A Feature of Mechanics-Driven Statistical Moments of Wavelet Transform-Processed Dynamic Responses for Damage Detection in Beam-Type Structures
Abstract
1. Introduction
2. Fundamentals
2.1. Continuous Wavelet Transform (CWT)
2.2. Empirical Wavelet Transform (EWT)
2.3. Dynamic Response Statistical Moment (DRSM)
3. CWT-SSSM Feature-Based Damage Index
3.1. Second-Order Strain Statistical Moments (SSSM)
3.2. Damage Index (DI)
3.3. Damage Identification Process
4. Identification of Breathing Cracks in Beams
4.1. Vibration Model of a Beam Containing Breathing Cracks
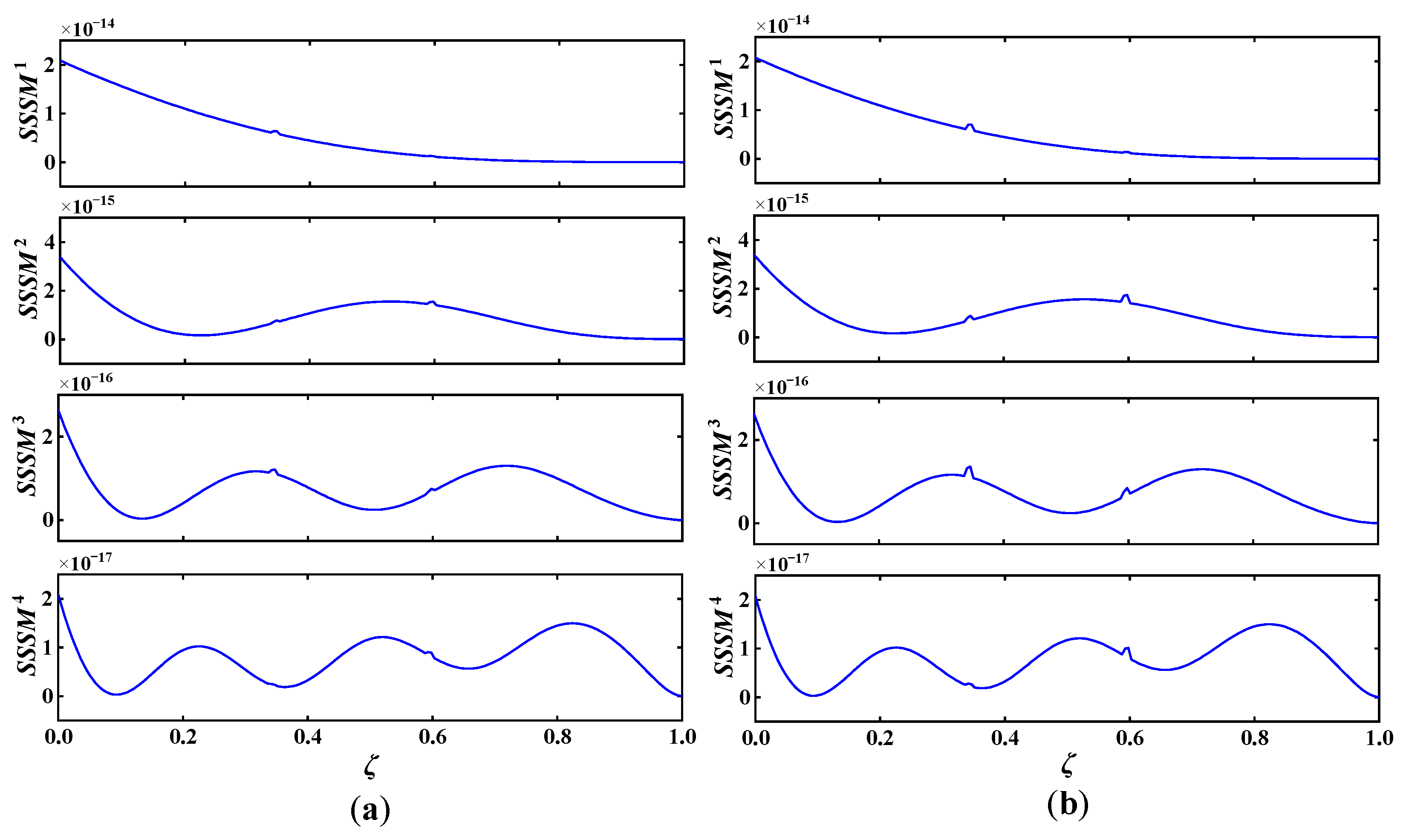
4.2. Calculation of SSSM of Different Orders
4.3. Damage Identification Results
5. Noise Robustness and Excitation Adaptability
5.1. Robustness Analysis
5.2. Excitation Adaptability Analysis
6. Conclusions
Author Contributions
Funding
Institutional Review Board Statement
Informed Consent Statement
Data Availability Statement
Conflicts of Interest
Appendix A
References
- Huang, T.X.; Schroder, K.U. Bayesian probabilistic damage characterization based on a perturbation model using responses at vibration nodes. Mech. Syst. Signal Process. 2020, 139, 106444. [Google Scholar] [CrossRef]
- Aras, F.; Akbas, T.; Eksi, H.; Ceribasi, S. Progressive Damage Analyses of Masonry Buildings by Dynamic Analyses. Int. J. Civ. Eng. 2020, 18, 903–917. [Google Scholar] [CrossRef]
- Mousavi, Z.; Varahram, S.; Ettefagh, M.M.; Sadeghi, M.H.; Razavi, S.N. Deep neural networks-based damage detection using vibration signals of finite element model and real intact state: An evaluation via a lab-scale offshore jacket structure. Struct. Health Monit. 2021, 20, 379–405. [Google Scholar] [CrossRef]
- Ding, Z.H.; Li, J.; Hao, H. Structural damage identification by sparse deep belief network using uncertain and limited data. Struct. Control Health Monit. 2020, 27, e2522. [Google Scholar] [CrossRef]
- Dilena, M.; Morassi, A. Reconstruction Method for Damage Detection in Beams Based on Natural Frequency and Antiresonant Frequency Measurements. J. Eng. Mech. 2010, 136, 329–344. [Google Scholar] [CrossRef]
- Jahangiri, M.; Najafgholipour, M.A.; Dehghan, S.M.; Hadianfard, M.A. The efficiency of a novel identification method for structural damage assessment using the first vibration mode data. J. Sound Vib. 2019, 458, 1–16. [Google Scholar] [CrossRef]
- Fraraccio, G.; Brugger, A.; Betti, R. Identification and damage detection in structures subjected to base excitation. Exp. Mech. 2008, 48, 521–528. [Google Scholar] [CrossRef]
- Ciambella, J.; Pau, A.; Vestroni, F. Modal curvature-based damage localization in weakly damaged continuous beams. Mech. Syst. Signal Process. 2019, 121, 171–182. [Google Scholar] [CrossRef]
- Dewangan, P.; Parey, A.; Hammami, A.; Chaari, F.; Haddar, M. Damage detection in wind turbine gearbox using modal strain energy. Eng. Fail. Anal. 2020, 107, 104228. [Google Scholar] [CrossRef]
