Next Article in Journal
Simulation Method and Application of Three-Dimensional DFN for Rock Mass Based on Monte-Carlo Technique
Previous Article in Journal
The Reactive Strength Index in Unilateral Hopping for Distance and Its Relationship to Sprinting Performance: How Many Hops Are Enough for a Comprehensive Evaluation?
 
 
Font Type:
Arial Georgia Verdana
Font Size:
Aa Aa Aa
Line Spacing:
Column Width:
Background:
Article

The Novel Mechanism of Vibration Effect on Head Loss—Experiment, Simulation and Theory Analysis

School of Civil Engineering, Tianjin University, Tianjin 300072, China
*
Author to whom correspondence should be addressed.
Appl. Sci. 2022, 12(22), 11384; https://doi.org/10.3390/app122211384
Submission received: 16 September 2022 / Revised: 27 October 2022 / Accepted: 7 November 2022 / Published: 10 November 2022

Abstract

As is known to us all, head loss affects the water transmission process, especially under the vibration condition. However, the detailed mechanism of the vibration effect on head loss was unclear, and most studies only focused on the pipeline property and friction itself. In this study, the vibration effect on the head loss mechanism was explored by wettability measurement and Materials Studio (MS) simulation. Iron casting, steel, polyvinyl chloride (PVC), and polyethylene (PE) were chosen as the representative pipeline materials. Different pipelines materials showed different effects on the water drops, and the static contact angles and dynamic contact angles were different. The molecular dynamic simulation results indicated that the water drops showed different interaction energy with pipelines’ surfaces, which was the main reason for the head loss. The pipelines’ roughness influences the wettability of pipelines, which cause the head loss. The roughness of different pipelines followed the rule: Roughnessiron casting > Roughnesssteel > RoughnessPVC > RoughnessPE. The vibration influences the surface roughness, and this fact influences the corresponding fluid flow property, which was widely studied in the previous study. Moreover, the MS results indicated that the vibration affected the solid wettability, which was in accordance with the experimental results, and the vibration altered the internal energy between water drops and pipeline surface. In the end, an economic evaluation was conducted, and the different pipelines’ operating costs were compared.

1. Introduction

As is known to us all, water flows through the whole pipe. During the water flowing process, the head loss influences the water flow mechanism [1,2]. The water flow head loss is influenced by the wettability of the pipeline’s surface [3], which is related to the surface roughness and the pipeline’s materials, and so on. In addition, many other factors influence the surface wettability [4,5].
A material’s wettability could be divided into hydrophilicity, hydrophobicity and amphiphilicity [6,7]. When the surface becomes hydrophilic, the water drops may flow across the surface more easily [8,9]. However, when the surface becomes hydrophobic, the water flow becomes more difficult [10]. As is well known, molecular dynamic simulation (MS) can be used to analyse the water flowing behaviour [11,12]. The water drops’ behaviour can be observed by MS simulation [13,14]. Therefore, it was important for us to study the water drops’ behaviour when processing the water flow. Moreover, vibration influences the surface wettability [15,16,17]. In a previous study, the ultrasonic vibration modified the water–solid surface, and then the surface wettability was altered. R. Galleguillos-Silva et al. [17] indicated that the surface wettability is dependent on the vibration velocity, and a high vibration velocity would decrease the contact angle.
The head loss would cause energy consumption and water loss [18,19,20]. In addition, the vibration would have an effect on the head loss, and the clean water and sewage water would be different depending on the head loss [21,22]. However, these detailed mechanisms were unclear. In addition, the impact of the roughness alteration mechanism on the wettability alteration of pipelines was unclear.
In a previous study, the different frequency effects on the vibration effect have been widely studied [23,24,25,26,27]. R. Galleguillos-Silva [17] et al. studied the surface wettability alteration by mechanical vibrations at low ultrasonic frequencies. The corresponding wettability was independent of the frequency. In addition, the corresponding relationship between the vibrating surface and the surface wettability was analysed.
Therefore, the aims of this work were as follows: (i) to explore clean/sewage water drops’ static contact angles and the dynamic contact angles of water drops onto iron casting, steel, PVC, and PE surfaces; (ii) to study the water drops’ behaviour on iron casting, steel, PVC and PE surfaces from molecular perspective by MS simulation; (iii) to explore how the water flows onto the pipeline’s surface; and (iv) to study the relationship between wettability and head loss.

2. Materials and Methods

2.1. Materials

In this study, pipelines of different materials (iron casting, steel, PVC, and PE) were used to measure the pipeline’s wettability. The water was from the water station.

