Improved MUSIC Method against Range Dimension Deceptive Jamming Based on FDA-MIMO
Abstract
1. Introduction
- (1)
 - The FDA-MIMO deceptive jamming method in the range dimension is analyzed, and an accurate understanding of its interference model is presented.
 - (2)
 - An improved MUSIC method against deceptive jamming in the range dimension is proposed.
 - (3)
 - A flow chart against deceptive jamming in the range dimension of the FDA-MIMO regime is proposed.
 
2. The FDA-MIMO Signal Model
3. Model and Method of Range Dimension Deceptive Jamming
3.1. Deceptive Jamming Model for FDA-MIMO
3.2. Range Dimension Deceptive Jamming Method
4. Improved MUSIC Method against Range Dimension Deceptive Jamming
- (1)
 - Perform maximum likelihood estimation according to the received signal vectors to obtain the covariance matrix estimate ;
 - (2)
 - The covariance matrix is decomposed into eigenvalues, and then the number of sources is determined according to the eigenvalues;
 - (3)
 - Sort the eigenvalues according to the size of eigenvalues, and the noise subspace part and the signal subspace part are obtained;
 - (4)
 - The spectral function is calculated according to the formula
 
5. Simulation and Analysis
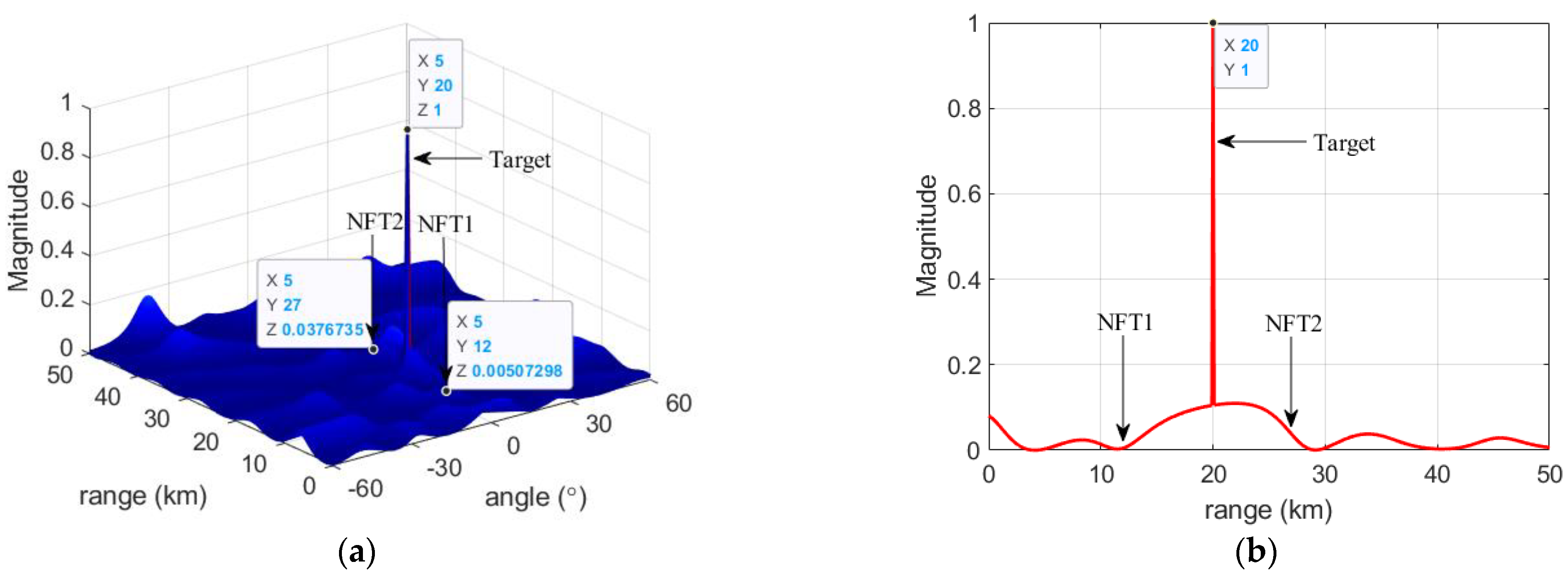
5.1. False Target Deceptive Jamming
5.2. Improve MUSIC Method against Range Dimension Deceptive Jamming
5.3. Performance Analysis
6. Conclusions
Author Contributions
Funding
Institutional Review Board Statement
Informed Consent Statement
Data Availability Statement
Conflicts of Interest
References
- Stoica, P. MUSIC, Maximum Likelihood, and Cramer-Rao Bound. IEEE Trans. Acoust. Speech Signal Process. 1989, 37, 720–741. [Google Scholar] [CrossRef]
 - Liu, F.; Wang, X.; Huang, M.; Wan, L. Joint angle and range estimation for bistatic FDA-MIMO radar via real-valued subspace decomposition. Signal Process. 2021, 185, 108065. [Google Scholar] [CrossRef]
 - Yang, X.; Zhang, Z.; Zeng, T.; Long, T.; Sarkar, T. Mainlobe Interference Suppression Based on Eigen-Projection Processing and Covariance Matrix Reconstruction. IEEE Antennas Wirel. Propag. Lett. 2014, 13, 1369–1372. [Google Scholar] [CrossRef]
 - Feng, Y.; Liao, G.; Xu, J.; Zhu, S.; Zeng, C. Robust adaptive beamforming against large steering vector mismatch using multiple uncertainty sets. Signal Process. 2018, 152, 320–330. [Google Scholar] [CrossRef]
 - Lan, L.; Xu, J.; Zhu, S.; Liao, G.; Zhang, Y. Advances in anti-jamming using waveform diverse array radar. Syst. Eng. Electron. 2021, 43, 1437–1451. [Google Scholar]
 - Lan, L.; Liao, G.; Xu, J.; Zhang, Y. Main-beam range deceptive jamming suppression approach with FDA-MIMO radar. Syst. Eng. Electron. 2018, 40, 997–1003. [Google Scholar]
