Numerical Simulations of Sudden Oil Spills in Typical Cross-Border Rivers in the Yangtze River Delta Region
Abstract
1. Introduction
2. Materials and Methods
2.1. Study Area
2.2. Oil Spill Behavior and Calculation Principles
2.2.1. Transfer Process
2.2.2. Weathering Process
- (i)
- Formation Process of Oil-In-Water Emulsions
- (ii)
- Formation Process of Water-In-Oil Emulsions
- (iii)
- Dissolution
2.2.3. Heat Migration
2.3. Oil Spill Model Establishment
3. Results
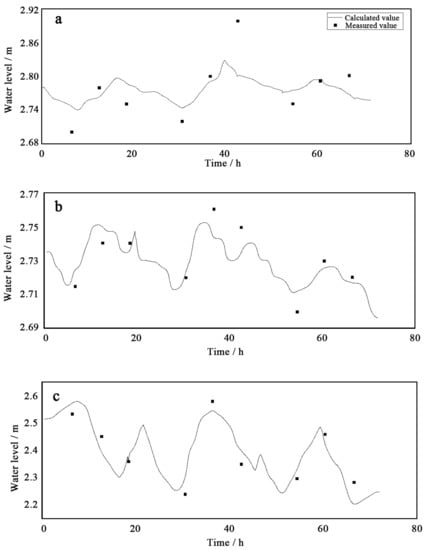
3.1. Comparison of Calculated and Measured Water Level Values
3.2. Oil Spill Accident Calculation and Analysis
4. Discussions
5. Conclusions
- (1)
- For the two-dimensional hydrodynamic model of the Taipu River, the measured data of three sections in March were selected to verify the water level of the model. The relative error of the simulation results was less than 0.25, which was within the acceptable range. It shows that the model is feasible to simulate the two-dimensional hydrodynamic dynamics of the typical reaches of the Yangtze River, and the model can be used to simulate the oil spill accident in the Taipu River area.
- (2)
- Through the simulation of the oil spill accident at Zhaojiabang in the upper reaches of the Taipu River, the results show that the evaporation rate and water content of the oil spill are close to the results of other scholars. The decreasing rate of oil film thickness gradually decreases with time, and the maximum thickness of oil film decreases from 1.94 mm to 0.48 mm.
- (3)
- The established oil spill model can better simulate the migration and transformation processes such as oil film expansion, oil particle transport with the flow, wind conduction drift, weathering, and emulsification after oil spill. The establishment of this model can reduce the blindness of the emergency treatment of oil spill accidents, and is of great significance to the establishment of risk assessment and decision management systems for oil spill accidents in the Taipu River.
Author Contributions
Funding
Institutional Review Board Statement
Informed Consent Statement
Data Availability Statement
Conflicts of Interest
References
- Luo, Q.; Zhou, J.; Li, Z.; Yu, B. Spatial Differences of Ecosystem Services and Their Driving Factors: A Comparation Analysis Among Three Urban Agglomerations in China’s Yangtze River Economic Belt. Sci. Total. Environ. 2020, 725, 138452. [Google Scholar] [CrossRef] [PubMed]
- Miao, L.; Sun, Y. Quantitative Analysis of Regional Economic Balance and Sustainable Development in Yangtze River Delta and Pearl River Delta. J. Coast. Res. 2020, 115, 570–574. [Google Scholar] [CrossRef]
- Guo, S.; Han, M.; Yang, Y.; Di, H. Embodied Energy Flows in China’s Economic Zones: Jing-Jin-Ji, Yangtze-River-Delta and Pearl-River-Delta. J. Clean. Prod. 2020, 268, 121710. [Google Scholar] [CrossRef]
- Chen, J.; Zhang, W.; Wan, Z.; Li, S.; Huang, T.; Fei, Y. Oil Spills from Global Tankers: Status Review and Future Governance. J. Clean. Prod. 2019, 227, 20–32. [Google Scholar] [CrossRef]
