Wearable Inertial Measurement Unit to Measure External Load: A Full-Season Study in Professional Soccer Players
Abstract
1. Introduction
2. Materials and Methods
2.1. Experimental Approach to the Problem
2.2. Participants
2.3. Sample Size
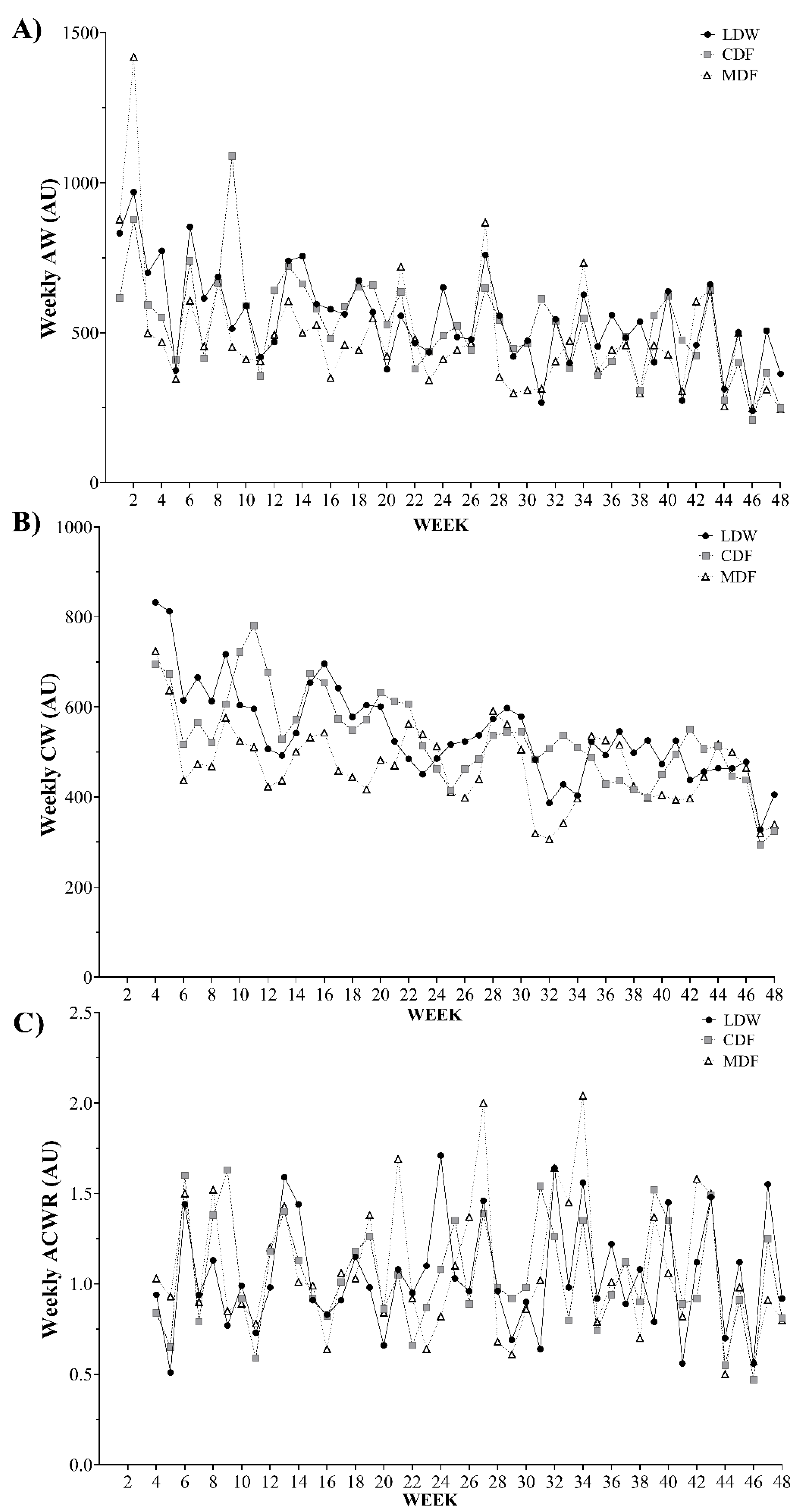
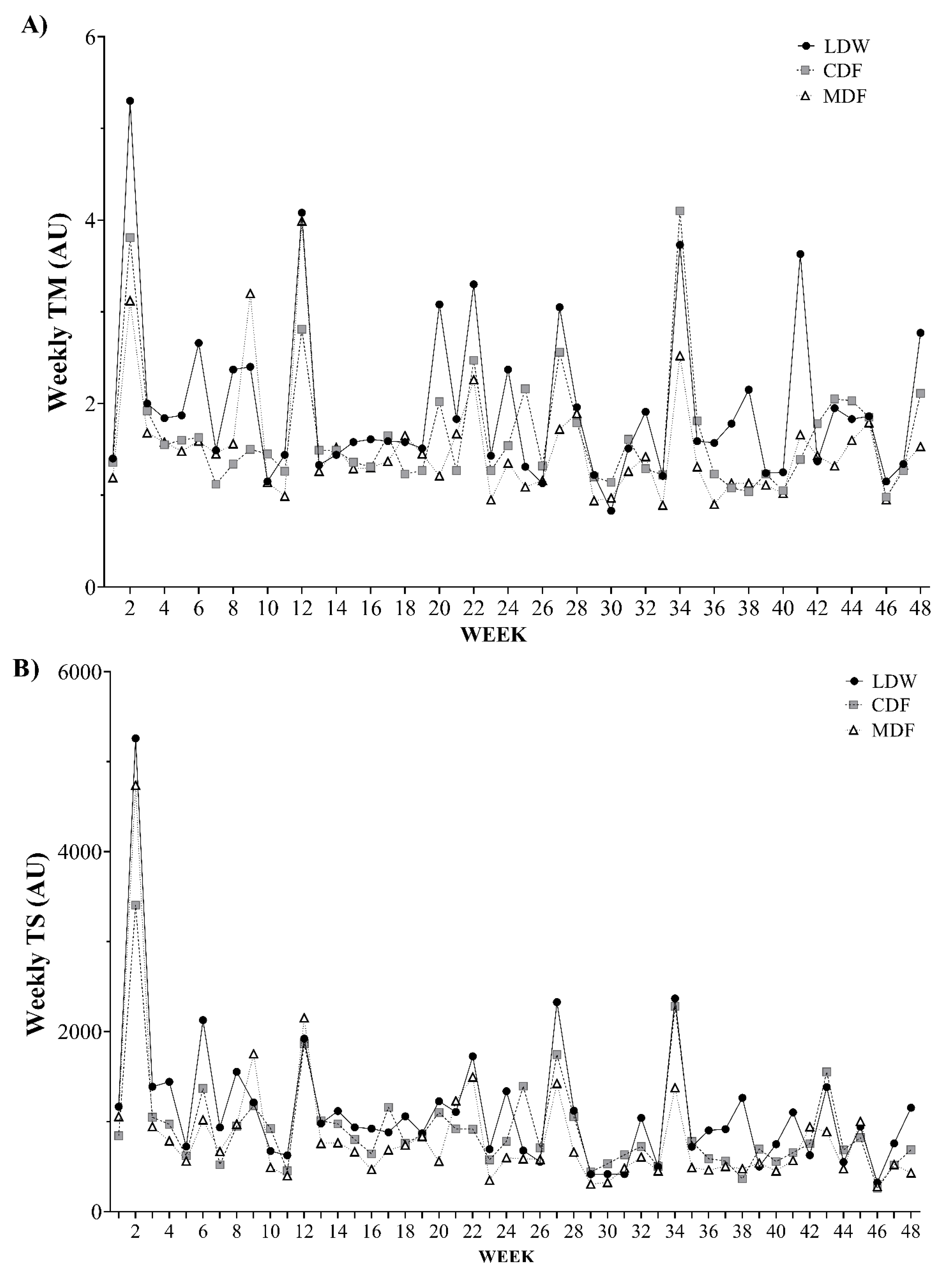
2.4. Monitoring External Load
2.4.1. GPS Receiver Specifications
2.4.2. Data Collection by Wearable Inertial Measurement Unit
2.4.3. Training Load
- Equation wCW= 0.333 × (wAW in the previous 3 weeks), which is based on the uncoupled formula; the CW was not computed for the first four weeks [54];
- Equation wTM= average of wAW/standard deviation (SD), both in a similar week [55];
- Equation wTS= wAW × wTM, both in a similar week [56];
- Ultimately, for other distances and sprints variables, calculations were from the weekly in full season.