- Liu, H.F.; Li, Z.G. An improved generalized flexibility matrix approach for structural damage detection. Inverse Probl. Sci. Eng. 2020, 28, 877–893. [Google Scholar] [CrossRef]
- Li, X.H.; Shi, D.Y.; Yu, Z.H. Nondestructive Damage Testing of Beam Structure Based on Vibration Response Signal Analysis. Materials 2020, 13, 3301. [Google Scholar] [CrossRef] [PubMed]
- Yanez-Borjas, J.J.; Machorro-Lopez, J.M.; Camarena-Martinez, D.; Valtierra-Rodriguez, M.; Amezquita-Sanchez, J.P.; Carrion-Viramontes, F.J.; Quintana-Rodriguez, J.A. A New Damage Index Based on Statistical Features, PCA, and Mahalanobis Distance for Detecting and Locating Cables Loss in a Cable-Stayed Bridge. Int. J. Struct. Stab. Dyn. 2021, 21, 1. [Google Scholar] [CrossRef]
- Kankanamge, Y.; Hu, Y.F.; Shao, X.Y. Application of wavelet transform in structural health monitoring. Earthq. Eng. Eng. Vib. 2020, 19, 515–532. [Google Scholar] [CrossRef]
- Zhang, J.; Xu, Y.L.; Xia, Y.; Li, J. A new statistical moment-based structural damage detection method. Struct. Eng. Mech. 2008, 30, 445–466. [Google Scholar] [CrossRef]
- Zhang, J.; Xu, Y.L.; Xia, Y.; Li, J. Generalization of the statistical moment-based damage detection method. Struct. Eng. Mech. 2011, 38, 715–732. [Google Scholar] [CrossRef]
- Zhang, J.; Xu, Y.L.; Li, J.; Xia, Y.; Li, J.C. Statistical moment-based structural damage detection method in time domain. Earthq. Eng. Eng. Vib. 2013, 12, 13–23. [Google Scholar] [CrossRef]
- Xiang, W.; Wang, D.S.; Zhu, H.P. Damage Identification in a Plate Structure Based on Strain Statistical Moment. Adv. Struct. Eng. 2014, 17, 1639–1655. [Google Scholar] [CrossRef]
- Wang, D.S.; Xiang, W.; Zhu, H.P. Damage identification in beam type structures based on statistical moment using a two step method. J. Sound Vib. 2014, 333, 745–760. [Google Scholar] [CrossRef]
- Wang, D.S.; Chen, Z.; Xiang, W.; Zhu, H.P. Experimental investigation of damage identification in beam structures based on the strain statistical moment. Adv. Struct. Eng. 2017, 20, 747–758. [Google Scholar] [CrossRef]
- Yang, Z.C.; Yu, Z.F.; Sun, H. On the cross correlation function amplitude vector and its application to structural damage detection. Mech. Syst. Signal Process. 2007, 21, 2918–2932. [Google Scholar] [CrossRef]
- Yoon, M.K.; Heider, D.; Gillespie, J.W., Jr.; Ratcliffe, C.P.; Crane, R.M. Local damage detection using the two-dimensional gapped smoothing method. J. Sound Vib. 2005, 79, 119–139. [Google Scholar] [CrossRef]
- Wang, N.B.; Ren, W.X.; Huang, T.L. Baseline-free damage detection method for beam structures based on an actual influence line. Smart Struct. Syst. 2019, 24, 475–490. [Google Scholar] [CrossRef]
- Xu, Y.F.; Kim, J.S. Baseline-Free Structural Damage Identification for Beam-Like Structures Using Curvature Waveforms of Propagating Flexural Waves. Sensors 2021, 21, 2453. [Google Scholar] [CrossRef] [PubMed]