2.2. Contact Angles Measurement

The contact angle measurement was used to measure the wettability of the pipeline’s surface [28,29]. In this study, the detailed experiment schematic diagram is shown in Figure 1. The experiment procedures were as follows [29]: before measuring the static contact angles, the pipeline’s surface was cleaned and dried, and then the water drops were dripped onto the pipeline surface, and the contact angles of the water onto the surface were measured [30], and the original contact angle was the static contact angle, as shown in Figure 1a. In other words, the vibration would be used to alter the static contact angles, and the contact angles followed the rule described above. It was difficult to measure the water/gas/solid dynamic contact angles, because the water drops were evaporating. Therefore, the water/oil/solid three-phase contact angles were measured (Figure 1b). The dynamic contact angle altered over time. For dynamic contact angles, the oil drops were dripped onto the pipeline’s surface, and the system was placed into the aqueous environment (clean water, sewage water).
The surface wettability influenced the fluid flow, which has been widely studied in previous studies [31,32,33,34]. The results indicated that as the surface became more hydrophilic, the fluid flow became faster [35,36]. Rumbidzai A. E. Nhunduru [23] et al. studied the impact of wettability on pore-scale flow regimes. The result showed that the pore scale wettability influenced the fluid flow property. The wettability had an impact on the fluid phase connectivity, and the fluid flow property was influenced. Pengyu Wang et. al. [37] explored the surface wettability by molecular dynamics, and the results indicated that there are three contact states on the surface under the vibration field: wetting, wetting/dewetting, and dewetting. In addition, the results also indicated that the surface wettability influenced the fluid flow process.

2.3. Roughness Measurement

The solid surface roughness influences the wettability of the solid [4,5]. The roughness of the solid surface was measured by an atomic force microscope. When the surface roughness is altered, the solid surface wettability is altered [38]. All the pipelines were cut into the small pieces, and then the AFM was used to measure the roughness of the surfaces, and the corresponding data processing was conducted. The roughness of iron casting, steel, PVC and PE in clean water and sewage water was studied, and the vibration effect on the roughness alteration was also studied.

2.4. Molecular Dynamics Simulation

In this study, the molecular dynamics simulation was conducted to evaluate water drops’ behavior on different pipelines surfaces [13,14]. In this study, the Materials Studio 8.0 (MS) was used, and the COMPASS force field was used during the process [39,40,41,42]. The interaction energy (kcal/mol) was considered. When the interaction energy decreased, the two surfaces’ interaction force increased [43,44,45]. The detailed molecular dynamics simulation procedure was as follows:
(1) The plane of different surfaces was chosen as the pipelines surface. Then, the energy optimization and structure optimization were conducted, and the supercell was built, and the vacuum layer was 50 Å, and then the periodicity became three-dimensional. The interfacial angle was α = 90°, β = 90°, γ = 90°.
(2) Water molecules were inserted (optimized) into the amorphous cell, then the COMPASS field of force was initiated.
(3) The layers were built: layer 1 was the pipeline’s surface, layer 2 was the water molecules’ unit cell, and the water molecules were placed in contact with the pipelines surface, and then the interaction energy was calculated.