 - Antonik, P.; Wicks, M.C.; Griffiths, H.D.; Baker, C.J. Frequency diverse array radars. In Proceedings of the 2006 IEEE Conference on Radar, Verona, NY, USA, 24–27 April 2006; pp. 215–217. [Google Scholar]
 - Wicks, M.C.; Antonik, P. Frequency Diverse Array with Independent Modulation of Frequency, Amplitude, and Phase. U.S. Patent US11312805, January 2008. [Google Scholar]
 - Wang, W. Range-Angle Dependent Transmit Beampattern Synthesis for Linear Frequency Diverse Arrays. IEEE Trans. Antennas Propag. 2013, 61, 4073–4081. [Google Scholar] [CrossRef]
 - Xu, J.; Zhu, S.; Liao, G.; Zhang, Y. An Overview of Frequency Diverse Array Radar Technology. J. Radars 2018, 7, 167–182. [Google Scholar]
 - Sammartino, P.F.; Baker, C.J.; Griffiths, H.D. Frequency diverse MIMO techniques for radar. IEEE Trans. Aerosp. Electron. Syst. 2013, 49, 201–222. [Google Scholar] [CrossRef]
 - Xu, J.; Liao, G.; Zhu, S.; Huang, L.; So, H.C. Joint Range and Angle Estimation Using MIMO Radar with Frequency Diverse Array. IEEE Trans. Signal Process. 2015, 63, 3396–3410. [Google Scholar] [CrossRef]
 - Wan, P.; Weng, Y.; Xu, J.; Liao, G. Range Gate Pull-Off Mainlobe Jamming Suppression Approach with FDA-MIMO Radar: Theoretical Formalism and Numerical Study. Remote Sens. 2022, 14, 1499. [Google Scholar] [CrossRef]
 - Huang, L.; Zong, Z.; Zhang, S.; Wang, W. 2-D Moving Target Deception against Multichannel SAR-GMTI Using Frequency Diverse Array. IEEE Geosci. Remote Sens. Lett. 2022, 19, 1–5. [Google Scholar] [CrossRef]
 - Liu, W.; Liu, J.; Hao, C.; Gao, Y.; Wang, Y. Multichannel adaptive signal detection: Basic theory and literature review. Sci. China Inf. Sci. 2022, 65, 5–44. [Google Scholar] [CrossRef]
 - Chen, H.; Liu, Y.; Lv, M.; Zhang, X.; Xia, B.; Xie, D. Networked FDA-MIMO radar positioning to suppress dense false target jamming. J. Phys. Conf. Ser. 2021, 1920, 012061. [Google Scholar] [CrossRef]
 - Ding, Z.; Xie, J.; Wang, B.; Zhang, H. Robust Adaptive Null Broadening Method Based on FDA-MIMO Radar. IEEE Access. 2020, 8, 177976–177983. [Google Scholar] [CrossRef]
 - Zhou, C.; Wang, C.; Gong, J.; Tan, M.; Zhao, Y.; Liu, M. FDA-MIMO Beampattern Synthesis with an Analytical Method. Int. J. Aerosp. Eng. 2021, 2021, 9051131. [Google Scholar] [CrossRef]
 - Xu, J.; Liao, G.; Zhu, S.; So, H.C. Deceptive jamming suppression with frequency diverse MIMO radar. Signal Process. 2015, 113, 9–17. [Google Scholar] [CrossRef]
 - Xu, J.; Xu, Y.; Liao, G. Direct data domain based adaptive beamforming for FDA-MIMO radar. In Proceedings of the 2016 IEEE Statistical Signal Processing Workshop (SSP), Palma de Mallorca, Spain, 1–5 June 2016. [Google Scholar]
 - Shi, J.; Liu, X.; Yang, Y.; Sun, S.; Wang, N. Comments on “Deceptive jamming suppression with frequency diverse MIMO radar”. Signal Process. 2019, 158, 1–3. [Google Scholar] [CrossRef]
 - Tan, M.; Wang, C.; Xue, B.; Xu, J. A Novel Deceptive Jamming Approach against Frequency Diverse Array Radar. IEEE Sens. J. 2021, 21, 8323–8332. [Google Scholar] [CrossRef]
 - Zhao, Y.; Tian, B.; Wang, C.; Gong, J.; Tan, M.; Zhou, C. Research on main-lobe deceptive jamming against FDA-MIMO radar. IET Radar Sonar Navig. 2021, 15, 641–654. [Google Scholar] [CrossRef]
 - Chen, Y.; Tian, B.; Wang, C.; Gong, J.; Zhao, Y. Research on the Compound Jamming Method against FDA-MIMO Beamforming. Appl. Sci. 2022, 12, 9448. [Google Scholar] [CrossRef]
 - Wang, W. Subarray-based frequency diverse array radar for target range-angle estimation. IEEE Trans. Aerosp. Electron. Syst. 2014, 50, 3057–3067. [Google Scholar] [CrossRef]
 - Tang, W.; Jiang, H.; Zhang, Q. Range-Angle Decoupling and Estimation for FDA-MIMO Radar via Atomic Norm Minimization and Accelerated Proximal Gradient. IEEE Signal Process. Lett. 2020, 27, 366–370. [Google Scholar] [CrossRef]
 - Antonello, F.; Gianfranco, A.; Giuseppe, C. Multiple Source Angle of Arrival Estimation through Phase Interferometry. IEEE Trans. Circuits Syst. II Express Briefs 2022, 69, 674–678. [Google Scholar]
 - Tang, S.; Zhang, L.; Liu, N.; Zhang, J.; Zhao, S. Adaptive detection with conic rejection to suppress deceptive jamming for frequency diverse MIMO radar. Digital Signal Process. 2017, 69, 32–40. [Google Scholar]
 - Xu, J.W.; Kang, J.L.; Liao, G.S.; So, H.C. Mainlobe Deceptive Jammer Suppression with FDA-MIMO Radar. In Proceedings of the IEEE 10th Sensor Array and Multichannel Signal Processing Workshop (SAM), Sheffield, UK, 8–11 July 2018; pp. 504–508. [Google Scholar]
 - Lan, L.; Liao, G.; Xu, J.; Zhang, Y.; Fioranelli, F. Suppression Approach to Main-Beam Deceptive Jamming in FDA-MIMO Radar Using Nonhomogeneous Sample Detection. IEEE Access. 2018, 6, 34582–34597. [Google Scholar] [CrossRef]
 - Liu, Q.; Xu, J.; Ding, Z. Target Localization with Jammer Removal Using Frequency Diverse Array. IEEE Trans. Veh. Technol. 2020, 69, 11685–11696. [Google Scholar] [CrossRef]
 - Wang, Y.; Zhu, S. Main-Beam Range Deceptive Jamming Suppression with Simulated Annealing FDA-MIMO Radar. IEEE Sens. J. 2020, 20, 9056–9070. [Google Scholar] [CrossRef]
 - Lan, L.; Xu, J.; Liao, G.; Zhang, Y.; Fioranelli, F.; So, H. Suppression of Mainbeam Deceptive Jammer with FDA-MIMO Radar. IEEE Trans. Veh. Technol. 2020, 69, 11584–11598. [Google Scholar] [CrossRef]
 - Liao, Y.; Tang, H.; Chen, X.; Wang, W.; Xing, M.; Zheng, Z.; Wang, J.; Liu, Q. Antenna Beampattern with Range Null Control Using Weighted Frequency Diverse Array. IEEE Access. 2020, 8, 50107–50117. [Google Scholar] [CrossRef]
 - Zhang, J.; Xue, Y.; Kang, J.; Chen, D.; Wan, Q. Robust adaptive beamforming under data dependent constraints. Signal Process. 2021, 188, 108202. [Google Scholar] [CrossRef]
 - Chen, P.; Yang, Y.; Wang, Y.; Ma, Y. Robust Adaptive Beamforming with Sensor Position Errors Using Weighted Subspace Fitting-Based Covariance Matrix Reconstruction. Sensors 2018, 18, 1476. [Google Scholar] [CrossRef] [PubMed]
 - Zhang, X.; He, Z.; Liao, B.; Zhang, X.; Peng, W. Robust quasi-adaptive beamforming against direction-of-arrival mismatch. IEEE Trans. Aerosp. Electron. Syst. 2018, 54, 1197–1207. [Google Scholar] [CrossRef]
 - Yao, D.; Zhang, X.; Hu, B.; Yang, Q.; Wu, X. Robust Adaptive Beamforming with Optimal Covariance Matrix Estimation in the Presence of Gain-Phase Errors. Sensors 2020, 20, 2930. [Google Scholar] [CrossRef] [PubMed]
 - Ge, J.; Xie, J.; Wang, B. A Cognitive Active Anti-jamming Method Based on Frequency Diverse Array Radar Phase Center. Digital Signal Process. 2021, 109, 102915. [Google Scholar] [CrossRef]
 












| Parametric | Number | Parametric | Number | 
|---|---|---|---|
| Carrier frequency | Frequency offset | ||
| Array elements | Snapshot | ||
| Pulse repetition cycle | Range bin | ||
| Target position | SNR | ||
| Target delay | JNR | ||
| EFT1 delay | EFT2 delay | ||
| NFT1 delay | NFT2 delay | 
Publisher’s Note: MDPI stays neutral with regard to jurisdictional claims in published maps and institutional affiliations.  | 
© 2022 by the authors. Licensee MDPI, Basel, Switzerland. This article is an open access article distributed under the terms and conditions of the Creative Commons Attribution (CC BY) license (https://creativecommons.org/licenses/by/4.0/).
Share and Cite
Chen, Y.; Tian, B.; Wang, C.; Gong, J.; Zhao, Y. Improved MUSIC Method against Range Dimension Deceptive Jamming Based on FDA-MIMO. Appl. Sci. 2022, 12, 11695. https://doi.org/10.3390/app122211695
Chen Y, Tian B, Wang C, Gong J, Zhao Y. Improved MUSIC Method against Range Dimension Deceptive Jamming Based on FDA-MIMO. Applied Sciences. 2022; 12(22):11695. https://doi.org/10.3390/app122211695
Chicago/Turabian StyleChen, Yang, Bo Tian, Chunyang Wang, Jian Gong, and Yingjian Zhao. 2022. "Improved MUSIC Method against Range Dimension Deceptive Jamming Based on FDA-MIMO" Applied Sciences 12, no. 22: 11695. https://doi.org/10.3390/app122211695
APA StyleChen, Y., Tian, B., Wang, C., Gong, J., & Zhao, Y. (2022). Improved MUSIC Method against Range Dimension Deceptive Jamming Based on FDA-MIMO. Applied Sciences, 12(22), 11695. https://doi.org/10.3390/app122211695
        