- Lu, L.L.; Song, H.W.; Huang, C.G. Experimental investigation of unbound nodes identification for metallic sandwich panels with truss core. Compos. Struct. 2017, 163, 248–256. [Google Scholar] [CrossRef]
- Rucka, M.; Wilde, K. Application of continuous wavelet transform in vibration based damage detection method for beams and plates. J. Sound Vib. 2006, 297, 536–550. [Google Scholar] [CrossRef]
- Cao, M.S.; Radzienski, M.; Xu, W.; Ostachowicz, W. Identification of multiple damage in beams based on robust curvature mode shapes. Mech. Syst. Signal Process. 2014, 46, 468–480. [Google Scholar] [CrossRef]
- Gilles, J. Empirical Wavelet Transform. IEEE Trans. Signal Process. 2013, 61, 3999–4010. [Google Scholar] [CrossRef]
- Xin, Y.; Hao, H.; Li, J. Operational modal identification of structures based on improved empirical wavelet transform. Struct. Control Health Monit. 2019, 26, 1545–2255. [Google Scholar] [CrossRef]
- Shi, Q.H.; Hu, K.J.; Wang, L.; Wang, X.J. Uncertain identification method of structural damage for beam-like structures based on strain modes with noises. Appl. Math. Comput. 2021, 390, 125682. [Google Scholar] [CrossRef]
- Wang, F.D.; Li, R.P.; Xiao, Y.Z.; Deng, Q.T.; Li, X.B.; Song, X.L. A strain modal flexibility method to multiple slight damage localization combined with a data fusion technique. Measurement 2021, 182, 109647. [Google Scholar] [CrossRef]
- Cui, H.Y.; Peng, W.Q.; Xu, X.; Hong, M. A damage identification method for a thin plate structure based on PVDF sensors and strain mode. Proc. Inst. Mech. Eng. Part C J. Mech. Eng. Sci. 2019, 233, 4881–4895. [Google Scholar] [CrossRef]
- Gokdag, H. Wavelet-based damage detection method for a beam-type structure carrying moving mass. Struct. Eng. Mech. 2011, 38, 81–97. [Google Scholar] [CrossRef]
- Lawson, C.; Keats, J.B.; Montgomery, D.C. Comparison of Robust and Least-Squares Regression in Computer-Generated Probability Plots. IEEE Trans. Reliab. 1997, 146, 108–115. [Google Scholar] [CrossRef]
- Qian, G.L.; Gu, S.N.; Jiang, J.S. The dynamic behaviour and crack detection of a beam with a crack. J. Sound Vib. 1990, 138, 233–243. [Google Scholar] [CrossRef]
- Zheng, D.Y.; Kessissoglou, N.J. Free vibration analysis of a cracked beam by finite element method. J. Sound Vib. 2004, 273, 457–475. [Google Scholar] [CrossRef]
- Ariaei, A.; Ziaei-Rad, S.; Ghayour, M. Vibration analysis of beams with open and breathing cracks subjected to moving masses. J. Sound Vib. 2009, 326, 709–724. [Google Scholar] [CrossRef]
- Peters, W.H.; Ranson, W.F. Digital Imaging Techniques in Experimental Stress Analysis. Opt. Eng. 1982, 21, 213427. [Google Scholar] [CrossRef]
- Javh, J.; Slavic, J.; Boltezar, M. The subpixel resolution of optical-flow-based modal analysis. Mech. Syst. Signal Process. 2017, 88, 89–99. [Google Scholar] [CrossRef]