2.5. Statistical Analysis
3. Results
4. Discussion
5. Conclusions
Author Contributions
Funding
Institutional Review Board Statement
Informed Consent Statement
Data Availability Statement
Conflicts of Interest
References
- Jaspers, A.; Brink, M.S.; Probst, S.G.M.; Frencken, W.G.P.; Helsen, W.F. Relationships Between Training Load Indicators and Training Outcomes in Professional Soccer. Sports Med. 2017, 47, 533–544. [Google Scholar] [CrossRef]
- Ryan, S.; Pacecca, E.; Tebble, J.; Hocking, J.; Kempton, T.; Coutts, A.J. Measurement Characteristics of Athlete Monitoring Tools in Professional Australian Football. Int. J. Sports Physiol. Perform. 2019, 15, 457–463. [Google Scholar] [CrossRef] [PubMed]
- Impellizzeri, F.M.; Marcora, S.M.; Coutts, A.J. Internal and External Training Load: 15 Years On. Int. J. Sports Physiol. Perform. 2019, 14, 270–273. [Google Scholar] [CrossRef] [PubMed]
- Akenhead, R.; Nassis, G.P. Training load and player monitoring in high-level football: Current practice and perceptions. Int. J. Sports Physiol. Perform. 2016, 11, 587–593. [Google Scholar] [CrossRef] [PubMed]
- Weston, M. Training load monitoring in elite English soccer: A comparison of practices and perceptions between coaches and practitioners. Sci. Med. Footb. 2018, 2, 216–224. [Google Scholar] [CrossRef]
- Rabbani, A.; Baseri, M.K.; Reisi, J.; Clemente, F.M.; Kargarfard, M. Monitoring collegiate soccer players during a congested match schedule: {Heart} rate variability versus subjective wellness measures. Physiol. Behav. 2018, 194, 527–531. [Google Scholar] [CrossRef] [PubMed]
- Los Arcos, A.; Mendez-Villanueva, A.; Martínez-Santos, R. In-season training periodization of professional soccer players. Biol. Sport 2017, 34, 149–155. [Google Scholar] [CrossRef]
- Sarmento, H.; Clemente, F.M.; Harper, L.D.; Costa IT, D.; Owen, A.; Figueiredo, A.J. Small sided games in soccer—A systematic review. Int. J. Perform. Anal. Sport 2018, 18, 693–749. [Google Scholar] [CrossRef]
- Lago-Peñas, C. The role of situational variables in analysing physical performance in soccer. J. Hum. Kinet. 2012, 35, 89–95. [Google Scholar] [CrossRef]
- Clemente, F.M.; Silva, R.; Castillo, D.; Los Arcos, A.; Mendes, B.; Afonso, J. Weekly Load Variations of Distance-Based Variables in Professional Soccer Players: A Full-Season Study. Int. J. Environ. Res. Public Health 2020, 17, 3300. [Google Scholar] [CrossRef]
- Moura, F.A.; Santana, J.E.; Vieira, N.A.; Santiago, P.R.P.; Cunha, S.A. Analysis of Soccer Players’ Positional Variability during the 2012 UEFA European Championship: A Case Study. J. Hum. Kinet. 2015, 47, 225–236. [Google Scholar] [CrossRef][Green Version]
- Nikolaidis, P.; Ziv, G.; Lidor, R.; Arnon, M. Inter-individual variability in soccer players of different age groups playing different positions. J. Hum. Kinet. 2014, 40, 213–225. [Google Scholar] [CrossRef]
- Nobari, H.; Fani, M.; Pardos-Mainer, E.; Pérez-Gómez, J. Fluctuations in Well-Being Based on Position in Elite Young Soccer Players during a Full Season. Healthcare 2021, 9, 586. [Google Scholar] [CrossRef]
- Sedeaud, A.; De Larochelambert, Q.; Moussa, I.; Brasse, D.; Berrou, J.M.; Duncombe, S.; Antero, J.; Orhant, E.; Carling, C.; Toussaint, J.F.; et al. In-Season Internal and External Workload Variations between Starters and Non-Starters—A Case Study of a Top Elite European Soccer Team. Medicina 2020, 57, 645. [Google Scholar] [CrossRef]
- Nobari, H.; Praça, G.M.; Clemente, F.M.; Pérez-Gómez, J.; Carlos Vivas, J.; Ahmadi, M. Comparisons of new body load and metabolic power average workload indices between starters and non-starters: A full-season study in professional soccer players. Proc. Inst. Mech. Eng. Part P J. Sport. Eng. Technol. 2021, 235, 105–113. [Google Scholar] [CrossRef]
- Oliveira, R.; Martins, A.; Nobari, H.; Nalha, M.; Mendes, B.; Clemente, F.M.; Brito, J.P. In-season monotony, strain and acute/chronic workload of perceived exertion, global positioning system running based variables between player positions of a top elite soccer team. BMC Sports Sci. Med. Rehabil. 2021, 13, 126. [Google Scholar] [CrossRef] [PubMed]
- Nobari, H.; Cholewa, J.M.; Pérez-Gómez, J.; Castillo-Rodríguez, A. Effects of 14-weeks betaine supplementation on pro-inflammatory cytokines and hematology status in professional youth soccer players during a competition season: A double blind, randomized, placebo-controlled trial. J. Int. Soc. Sports Nutr. 2021, 18, 42. [Google Scholar] [CrossRef]
- Nobari, H.; Kargarfard, M.; Minasian, V.; Cholewa, J.M.; Pérez-Gómez, J. The effects of 14-week betaine supplementation on endocrine markers, body composition and anthropometrics in professional youth soccer players: A double blind, randomized, placebo-controlled trial. J. Int. Soc. Sports Nutr. 2021, 18, 20. [Google Scholar] [CrossRef]
- Nobari, H.; Vahabidelshad, R.; Pérez-Gómez, J.; Ardigò, L.P. Variations of Training Workload in Micro- and Meso-Cycles Based on Position in Elite Young Soccer Players: A Competition Season Study. Front. Physiol. 2021, 12, 529. [Google Scholar] [CrossRef]
- Di Salvo, V.; Gregson, W.; Atkinson, G.; Tordoff, P.; Drust, B. Analysis of high intensity activity in premier league soccer. Int. J. Sports Med. 2009, 30, 205–212. [Google Scholar] [CrossRef]
- Di Salvo, V.; Baron, R.; Tschan, H.; Montero, F.J.C.; Bachl, N.; Pigozzi, F. Performance characteristics according to playing position in elite soccer. Int. J. Sports Med. 2007, 28, 222–227. [Google Scholar] [CrossRef]
- Clemente, F.M.; Martinho, R.; Calvete, F.; Mendes, B. Training load and well-being status variations of elite futsal players across a full season: {Comparisons} between normal and congested weeks. Physiol. Behav. 2019, 201, 123–129. [Google Scholar] [CrossRef]
- Martín-García, A.; Gómez Díaz, A.; Bradley, P.S.; Morera, F.; Casamichana, D. Quantification of a Professional Football Team’s External Load Using a Microcycle Structure. J. Strength Cond. Res. 2018, 32, 3511–3518. [Google Scholar] [CrossRef]
- McCall, A.; Dupont, G.; Ekstrand, J. Internal workload and non-contact injury: A one-season study of five teams from the UEFA Elite Club Injury Study. Br. J. Sports Med. 2018, 52, 1517–1522. [Google Scholar] [CrossRef]
- Stevens, T.G.A.; de Ruiter, C.J.; Twisk, J.W.R.; Savelsbergh, G.J.P.; Beek, P.J. Quantification of in-season training load relative to match load in professional Dutch Eredivisie football players. Sci. Med. Footb. 2017, 1, 117–125. [Google Scholar] [CrossRef]
- LQT Aquino, R.; Cruz Gonçalves, L.G.; Palucci Vieira, L.H.; Oliveira, L.P.; Alves, G.F.; Pereira Santiago, P.R.; Puggina, E.F. Periodization Training Focused on Technical-Tactical Ability in Young Soccer Players Positively Affects Biochemical Markers and Game Performance. J. Strength Cond. Res. 2016, 30, 2723–2732. [Google Scholar] [CrossRef]
- Malone, S.; Roe, M.; Doran, D.A.; Gabbett, T.J.; Collins, K.D. Protection Against Spikes in Workload With Aerobic Fitness and Playing Experience: The Role of the Acute:Chronic Workload Ratio on Injury Risk in Elite Gaelic Football. Int. J. Sports Physiol. Perform. 2017, 12, 393–401. [Google Scholar] [CrossRef]
- Clemente, F.M.; Clark, C.; Castillo, D.; Sarmento, H.; Nikolaidis, P.T.; Rosemann, T.; Knechtle, B. Variations of training load, monotony, and strain and dose-response relationships with maximal aerobic speed, maximal oxygen uptake, and isokinetic strength in professional soccer players. PLoS ONE 2019, 14, e0225522. [Google Scholar] [CrossRef]
- Delecroix, B.; Mccall, A.; Dawson, B.; Berthoin, S.; Dupont, G. Workload monotony, strain and non-contact injury incidence in professional football players. Sci. Med. Footb. 2019, 3, 105–108. [Google Scholar] [CrossRef]
- Impellizzeri, F.M.; Tenan, M.S.; Kempton, T.; Novak, A.; Coutts, A.J. Acute:Chronic Workload Ratio: Conceptual Issues and Fundamental Pitfalls. Int. J. Sports Physiol. Perform. 2020, 15, 907–913. [Google Scholar] [CrossRef]
- Impellizzeri, F.M.; Woodcock, S.; Coutts, A.J.; Fanchini, M.; McCall, A.; Vigotsky, A.D. What Role Do Chronic Workloads Play in the Acute to Chronic Workload Ratio? Time to Dismiss ACWR and Its Underlying Theory. Sport. Med. 2021, 51, 581–592. [Google Scholar] [CrossRef]
- Andrade, R.; Wik, E.H.; Rebelo-Marques, A.; Blanch, P.; Whiteley, R.; Espregueira-Mendes, J.; Gabbett, T.J. Is the Acute: Chronic Workload Ratio (ACWR) Associated with Risk of Time-Loss Injury in Professional Team Sports? A Systematic Review of Methodology, Variables and Injury Risk in Practical Situations. Sports Med. 2020, 50, 1613–1635. [Google Scholar] [CrossRef]
- Renfree, A.; Casado, A.; McLaren, S. Re-thinking athlete training loads: Would you rather have one big rock or lots of little rocks dropped on your foot? Res. Sports Med. 2021, 1–4. [Google Scholar] [CrossRef]
- Vanrenterghem, J.; Nedergaard, N.J.; Robinson, M.A.; Drust, B. Training Load Monitoring in Team Sports: A Novel Framework Separating Physiological and Biomechanical Load-Adaptation Pathways. Sports Med. 2017, 47, 2135–2142. [Google Scholar] [CrossRef]
- Barrett, S.; Midgley, A.W.; Towlson, C.; Garrett, A.; Portas, M.; Lovell, R. Within-Match PlayerLoadTM Patterns During a Simulated Soccer Match: Potential Implications for Unit Positioning and Fatigue Management. Int. J. Sports Physiol. Perform. 2016, 11, 135–140. [Google Scholar] [CrossRef]
- Coutts, A.J.; Duffield, R. Validity and reliability of GPS devices for measuring movement demands of team sports. J. Sci. Med. Sport 2010, 13, 133–135. [Google Scholar] [CrossRef]
- Cummins, C.; Orr, R.; O’Connor, H.; West, C. Global positioning systems ({GPS}) and microtechnology sensors in team sports: A systematic review. Sports Med. 2013, 43, 1025–1042. [Google Scholar] [CrossRef]
- Dalen, T.; Ingebrigtsen, J.; Ettema, G.; Hjelde, G.H.; Wisløff, U. Player Load, Acceleration, and Deceleration During Forty-Five Competitive Matches of Elite Soccer. J. Strength Cond. Res. 2016, 30, 351–359. [Google Scholar] [CrossRef]
- Dellaserra, C.L.; Gao, Y.; Ransdell, L. Use of integrated technology in team sports: A review of opportunities, challenges, and future directions for athletes. J. Strength Cond. Res. 2014, 28, 556–573. [Google Scholar] [CrossRef]
- Nobari, H.; Khalili, S.M.; Oliveira, R.; Castillo-Rodríguez, A.; Pérez-Gómez, J.; Ardigò, L.P. Comparison of Official and Friendly Matches through Acceleration, Deceleration and Metabolic Power Measures: A Full-Season Study in Professional Soccer Players. Int. J. Environ. Res. Public Health 2021, 18, 5980. [Google Scholar] [CrossRef]
- Nobari, H.; Aquino, R.; Clemente, F.M.; Khalafi, M.; Adsuar, J.C.; Pérez-Gómez, J. Description of acute and chronic load, training monotony and strain over a season and its relationships with well-being status: A study in elite under-16 soccer players. Physiol. Behav. 2020, 225, 113117. [Google Scholar] [CrossRef]
- Abbott, W.; Brickley, G.; Smeeton, N.J. Physical demands of playing position within {English} {Premier} {League} academy soccer. J. Hum. Sport Exerc. 2018, 13, 285–295. [Google Scholar] [CrossRef]
- Faul, F.; Erdfelder, E.; Lang, A.G.; Buchner, A. G*Power 3: A flexible statistical power analysis program for the social, behavioral, and biomedical sciences. In Proceedings of the Behavior Research Methods; Psychonomic Society Inc.: Bethesda, MD, USA, 2007; Volume 39, pp. 175–191. [Google Scholar]
- Scott, M.T.U.; Scott, T.J.; Kelly, V.G. The Validity and Reliability of Global Positioning Systems in Team Sport. J. Strength Cond. Res. 2016, 30, 1470–1490. [Google Scholar] [CrossRef] [PubMed]
- Akenhead, R.; French, D.; Thompson, K.G.; Hayes, P.R. The acceleration dependent validity and reliability of 10Hz GPS. J. Sci. Med. Sport 2014, 17, 562–566. [Google Scholar] [CrossRef] [PubMed]
- Tessaro, E.; Williams, J. Validity and reliability of a 15 Hz GPS device for court-based sports movements—Sport performance & science reports. Sport Perform. Sci. Rep. 2018, 1, 1–4. [Google Scholar]
- Nikolaidis, P.T.; Clemente, F.M.; van der Linden, C.M.I.; Rosemann, T.; Knechtle, B. Validity and reliability of 10-Hz global positioning system to assess in-line movement and change of direction. Front. Physiol. 2018, 9, 228. [Google Scholar] [CrossRef]
- Nobari, H.; Oliveira, R.; Clemente, F.M.; Adsuar, J.C.; Pérez-Gómez, J.; Carlos-Vivas, J.; Brito, J.P. Comparisons of accelerometer variables training monotony and strain of starters and non-starters: A full-season study in professional soccer players. Int. J. Environ. Res. Public Health 2020, 17, 6547. [Google Scholar] [CrossRef]
- Clemente, F.M.; Silva, R.; Chen, Y.S.; Aquino, R.; Praça, G.M.; Paulis, J.C.; Nobari, H.; Mendes, B.; Rosemann, T.; Knechtle, B. Accelerometry-workload indices concerning different levels of participation during congested fixture periods in professional soccer: A pilot study conducted over a full season. Int. J. Environ. Res. Public Health 2021, 18, 1137. [Google Scholar] [CrossRef]
- Nobari, H.; Castillo, D.; Clemente, F.M.; Carlos-Vivas, J.; Pérez-Gómez, J. Acute, chronic and acute/chronic ratio between starters and non-starters professional soccer players across a competitive season. Proc. Inst. Mech. Eng. Part P J. Sport. Eng. Technol. 2021, 17543371211016594. [Google Scholar] [CrossRef]
- Nobari, H.; Mainer-Pardos, E.; Zamorano, A.D.; Bowman, T.G.; Clemente, F.M.; Pérez-Gómez, J. Sprint Variables Are Associated with the Odds Ratios of Non-Contact Injuries in Professional Soccer Players. Int. J. Environ. Res. Public Health 2021, 18, 10417. [Google Scholar] [CrossRef]
- Nobari, H.; Banoocy, N.K.; Oliveira, R.; Pérez-Gómez, J. Win, Draw, or Lose? Global Positioning System-Based Variables’ Effect on the Match Outcome: A Full-Season Study on an Iranian Professional Soccer Team. Sensors 2021, 21, 5695. [Google Scholar] [CrossRef]
- Nobari, H.; Silva, R.; Clemente, F.M.; Akyildiz, Z.; Ardigò, L.P.; Pérez-Gómez, J. Weekly variations in the workload of turkish national youth wrestlers: A season of complete preparation. Int. J. Environ. Res. Public Health 2021, 18, 3832. [Google Scholar] [CrossRef]
- Windt, J.; Gabbett, T.J. Is it all for naught? What does mathematical coupling mean for acute:chronic workload ratios? Br. J. Sports Med. 2019, 53, 988–990. [Google Scholar] [CrossRef]
- Foster, C.; Florhaug, J.A.; Franklin, J.; Gottschall, L.; Hrovatin, L.A.; Parker, S.; Doleshal, P.; Dodge, C. A new approach to monitoring exercise training. J. Strength Cond. Res. 2001, 15, 109–115. [Google Scholar]
- Nobari, H.; Barjaste, A.; Haghighi, H.; Clemente, F.M.; Carlos-Vivas, J.; Perez-Gomez, J. Quantification of training and match load in elite youth soccer players: A full-season study. J. Sports Med. Phys. Fitness 2021. [Google Scholar] [CrossRef]
- Hopkins, W.G.; Marshall, S.W.; Batterham, A.M.; Hanin, J. Progressive statistics for studies in sports medicine and exercise science. Med. Sci. Sports Exerc. 2009, 41, 3–12. [Google Scholar] [CrossRef]
- Oliveira, R.; Brito, J.P.; Martins, A.; Mendes, B.; Marinho, D.A.; Ferraz, R.; Marques, M.C. In-season internal and external training load quantification of an elite European soccer team. PLoS ONE 2019, 14, e0209393. [Google Scholar] [CrossRef]
- Dellal, A.; Lago-Peñas, C.; Rey, E.; Chamari, K.; Orhant, E. The effects of a congested fixture period on physical performance, technical activity and injury rate during matches in a professional soccer team. Br. J. Sports Med. 2015, 49, 390–394. [Google Scholar] [CrossRef]
- Owen, A.L.; Lago-Penñs, C.; Gómez, M.Á.; Mendes, B.; Dellal, A. Analysis of a training mesocycle and positional quantification in elite European soccer players. Int. J. Sport. Sci. Coach. 2017, 12, 665–676. [Google Scholar] [CrossRef]
- Meckel, Y.; Doron, O.; Eliakim, E.; Eliakim, A. Seasonal Variations in Physical Fitness and Performance Indices of Elite Soccer Players. Sports 2018, 6, 14. [Google Scholar] [CrossRef] [PubMed]
- Malone, J.J.; Di Michele, R.; Morgans, R.; Burgess, D.; Morton, J.P.; Drust, B. Seasonal training-load quantification in elite English Premier League soccer players. Int. J. Sports Physiol. Perform. 2015, 10, 489–497. [Google Scholar] [CrossRef]
- Rico-González, M.; Mendez-Villanueva, A.; Los Arcos, A. Trainin load periodization in soccer with one official match a week: A systematic review. In An Essential Guide to Sports Performance; Alvira, D., Raya-González, J., Eds.; Nova Science: New York, NY, USA, 2020. [Google Scholar]
- Gabbett, T.J. The training-injury prevention paradox: Should athletes be training smarter and harder? Br. J. Sports Med. 2016, 50, 273–280. [Google Scholar] [CrossRef]
- Gomez-Piriz, P.T.; JiméNez-Reyes, P.; Ruiz-Ruiz, C. Relation between total body load and session rating of perceived exertion in professional soccer players. J. Strength Cond. Res. 2011, 25, 2100–2103. [Google Scholar] [CrossRef]
- McLaren, S.J.; Smith, A.; Spears, I.R.; Weston, M. A detailed quantification of differential ratings of perceived exertion during team-sport training. J. Sci. Med. Sport 2017, 20, 290–295. [Google Scholar] [CrossRef]
- Barrett, S.; McLaren, S.; Spears, I.; Ward, P.; Weston, M. The Influence of Playing Position and Contextual Factors on Soccer Players’ Match Differential Ratings of Perceived Exertion: A Preliminary Investigation. Sport 2018, 6, 13. [Google Scholar] [CrossRef]
- Clemente, F.M.; Owen, A.; Serra-Olivares, J.; Nikolaidis, P.T.; Van Der Linden, C.M.I.; Mendes, B. Characterization of the Weekly External Load Profile of Professional Soccer Teams from Portugal and the Netherlands. J. Hum. Kinet. 2019, 66, 155–164. [Google Scholar] [CrossRef]
- Clemente, F.M.; Rabbani, A.; Conte, D.; Castillo, D.; Afonso, J.; Clark, C.C.T.; Nikolaidis, P.T.; Rosemann, T.; Knechtle, B. Training/match external load ratios in professional soccer players: A full-season study. Int. J. Environ. Res. Public Health 2019, 16, 3057. [Google Scholar] [CrossRef]






| Playing Position | Frequency (Sessions wk−1) | wNBL (AU) | wTD (m) | wSTD (m) | wHSRd (m) | wRS (num) |
|---|---|---|---|---|---|---|
| LDW | >3 | 547.24 (31.87) | 23,764.21 (3024.59) | 2053.02 (256.11) | 340.35 (89.83) | 72.89 (4.55) |
| CDF | >3 | 526.43 (60.57) | 21,809 (4391.51) | 1831.06 (370.15) | 271.55 (73.80) | 65.80 (9.06) |
| MID | >3 | 473.40 (96.46) | 20,002.31 (5203.42) | 1654.23 (508.09) | 230.78 (114.12) | 60.95 (14.43) |
| MEAN (SD) | COMPARATIVE | MEAN DIFFERENCE | p | Cohen’s d (95% CI) | CV (%) | |
|---|---|---|---|---|---|---|
| wAW (AU) | LDW: 88.02 (16.15) | LDW vs. CDF | 6.3 (−21.3 to 34.0) | 1.000 | 0.26 (−0.76 to 1.28) | 22.80 |
| CDF: 81.68 (29.37) | LDW vs. MDF | −9.0 (−37.9 to 19.9) | 1.000 | −0.62 (−1.70 to 0.47) | ||
| MDF: 97.01 (8.69) | CDF vs. MDF | −15.3 (−45.1 to 14.4) | 0.571 | −0.63 (−1.75 to 0.48) | ||
| wCW (AU) | LDW: 88.25 (16.57) | LDW vs. CDF | 6.3 (−21.4 to 34.0) | 1.000 | 0.25 (−0.77 to 1.27) | 22.64 |
| CDF: 81.95 (29.48) | LDW vs. MDF | −7.3 (−36.2 to 21.6) | 1.000 | −0.50 (−1.58 to 0.57) | ||
| MDF: 95.55 (7.00) | CDF vs. MDF | −13.6 (−43.3 to 16.1) | 0.729 | −0.57 (−1.68 to 0.54) | ||
| wACWR (AU) | LDW: 1.05 (0.04) | LDW vs. CDF | 0.002 (−0.063 to 0.067) | 1.000 | 0.01 (−1.00 to 1.02) | 4.38 |
| CDF: 1.05 (0.04) | LDW vs. MDF | −0.018 (−0.086 to 0.049) | 1.000 | −0.41 (−1.48 to 0.66) | ||
| MDF: 1.08 (0.07) | CDF vs. MDF | −0.020 (−0.090 to 0.049) | 1.000 | −0.40 (−1.51 to 0.70) | ||
| wTM (AU) | LDW: 1.71 (0.18) | LDW vs. CDF | −0.008 (−0.508 to 0.493) | 1.000 | −0.03 (−1.04 to 0.99) | 20.18 |
| CDF: 1.72 (0.51) | LDW vs. MDF | −0.015 (−0.537 to 0.508) | 1.000 | −0.06 (−1.12 to 1.00) | ||
| MDF: 1.73 (0.36) | CDF vs. MDF | −0.007 (−0.545 to 0.531) | 1.000 | −0.01 (−1.10 to 1.08) | ||
| wTS (AU) | LDW: 964.24 (220.24) | LDW vs. CDF | 110.7 (−205.3 to 426.6) | 1.000 | 0.41 (−0.61 to 1.44) | 24.88 |
| CDF: 853.55 (288.02) | LDW vs. MDF | −131.8 (−461.4 to 197.9) | 0.917 | −0.62 (−1.71 to 0.46) | ||
| MDF: 1095.99 (158.63) | CDF vs. MDF | −242.4 (−582.1 to 97.2) | 0.227 | −0.95 (−2.10 to 0.20) |
| MEAN (SD) | COMPARATIVE | MEAN DIFFERENCE | p | Cohen’s d (95% CI) | CV (%) | |
|---|---|---|---|---|---|---|
| wTD (m) | LDW: 3842.51 (307.12) | LDW vs. CDF | 255.2 (−254.8 to 765.1) | 0.610 | 0.58 (−0.45 to 1.62) | 10.03 |
| CDF: 3587.32(507.56) | LDW vs. MDF | 177.3 (−354.8 to 709.5) | 1.000 | 0.58 (−0.50 to 1.66) | ||
| MDF: 3665.16(246.22) | CDF vs. MDF | −77.8 (−626.0 to 470.4) | 1.000 | −0.18 (−1.27 to 0.92) | ||
| wSTD (m) | LDW: 351.36(39.64) | LDW vs. CDF | 79.1 (17.9 to 140.3) | 0.009 | 1.63 (0.46 to 2.81) | 18.47 |
| CDF: 272.29 (51.52) | LDW vs. MDF | 68.2 (4.3 to 132.1) | 0.034 | 1.55 (0.34 to 2.75) | ||
| MDF: 283.17 (42.91) | CDF vs. MDF | −10.9 (−76.7 to 54.9) | 1.000 | −0.21 (−1.31 to 0.88) | ||
| wHSRd (m) | LDW: 62.84 (13.81) | LDW vs. CDF | 23.2 (3.8 to 42.5) | 0.016 | 1.48 (0.34 to 2.62) | 37.63 |
| CDF: 39.68 (15.73) | LDW vs. MDF | 25.4 (5.2 to 45.6) | 0.011 | 1.77 (0.53 to 3.02) | ||
| MDF: 37.47 (12.59) | CDF vs. MDF | 2.2 (−18.6 to 23.0) | 1.000 | 0.14 (−0.95 to 1.23) | ||
| wRS (number) | LDW: 13.43 (3.11) | LDW vs. CDF | 3.8 (0.5 to 7.1) | 0.021 | 1.47 (0.32 to 2.61) | 25.41 |
| CDF: 9.60 (1.34) | LDW vs. MDF | 2.9 (−0.6 to 6.3) | 0.125 | 0.95 (−0.17 to 2.06) | ||
| MDF: 10.55 (2.35) | CDF vs. MDF | −1.0 (−4.5 to 2.6) | 1.000 | −0.47 (−1.58 to 0.63) | ||
| wMaxSp (km·h−1) | LDW: 20.58 (1.99) | LDW vs. CDF | 0.8 (−2.2 to 3.8) | 1.000 | 0.31 (−0.71 to 1.33) | 11.03 |
| CDF: 19.77 (2.90) | LDW vs. MDF | 1.8 (−2.2 to 4.1) | 0.458 | 0.96 (−0.16 to 2.08) | ||
| MDF: 18.83 (1.15) | CDF vs. MDF | 0.9 (−2.2 to 4.1) | 1.000 | 0.38 (−0.72 to 1.49) | ||
| wSTD/wTD | LDW: 0.092 (0.010) | LDW vs. CDF | 0.005 (0.001 to 0.009) | 0.017 | 1.76 (0.57 to 2.95) | 31.92 |
| CDF: 0.076 (0.008) | LDW vs. MDF | 0.006 (0.001 to 0.010) | 0.046 | 1.79 (0.54 to 3.04) | ||
| MDF: 0.077 (0.012) | CDF vs. MDF | 0.001 (−0.004 to 0.005) | 1.000 | 0.18 (−0.92 to 1.27) | ||
| wHSRd/wTD | LDW: 0.016 (0.003) | LDW vs. CDF | 0.016 (0.003 to 0.030) | 0.014 | 1.61 (0.44 to 2.78) | 14.82 |
| CDF: 0.011 (0.003) | LDW vs. MDF | 0.014 (0.000 to 0.029) | 0.008 | 1.21 (0.06 to 2.36) | ||
| MDF: 0.013 (0.004) | CDF vs. MDF | −0.002 (−0.016 to 0.013) | 1.000 | −0.16 (−1.25 to 0.93) |
Publisher’s Note: MDPI stays neutral with regard to jurisdictional claims in published maps and institutional affiliations. |
© 2022 by the authors. Licensee MDPI, Basel, Switzerland. This article is an open access article distributed under the terms and conditions of the Creative Commons Attribution (CC BY) license (https://creativecommons.org/licenses/by/4.0/).
Share and Cite
Nobari, H.; Gonçalves, L.G.; Aquino, R.; Clemente, F.M.; Rezaei, M.; Carlos-Vivas, J.; Pérez-Gómez, J.; Pueo, B.; Ardigò, L.P. Wearable Inertial Measurement Unit to Measure External Load: A Full-Season Study in Professional Soccer Players. Appl. Sci. 2022, 12, 1140. https://doi.org/10.3390/app12031140
Nobari H, Gonçalves LG, Aquino R, Clemente FM, Rezaei M, Carlos-Vivas J, Pérez-Gómez J, Pueo B, Ardigò LP. Wearable Inertial Measurement Unit to Measure External Load: A Full-Season Study in Professional Soccer Players. Applied Sciences. 2022; 12(3):1140. https://doi.org/10.3390/app12031140
Chicago/Turabian StyleNobari, Hadi, Luiz G. Gonçalves, Rodrigo Aquino, Filipe Manuel Clemente, Manuchehr Rezaei, Jorge Carlos-Vivas, Jorge Pérez-Gómez, Basilio Pueo, and Luca Paolo Ardigò. 2022. "Wearable Inertial Measurement Unit to Measure External Load: A Full-Season Study in Professional Soccer Players" Applied Sciences 12, no. 3: 1140. https://doi.org/10.3390/app12031140
APA StyleNobari, H., Gonçalves, L. G., Aquino, R., Clemente, F. M., Rezaei, M., Carlos-Vivas, J., Pérez-Gómez, J., Pueo, B., & Ardigò, L. P. (2022). Wearable Inertial Measurement Unit to Measure External Load: A Full-Season Study in Professional Soccer Players. Applied Sciences, 12(3), 1140. https://doi.org/10.3390/app12031140