- Kvocka, D.; Zagar, D.; Banovec, P. A Review of River Oil Spill Modeling. Water 2021, 13, 162012. [Google Scholar] [CrossRef]
- Li, F.; Wang, Y.; Mao, L.; Tao, H.; Chen, M. Molybdenum Background and Pollution Levels in The Taipu River, China. Environ. Chem. Lett. 2022, 20, 1009–1015. [Google Scholar] [CrossRef]
- Yao, Q.; Chen, L.; Mao, L.; Ma, Y.; Tian, F.; Wang, R.; Meng, X.-Z.; Li, F. Co-Effects of Hydrological Conditions and Industrial Activities on the Distribution of Heavy Metal Pollution in Taipu River, China. Int. J. Environ. Res. Public Health 2022, 19, 1011616. [Google Scholar] [CrossRef]
- Yao, H.; Qian, X.; Yin, H.; Gao, H.; Wang, Y. Regional Risk Assessment for Point Source Pollution Based on a Water Quality Model of the Taipu River, China. Risk. Anal. 2015, 35, 265–277. [Google Scholar] [CrossRef]
- Yao, H.; Qian, X.; Gao, H.; Wang, Y.; Xia, B. Seasonal and Spatial Variations of Heavy Metals in Two Typical Chinese Rivers: Concentrations, Environmental Risks, and Possible Sources. Int. J. Environ. Res. Public Health 2014, 11, 11860–11878. [Google Scholar] [CrossRef]
- Spaulding, M.; Li, Z.; Mendelsohn, D.; Crowley, D.; French-McCay, D.; Bird, A. Application of an Integrated Blowout Model System, OILMAP DEEP, to the Deepwater Horizon (DWH) Spill. Mar. Pollut. Bull. 2017, 120, 37–50. [Google Scholar] [CrossRef]
- Barreto, F.T.; Dammann, D.O.; Tessarolo, L.F.; Skancke, J.; Keghouche, I.; Innocentini, V.; Winther-Kaland, N.; Marton, L. Comparison of the Coupled Model for Oil spill Prediction (CMOP) and the Oil Spill Contingency and Response model (OSCAR) during the DeepSpill field experiment. Ocean Coast. Manag. 2021, 204, 105552. [Google Scholar] [CrossRef]
- Xu, H.-L.; Chen, J.-N.; Wang, S.-D.; Liu, Y. Oil Spill Forecast Model Based on Uncertainty Analysis: A Case Study of Dalian Oil Spill. Ocean Eng. 2012, 54, 206–212. [Google Scholar] [CrossRef]
- Li, X.; Huang, M.; Wang, R. Numerical Simulation of Donghu Lake Hydrodynamics and Water Quality Based on Remote Sensing and MIKE 21. ISPRS Int. J. Geo-Inf. 2020, 9, 942. [Google Scholar] [CrossRef]
- Jang, D. Analysis of the Water Quality Improvement in Urban Stream Using MIKE 21 FM. Appl. Sci. 2021, 11, 889019. [Google Scholar] [CrossRef]
- Zhang, K.; Li, Q.; Zhang, J.; Shi, H.; Yu, J.; Guo, X.; Du, Y. Simulation and Analysis of Back Siltation in a Navigation Channel Using MIKE 21. J. Ocean Univ. China 2022, 21, 893–902. [Google Scholar] [CrossRef]
- Song, H.; Song, J.; Ren, P. Underwater Pipeline Oil Spill Detection Based on Structure of Root and Branch Cells. J. Mar. Sci. Eng. 2020, 8, 101612. [Google Scholar] [CrossRef]
- Kasimu, A.; Wu, D.; Bian, Y. System Dynamic-Based Oil Weathering Processes: Simulation and Analysis. IEEE Syst. J. 2020, 14, 1375–1383. [Google Scholar] [CrossRef]
- Leifer, I.; Lehr, W.J.; Simecek-Beatty, D.; Bradley, E.; Clark, R.; Dennison, P.; Hu, Y.; Matheson, S.; Jones, C.E.; Holt, B.; et al. State of the Art Satellite and Airborne Marine Oil Spill Remote Sensing: Application to the BP Deepwater Horizon Oil Spill. Remote. Sens. Environ. 2012, 124, 185–209. [Google Scholar] [CrossRef]
- Snyder, K.; Mladenov, N.; Richardot, W.; Dodder, N.; Nour, A.; Campbell, C.; Hoh, E. Persistence and Photochemical Transformation of Water Soluble Constituents from Industrial Crude Oil And Natural Seep Oil in Seawater. Mar. Pollut. Bull. 2021, 165, 112049. [Google Scholar] [CrossRef]
- Arsava, K.; Raghavan, V.; Rangwala, A. Enhanced Oil Spill Clean-Up Using Immersed Thermally Conductive Objects. Fire Technol. 2018, 54, 1745–1758. [Google Scholar] [CrossRef]
- Qiao, F.; Wang, G.; Yin, L.; Zeng, K.; Zhang, Y.; Zhang, M.; Xiao, B.; Jiang, S.; Chen, H.; Chen, G. Modelling oil trajectories and potentially contaminated areas from the Sanchi oil spill. Sci. Total Environ. 2019, 685, 856–866. [Google Scholar] [CrossRef] [PubMed]
- Guo, W.; Zhang, S.; Wu, G. Quantitative oil spill risk from offshore fields in the Bohai Sea, China. Sci. Total Environ. 2019, 688, 494–504. [Google Scholar] [CrossRef] [PubMed]
- Keramea, P.; Spanoudaki, K.; Zodiatis, G.; Gikas, G.; Sylaios, G. Oil Spill Modeling: A Critical Review on Current Trends, Perspectives, and Challenges. J. Mar. Sci. Eng. 2021, 9, 181. [Google Scholar] [CrossRef]
- Amir-Heidari, P.; Arneborg, L.; Lindgren, J.F.; Lindhe, A.; Rosén, L.; Raie, M.; Axell, L.; Hassellöv, I.-M. A state-of-the-art model for spatial and stochastic oil spill risk assessment: A case study of oil spill from a shipwreck. Environ. Int. 2019, 126, 309–320. [Google Scholar] [CrossRef] [PubMed]







| Accident Parameter | Design Information Record |
|---|---|
| Spill location | Zhaojiabang in the upper reaches of the Taipu River |
| Leakage time | 30 min |
| Oil type | Light diesel oil |
| Quantity of oil spill | 30 t |
| Calculation step length | 15 s |
Publisher’s Note: MDPI stays neutral with regard to jurisdictional claims in published maps and institutional affiliations. |
© 2022 by the authors. Licensee MDPI, Basel, Switzerland. This article is an open access article distributed under the terms and conditions of the Creative Commons Attribution (CC BY) license (https://creativecommons.org/licenses/by/4.0/).
Share and Cite
He, F.; Lai, Q.; Ma, J.; Wei, G.; Li, W. Numerical Simulations of Sudden Oil Spills in Typical Cross-Border Rivers in the Yangtze River Delta Region. Appl. Sci. 2022, 12, 13029. https://doi.org/10.3390/app122413029
He F, Lai Q, Ma J, Wei G, Li W. Numerical Simulations of Sudden Oil Spills in Typical Cross-Border Rivers in the Yangtze River Delta Region. Applied Sciences. 2022; 12(24):13029. https://doi.org/10.3390/app122413029
Chicago/Turabian StyleHe, Fei, Qiuying Lai, Jie Ma, Geng Wei, and Weixin Li. 2022. "Numerical Simulations of Sudden Oil Spills in Typical Cross-Border Rivers in the Yangtze River Delta Region" Applied Sciences 12, no. 24: 13029. https://doi.org/10.3390/app122413029
APA StyleHe, F., Lai, Q., Ma, J., Wei, G., & Li, W. (2022). Numerical Simulations of Sudden Oil Spills in Typical Cross-Border Rivers in the Yangtze River Delta Region. Applied Sciences, 12(24), 13029. https://doi.org/10.3390/app122413029

