Dynamic Heat Transfer Calculation for Ground-Coupled Floor in Emergency Temporary Housing
Featured Application
Abstract
1. Introduction
2. Solving the Heat Transfer Equation
2.1. Heat Transfer Equation
2.1.1. Temperature Boundaries
2.1.2. Governing Equation
2.2. Superposition Principle
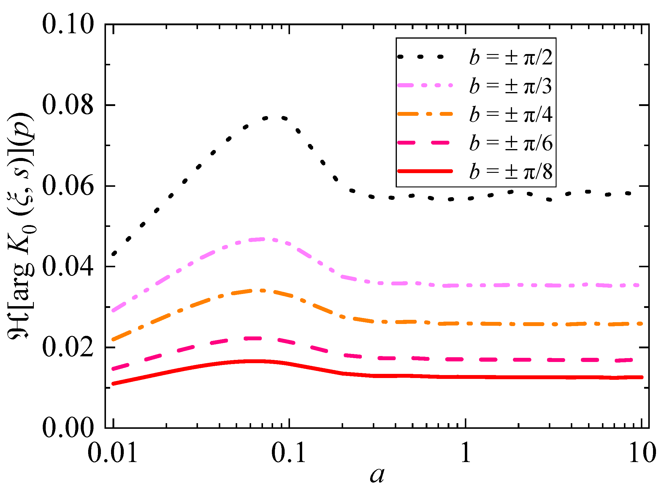
2.3. Solution of Mixed Boundary Problem
2.4. Heat Fluxes Calculation
3. Numerical Evaluation and Validation
3.1. Numerical Evaluation of the Solution
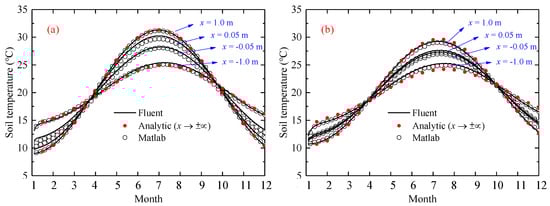
3.2. Validation
3.2.1. Temperature Boundaries
3.2.2. Comparison with Fluent Simulated Results
4. Results and Discussion
4.1. Differences with Long-Time Solutions
4.2. Effects of Soil Heat Conductivity
4.3. Effects of Floor Insulation
5. Conclusions
Author Contributions
Funding
Institutional Review Board Statement
Informed Consent Statement
Conflicts of Interest
Nomenclature
| cp | specific heat capacity, J/(kg·K) |
| T | temperature, °C |
| t | time, s |
| t* | t* = t/α |
| L | half-length of floor, m |
| l | thickness of floor insulation, m |
| h | convective heat transfer coefficient, W/(m2·K) |
| h* | h* = λ/h |
| I | solar radiation intensity, W/m2 |
| j | j2 = −1 |
| R | heat resistance of insulation, m2·K/W |
| X | length of outdoor ground, m |
| x | horizontal coordinate, m |
| Z | depth of the soil, m |
| z | vertical coordinate, m |
| Greek symbols | |
| α | heat diffusion coefficient, m2/s |
| γ | surface absorptivity |
| θ | temperature, °C |
| λ | heat conductivity, W/(m·K) |
| ρ | density, kg/m3 |
| τ | time, s |
| ω | angular frequency, rad/s |
| Subscripts | |
| a | air |
| e | equivalent |
| i | indoor |
| m | mean |
| n | numbering |
| o | outdoor |
| s | surface |
References
- Chen, D. Dynamic three-dimensional heat transfer calculation for uninsulated slab-on-ground constructions. Energy Build. 2013, 60, 420–428. [Google Scholar] [CrossRef]
- Neymark, J.; Judkoff, R.; Beausoleil-Morrison, I.; Ben-Nakhi, A.; Crowley, M.; Deru, M.; Henninger, R.; Ribberink, H.; Thornton, J.; Wijsman, A.; et al. International Energy Agency Building Energy Simulation Test and Diagnostic Method (IEA BESTEST): In-Depth Diagnostic Cases for Ground Coupled Heat Transfer Related to Slab-on-Grade Construction; NREL/TP-550-43388; National Renewable Energy Laboratory: Golden, CO, USA, 2008. [CrossRef]
- Zoras, S. A Review of Building Earth-Contact Heat Transfer. Adv. Build. Energy Res. 2009, 3, 289–313. [Google Scholar] [CrossRef]
- Ren, Z.; Motlagh, O.; Chen, D. A correlation-based model for building ground-coupled heat loss calculation using Artificial Neural Network techniques. J. Build. Perform. Simul. 2020, 13, 48–58. [Google Scholar] [CrossRef]
- ASHRAE. Handbook, Fundamentals; American Society of Heating, Refrigerating and Air-Conditioning Engineers, Inc.: Peachtree Corners, GA, USA, 2009. [Google Scholar]
- ISO 13370:2017; Thermal Performance of Buildings—Heat Transfer via The Ground—Calculation Methods. International Organization for Standardization: Geneva, Switzerland, 2017.