3. Results and Discussion

3.1. The Uncontaminated Water Analysis

3.1.1. Static Contact Angle Measurement

Figure 2 shows the static contact angles of the water drops onto different plate surfaces with and without vibration. Without vibration, the contact angles for iron casting, steel, PVC and PE were 58.4°, 48.2°, 40.3°, 32.5°, respectively. The reasons for this were due to the fact that non-metals and metals have different roughness. As is shown in Figure 3b, the vibration decreased the contact angles by 3–10%, which was due to the fact that the vibration helped with the water drops’ dispersion. A 300 Hz vibration could decrease the water drops’ contact angles onto iron casting, steel, PVC and PE to 56.3°, 43.4°, 37.9°, 30.8°, respectively.
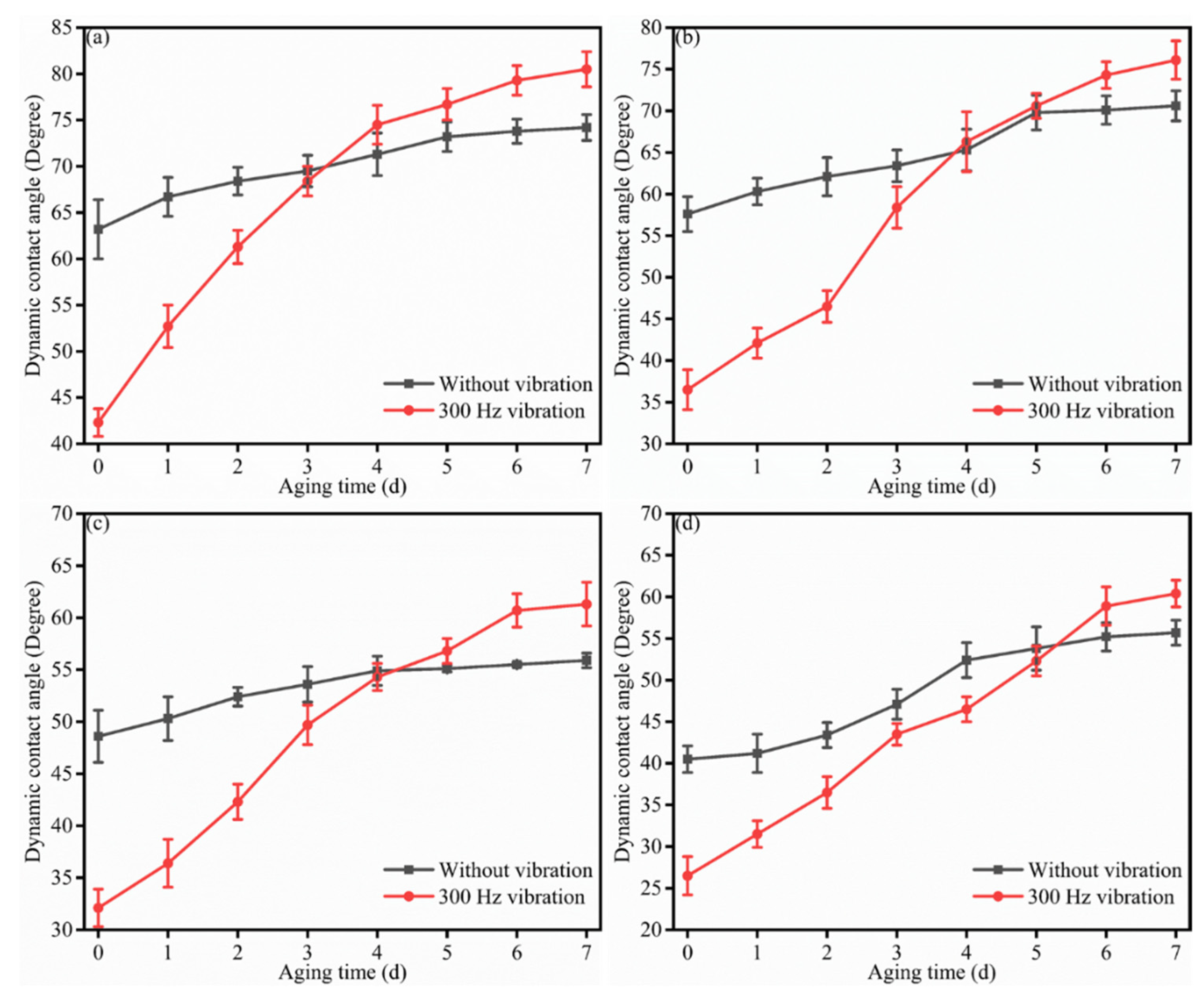
Figure 3 shows that the contact angles of the water drops onto the different pipeline materials’ surfaces with and without 300 Hz vibration with different aging times. The vibration influenced the solid wettability [23,26,46]. The results indicated that when the aging time was 0 d, the vibration decreased the contact angles by 50%, as shown in the results in Figure 3. However, when the aging time increased from 0 to 300 Hz, the contact angles without vibration were lower than those with 300 Hz vibration, the reasons were as follows [37,47,48]: on the one hand, when the vibration aging time increased by 100%, the erosion for different materials was enhanced, and the roughness alteration was enhanced, then the contact angles increased by 30%. On the other hand, during the contact angle measurement process, the vibration helped to disperse the water drops. Comparing with the iron casting and steel, the contact angles’ alterations were low for PVC and PE, which was due to the fact that the PVC and PE erosion was low.
Figure 4 shows the vibration frequency on the dynamic contact angles of water drops onto the iron casting, steel, PVC and PE with 7 days aging time. The results indicated that the vibration could make the dynamic contact angles higher. When the vibration frequency increased to 300 Hz, the dynamic contact angles remained stable. Therefore, 300 Hz was chosen as the studied frequency.

3.1.2. Dynamic Contact Angles Measurement

The Gas/Solid/Water Three-Phase Dynamic Contact Angles Measurement
Figure 5 shows the gas/solid/water dynamic contact angles of water drops onto the different plate surfaces with and without 300 Hz vibration. The results showed that the dynamic contact angles decreased by 10% with the increasing time. Furthermore, the vibration could make the contact angles lower.
The Water/Solid/Petroleum Three-Phase Dynamic Contact Angles Measurement
Figure 6 shows the water/solid/toluene dynamic contact angles of water drops onto the different plates with or without 300 Hz vibration. The results indicated that the water/solid/toluene dynamic contact angles increased by 10–30%, which was due to the fact that the oil drops became easier to liberate from the solid’s surface, and then the contact angles became higher. