteristics (m3 s−1) | |
| D = diameter (m) | |
| g = gravity acceleration (m s−2) | |
| H = head (m) | |
| H* = absolute pressure head (m) | |
| L = length (m) | |
| m = mass (kg) | |
| = mass discharge (kg s−1) | |
| n = polytropic exponent (-) | |
| nT = transient turbine revolving speed (%) | |
| p* = absolute pressure (Pa) | |
| p = gauge pressure (Pa) | |
| Q = discharge (m3 s−1) | |
| R = specific gas constant (J kg−1 k−1) | |
| T = temperature (k) | |
| V = volume (m3) | |
| Z = elevation (m a.s.l. for the object, mWC for fluid) | |
| ∆t = time step (s) | |
| λ = friction loss coefficient (-) | |
| ρ = density of water (kg m−3) | |
| Abbreviations | |
| CST | closed surge tank |
| HOSC | hydraulic oscillations |
| HPP | hydropower plant |
| IV | inlet valve |
| LGOV | level governing |
| MOC | method of characteristics |
| OPCH | open channel |
| PRV | pressure relief valve |
| SPST | semi-pneumatic surge tank |
| SPTCST | semi-pneumatic throttled chamber type surge tank |
| ST | surge tank |
| STWL | surge tank water level |
| TCST | throttled chamber type surge tank |
| TGOV | turbine governing |
| WH | water hammer |
| WMO | water-mass oscillations |
References
- Vereide, K.; Lia, L.; Nielsen, T. Hydraulic scale modelling and thermodynamics of mass oscillations in closed surge tanks. J. Hydraul. Res. 2015, 53, 519–524. [Google Scholar] [CrossRef]
- Ilić, J.; Petković, A.; Božić, I. Numerical analyses of water hammer and water-mass oscillations in a hydropower plant for the most extreme operational regimes. FME Trans. J. 2019, 47, 7–15. [Google Scholar] [CrossRef]
- Fathi-Moghadam, M.; Haghighipour, S.; Mohammad Vali Samani, H. Design-variable optimization of hydropower tunnels and surge tanks using a genetic algorithm. J. Water Resour. Plan. Manag. 2013, 139, 200–208. [Google Scholar] [CrossRef]
- Gabl, R.; Righetti, M. Design criteria for a type of asymmetric orifice in a surge tank using CFD. Eng. Appl. Comput. Fluid Mech. 2018, 12, 397–410. [Google Scholar] [CrossRef]
- Ilić, J.; Božić, I.; Karadžić, U.; Brđanin, R. Comparative analysis of the hydropower plant transient processes for various surge tank types and improved guide vanes closing law. In Proceedings of the 14th International Conference on Achievements in Mechanical and Industrial Engineering—DEMI 2019, Banja Luka, Bosnia and Herzegovina, 24–25 May 2019. [Google Scholar]
- Michaud, J. Coups de bélier dans les conduites. Étude des moyens employés pour en atteneur les effects [Water hammer in pipelines. Principles of studying the effects]. Bull. Soc. Vaud. Ingénieurs Archit. 1878, 4, 56–64, 65–77. [Google Scholar]
- Johnson, R.D. The surge tank in water power plants. Trans. ASME 1908, 30, 443–474. [Google Scholar]
- Thoma, D. Theorie des Wasserschlosses bei Selbsttätig Geregelten Turbinenanlagen [Theory of the Water Hammer in Self-Regulated Hydropower Plants]. Doctoral Dissertation, Kgl. Technische Hochschule zu München, Munich, Germany, 1910. [Google Scholar]
- De Sparre, M. Des coups de belier dans les conduits [Water hammer in pipelines]. La Houille Blanche 1911, 10, 257–263, 293–298, 316–317. [Google Scholar]
- Camichel, C. Recherches sur les conduits possédant des reservoirs d’air [Research on the pipelines with the air-cushion reservoirs]. Ann. Fac. Sci. Toulouse 1918, 10, 221–259. [Google Scholar] [CrossRef]
- Svee, R.H. Surge chamber with an enclosed, compressed air-cushion. In Proceedings of the 1st International Conference on Pressure Surges, Bedford, UK, 6–8 September 1972. [Google Scholar]
- Wylie, E.B.; Streeter, V.L. Fluid Transients in Systems; Prentice-Hall: Englewood Cliffs, NJ, USA, 1993. [Google Scholar]
- Thorley, A.R.D. Fluid Transients in Pipeline Systems; Professional Engineering: London, UK, 2004. [Google Scholar]
- Graze, H.R. A rational thermodynamic equation for air chamber design. In Proceeding of the 3rd Australian Conference Hydraulics and Fluid Mechanics, Sydney, Australia, 25–29 November 1968. [Google Scholar]
- Vereide, K.; Tekle, T.; Nielsen, T.K. Thermodynamic behaviour and heat transfer in closed surge tanks for hydropower plants. J. Hydraul. Eng. 2015, 141, 06015002. [Google Scholar] [CrossRef]
- Gabl, R.; Gems, B.; Plorer, M.; Klar, R.; Gschnitzer, T.; Achleitner, S.; Aufleger, M. Numerical Simulations in Hydraulic Engineering. In Computational Engineering; Springer: Cham, Switzerland, 2014; pp. 195–224. [Google Scholar]
- Torlak, M.; Bubalo, A.; Džaferović, E. Numerical analysis of water elevation in a hydropower plant surge tank. In Proceedings of the 6th IAHR Meeting of the Working Group “Cavitation and Dynamic Problems in Hydraulic Machinery and Systems”, Ljubljana, Slovenia, 9–11 September 2015. [Google Scholar]
- Bhattarai, K.; Zhou, J.; Palikhe, S.; Pandey, K.; Suwal, N. Numerical modeling and hydraulic optimization of a surge tank using particle swarm optimization. Water 2019, 11, 715. [Google Scholar] [CrossRef]
- Dhakal, R.; Zhou, J.; Palikhe, S.; Bhattarai, K. Hydraulic optimization of double chamber surge tank using NSGA-II. Water 2020, 12, 455. [Google Scholar] [CrossRef]
- Vereide, K.; Richter, W.; Zenz, G.; Lia, L. Surge tank research in Norway and Austria. Wasserwirtschaft 2015, 105, 58–62. [Google Scholar] [CrossRef]
- Richter, W.; Vereide, K.; Zenz, G. Optimizing surge tank layout for highly flexible hydropower. Int. J. Hydropower Dams 2018, 25, 42–46. [Google Scholar]
- Doerfler, P.; Lein, G. Stable operation of reduced size surge tanks. Int. J. Hydropower Dams 2001, 8, 108–112. [Google Scholar]
- Yu, X.; Zhang, J.; Zhou, L. Hydraulic transients in the long diversion-type hydropower station with a complex differential surge tank. Sci. World J. 2014, 2014, 241868. [Google Scholar] [CrossRef] [PubMed]
- Sandvag, S.U. Surge Tank Atlas for Hydropower Plants. Master’s Thesis, University of Science and Technology, Trondheim, Norway, 2016. [Google Scholar]
- Муравьёв, O.A. Уравнительные резервуары [Surge Tanks]; НИУ МГСУ: Moscow, Russia, 2017. [Google Scholar]
- Escande, L. The stability of throttled surge tanks operating with the electric power controlled by the hydraulic power. J. Hydraul. Res. 1963, 1, 4–13. [Google Scholar] [CrossRef][Green Version]
- Jaeger, C. Fluid Transients in Hydro-Electric Engineering Practice; Blackie: Glasgow, UK, 1977. [Google Scholar]
- Adam, N.; De Cesare, G.; Nicolet, C.; Billeter, P.; Angermayr, A.; Bernard, V.; Schleiss, A. Design of a throttled surge tank for the refurbishment by power increase of a high head power plant. J. Hydraul. Eng. 2018, 144, 05017004. [Google Scholar] [CrossRef]
- Đorđević, B. Korišćenje Vodnih Snaga [The Use of Water Power]; University of Belgrade Faculty of Civil Engineering: Belgrade, Serbia, 1989. [Google Scholar]
- Щавелев, Д.С.Васильев, Ю.С.; Претрo, Г.А.; Резникoвский, А., Ш. Гидрoэнергетические Устанoвки [Hydroelectric Installations]; Энергия: Moscow, Russia, 1972. [Google Scholar]
- Аршеневский, H.; Губин, Ф.; Губин, М.; Кривченкo, Г. Гидрoэлектрические Станции [Hydropower Stations]; Энергия: Moscow, Russia, 1980. [Google Scholar]
- Fitzgerald, R.; Van Blaricum, V.L.; Water Hammer and Mass Oscillation (WHAMO) 3.0 User’s Manual. USACERL ADP Report USACERL-ADP-98/129. 1998. Available online: https://erdc-library.erdc.dren.mil/jspui/bitstream/11681/13746/1/CERL-ADP-98-129.pdf (accessed on 3 February 2022).
- Brđanin, R.; Ilić, J.; Karadžić, U.; Božić, I. Experimental water hammer setup at University of Montenegro—Description and possibilities. In Proceedings of the 14th International Conference on Achievements in Mechanical and Industrial Engineering—DEMI 2019, Banja Luka, Bosnia and Herzegovina, 24–25 May 2019. [Google Scholar]
- Chaudhry, M.H. Applied Hydraulic Transients; Springer: New York, NY, USA, 2014. [Google Scholar]
- Verbeke, J.; Cools, R. The Newton-Raphson method. Int. J. Math. Educ. Sci. Technol. 1995, 26, 177–193. [Google Scholar] [CrossRef]
- Ilić, J. Prelazni Procesi u Hidroelektranama—Modeliranje, Numeričke Simulacije i Analize Normalnih, Posebnih i Havarijskih Radnih Režima [Hydraulic Transients in Hydropower Plants—Modelling, Numerical Simulations and Analyses of Normal, Special and Emergency Working Regimes]. Master’s Thesis, University of Belgrade Faculty of Mechanical Engineering, Belgrade, Serbia, 2017. [Google Scholar]










Publisher’s Note: MDPI stays neutral with regard to jurisdictional claims in published maps and institutional affiliations. |
© 2022 by the authors. Licensee MDPI, Basel, Switzerland. This article is an open access article distributed under the terms and conditions of the Creative Commons Attribution (CC BY) license (https://creativecommons.org/licenses/by/4.0/).
Share and Cite
Ilić, J.; Božić, I.; Petković, A.; Karadžić, U. A Novel Approach to the Improvement of the Hydropower Plants Protective Measures—Modelling and Numerical Analyses of the Semi-Pneumatic Surge Tank. Appl. Sci. 2022, 12, 2353. https://doi.org/10.3390/app12052353
Ilić J, Božić I, Petković A, Karadžić U. A Novel Approach to the Improvement of the Hydropower Plants Protective Measures—Modelling and Numerical Analyses of the Semi-Pneumatic Surge Tank. Applied Sciences. 2022; 12(5):2353. https://doi.org/10.3390/app12052353
Chicago/Turabian StyleIlić, Jovan, Ivan Božić, Aleksandar Petković, and Uroš Karadžić. 2022. "A Novel Approach to the Improvement of the Hydropower Plants Protective Measures—Modelling and Numerical Analyses of the Semi-Pneumatic Surge Tank" Applied Sciences 12, no. 5: 2353. https://doi.org/10.3390/app12052353
APA StyleIlić, J., Božić, I., Petković, A., & Karadžić, U. (2022). A Novel Approach to the Improvement of the Hydropower Plants Protective Measures—Modelling and Numerical Analyses of the Semi-Pneumatic Surge Tank. Applied Sciences, 12(5), 2353. https://doi.org/10.3390/app12052353