- Andolsun, S.; Culp, C.H.; Haberl, J.S.; Witte, M.J. EnergyPlus vs. DOE-2.1e: The effect of ground coupling on cooling/heating energy requirements of slab-on-grade code houses in four climates of the US. Energy Build. 2012, 52, 189–206. [Google Scholar] [CrossRef]
- Delsante, A.; Stokes, A.; Walsh, P. Application of Fourier transforms to periodic heat flow into the ground under a building. Int. J. Heat Mass Transf. 1983, 26, 121–132. [Google Scholar] [CrossRef]
- Delsante, A. Theoretical calculations of the steady-state heat losses through a slab-on-ground floor. Build. Environ. 1988, 23, 11–17. [Google Scholar] [CrossRef]
- Davies, M. Heat loss from a solid ground floor. Build. Environ. 1993, 28, 347–359. [Google Scholar] [CrossRef]
- Richards, P.; Mathews, E. A thermal design tool for buildings in ground contact. Build. Environ. 1994, 29, 73–82. [Google Scholar] [CrossRef]
- Bahnfleth, W.P. Three Dimensional Modeling of Heat Transfer from Slab Floors. Ph.D. Thesis, University of Illinois, Urbana, IL, USA, 1989. [Google Scholar]
- Stephson, D.G.; Mitalas, G.P. Cooling load calculations by thermal response factor method. ASHRAE Trans. Part 1 1967, 73, III.2.1.–III.2.10. [Google Scholar]
- Stephson, D.G.; Mitalas, G.P. Calculation of heat conduction transfer functions for multi-layer slabs. ASHRAE Trans. Part II 1971, 77, 117–126. [Google Scholar]
- Ceylan, H.T.; Myers, G.E. Long-Time Solutions to Heat-Conduction Transients with Time-Dependent Inputs. J. Heat Transf. 1980, 102, 115–120. [Google Scholar] [CrossRef]
- Zhong, Z.; Braun, J.E. A simple method for estimating transient heat transfer in slab-on-ground floors. Build. Environ. 2007, 42, 1071–1080. [Google Scholar] [CrossRef]
- Baladés, J.D.M.; Maestre, I.R.; Gómez, P.; Blázquez, J.L.F. Applicability of One-Dimensional Transient Solutions for Ground-Coupled Heat Transfer in Buildings. Appl. Mech. Mater. 2013, 361, 386–390. [Google Scholar] [CrossRef]
- Manoochehry, S.; Hoseinzadeh, E.; Taha, P.; Rasouli, H.R.; Hoseinzadeh, S. Field Hospital in Disasters: A Systematic Review. Trauma Mon. 2019, 24, 9. [Google Scholar] [CrossRef]
- Wang, Y.; Wang, L.; Long, E.; Deng, S. An experimental study on the indoor thermal environment in prefabricated houses in the subtropics. Energy Build. 2016, 127, 529–539. [Google Scholar] [CrossRef]
- Thapa, R.; Rijal, H.B.; Shukuya, M. Field study on acceptable indoor temperature in temporary shelters built in Nepal after massive earthquake 2015. Build. Environ. 2018, 135, 330–343. [Google Scholar] [CrossRef]
- Poschl, R. Modelling the Thermal Comfort Performance of Tents Used In Humanitarian Relief. Ph.D. Thesis, Loughborough University, Loughborough, UK, 2017. [Google Scholar]
- Yan, S.-R.; Fazilati, M.A.; Samani, N.; Ghasemi, H.R.; Toghraie, D.; Nguyen, Q.; Karimipour, A. Energy efficiency optimization of the waste heat recovery system with embedded phase change materials in greenhouses: A thermo-economic-environmental study. J. Energy Storage 2020, 30, 101445. [Google Scholar] [CrossRef]
- Lachenbruch, A.H. Three-Dimensional Heat Conduction in Permafrost Beneath Heated Buildings; U.S. Government Printing Office: Washington, DC, USA, 1957. [CrossRef]
- Cornaro, C.; Sapori, D.; Bucci, F.; Pierro, M.; Giammanco, C. Thermal performance analysis of an emergency shelter using dynamic building simulation. Energy Build. 2015, 88, 122–134. [Google Scholar] [CrossRef]
- Crawford, C.; Manfield, P.; McRobie, A. Assessing the thermal performance of an emergency shelter system. Energy Build. 2005, 37, 471–483. [Google Scholar] [CrossRef]
- Obyn, S.; van Moeseke, G.; Virgo, V. Thermal performance of shelter modelling: Improvement of temporary structures. Energy Build. 2015, 89, 170–182. [Google Scholar] [CrossRef]
- Wang, C.; Deng, S.; Niu, J.; Long, E. A numerical study on optimizing the designs of applying PCMs to a disaster-relief prefabricated temporary-house (PTH) to improve its summer daytime indoor thermal environment. Energy 2019, 181, 239–249. [Google Scholar] [CrossRef]
- Liu, F.; Yan, L.; Meng, X.; Zhang, C. A review on indoor green plants employed to improve indoor environment. J. Build. Eng. 2022, 53, 104542. [Google Scholar] [CrossRef]
- Gorbushin, N.; Nguyen, V.-H.; Parnell, W.J.; Assier, R.C.; Naili, S. Transient thermal boundary value problems in the half-space with mixed convective boundary conditions. J. Eng. Math. 2019, 114, 141–158. [Google Scholar] [CrossRef]
- Adjali, M.; Davies, M.; Rees, S.; Littler, J. Temperatures in and under a slab-on-ground floor: Two- and three-dimensional numerical simulations and comparison with experimental data. Build. Environ. 2000, 35, 655–662. [Google Scholar] [CrossRef]
- Badache, M.; Eslami-Nejad, P.; Ouzzane, M.; Aidoun, Z.; Lamarche, L. A new modeling approach for improved ground temperature profile determination. Renew. Energy 2016, 85, 436–444. [Google Scholar] [CrossRef]
- Parnell, W.J.; Nguyen, V.-H.; Assier, R.; Naili, S.; Abrahams, I.D. Transient Thermal Mixed Boundary Value Problems in the Half-Space. SIAM J. Appl. Math. 2016, 76, 845–866. [Google Scholar] [CrossRef]
- MathWorks. Available online: https://ww2.mathworks.cn/help/signal/ref/hilbert.html?s_tid=srchtitle#d120e72684 (accessed on 30 October 2022).
- Schanz, M.; Antes, H. Application of ‘Operational Quadrature Methods’ in Time Domain Boundary Element Methods. Meccanica 1997, 32, 179–186. [Google Scholar] [CrossRef]
- EnergyPlus. Available online: https://www.energyplus.net/weather-location/asia_wmo_region_2/CHN/CHN_Sichuan.Chengdu.562940_CSWD (accessed on 30 October 2022).
- GB 50176-2016; Code for Thermal Design of Civil Building. China Architecture & Building Press: Beijing, China, 2016.
- Carslaw, H.S.; Jaeger, J.C. Conduction of Heat in Solids; Clarendon Press: Oxford, UK, 1959; Chapter 14.2; p. 350. [Google Scholar]
- Hagentoft, C.E. Heat Loss to The Ground from a Building: Slab on The Ground and Cellar; Report TVBH-1004; Lund Institute of Technology: Lund, Sweden, 1988. [Google Scholar]
- Luo, C.; Moghtaderi, B.; Page, A. Effect of ground boundary and initial conditions on the thermal performance of buildings. Appl. Therm. Eng. 2010, 30, 2602–2609. [Google Scholar] [CrossRef]
- Kusuda, T.; Mizuno, M.; Bean, J.W. Seasonal Heat Loss Calculation for Slab-On-Grade Floors; NBSIR 81-2420; National Bureau of Standards, Center for Building Technology, Building Physics Division: Washington, DC, USA, 1982.












| Parameters | Units | Value | Parameters | Units | Value |
|---|---|---|---|---|---|
| Soil heat conductivity (λ) | W/(m·K) | 2 | Ground surface absorptivity (γ) | - | 0.8 |
| Soil density (ρ) | kg/m3 | 1500 | Outdoor convective heat transfer coefficient (hₒ) | W/(m2·K) | 23 |
| Soil specific heat (cp) | J/(kg·K) | 1350 | Indoor convective heat transfer coefficient (hᵢ) | W/(m2·K) | 8.7 |
Publisher’s Note: MDPI stays neutral with regard to jurisdictional claims in published maps and institutional affiliations. |
© 2022 by the authors. Licensee MDPI, Basel, Switzerland. This article is an open access article distributed under the terms and conditions of the Creative Commons Attribution (CC BY) license (https://creativecommons.org/licenses/by/4.0/).
Share and Cite
Ding, P.; Li, J.; Xiang, M.; Cheng, Z.; Long, E. Dynamic Heat Transfer Calculation for Ground-Coupled Floor in Emergency Temporary Housing. Appl. Sci. 2022, 12, 11844. https://doi.org/10.3390/app122211844
Ding P, Li J, Xiang M, Cheng Z, Long E. Dynamic Heat Transfer Calculation for Ground-Coupled Floor in Emergency Temporary Housing. Applied Sciences. 2022; 12(22):11844. https://doi.org/10.3390/app122211844
Chicago/Turabian StyleDing, Pei, Jin Li, Mingli Xiang, Zhu Cheng, and Enshen Long. 2022. "Dynamic Heat Transfer Calculation for Ground-Coupled Floor in Emergency Temporary Housing" Applied Sciences 12, no. 22: 11844. https://doi.org/10.3390/app122211844
APA StyleDing, P., Li, J., Xiang, M., Cheng, Z., & Long, E. (2022). Dynamic Heat Transfer Calculation for Ground-Coupled Floor in Emergency Temporary Housing. Applied Sciences, 12(22), 11844. https://doi.org/10.3390/app122211844