- Cao, M.S.; Qiao, P.Z. Integrated wavelet transform and its application to vibration mode shapes for the damage detection of beam-type structures. Smart Mater. Struct. 2008, 17, 055014. [Google Scholar] [CrossRef]
- Deng, T.F.; Huang, J.W.; Cao, M.S.; Li, D.Y.; Bayat, M. Seismic Damage Identification Method for Curved Beam Bridges Based on Wavelet Packet Norm Entropy. Sensors 2022, 22, 239. [Google Scholar] [CrossRef]






















| Dimensional Parameters | Material Parameters | ||
|---|---|---|---|
| Length: L (m) | 12 | Poisson’s ratio: μ | 0.3 |
| Height: h (m) | 1 | Elastic modulus: E (Pa) | |
| Width: b (m) | 1 | Density: (kg/m3) | 2200 |
| Crack depth: a (m) | 0.05 (scenario I), 0.1 (scenario II) | Damping ratio: ξ | 0.03 |
| Scenario | Index | Noise Level | ||||||
|---|---|---|---|---|---|---|---|---|
| 5% | 10% | 15% | 20% | 25% | 30% | 35% | ||
| I | MRR (%) | 0.20 | 7.20 | 11.00 | 15.20 | 27.80 | 41.80 | 61.70 |
| FRR (%) | 0.00 | 0.00 | 1.50 | 5.20 | 12.10 | 17.60 | 26.10 | |
| NII (%) | 99.80 | 92.80 | 87.67 | 80.39 | 63.46 | 47.96 | 28.30 | |
| II | MRR (%) | 0.00 | 0.00 | 0.90 | 1.20 | 1.20 | 2.50 | 8.10 |
| FRR (%) | 0.00 | 0.00 | 0.00 | 0.00 | 0.00 | 0.80 | 1.60 | |
| NII (%) | 100.00 | 100.00 | 99.10 | 98.80 | 98.80 | 96.72 | 90.43 | |
Publisher’s Note: MDPI stays neutral with regard to jurisdictional claims in published maps and institutional affiliations. |
© 2022 by the authors. Licensee MDPI, Basel, Switzerland. This article is an open access article distributed under the terms and conditions of the Creative Commons Attribution (CC BY) license (https://creativecommons.org/licenses/by/4.0/).
Share and Cite
Huang, J.; Deng, T.; Cao, M.; Qian, X.; Bayat, M. A Feature of Mechanics-Driven Statistical Moments of Wavelet Transform-Processed Dynamic Responses for Damage Detection in Beam-Type Structures. Appl. Sci. 2022, 12, 11561. https://doi.org/10.3390/app122211561
Huang J, Deng T, Cao M, Qian X, Bayat M. A Feature of Mechanics-Driven Statistical Moments of Wavelet Transform-Processed Dynamic Responses for Damage Detection in Beam-Type Structures. Applied Sciences. 2022; 12(22):11561. https://doi.org/10.3390/app122211561
Chicago/Turabian StyleHuang, Jinwen, Tongfa Deng, Maosen Cao, Xiangdong Qian, and Mahmoud Bayat. 2022. "A Feature of Mechanics-Driven Statistical Moments of Wavelet Transform-Processed Dynamic Responses for Damage Detection in Beam-Type Structures" Applied Sciences 12, no. 22: 11561. https://doi.org/10.3390/app122211561
APA StyleHuang, J., Deng, T., Cao, M., Qian, X., & Bayat, M. (2022). A Feature of Mechanics-Driven Statistical Moments of Wavelet Transform-Processed Dynamic Responses for Damage Detection in Beam-Type Structures. Applied Sciences, 12(22), 11561. https://doi.org/10.3390/app122211561

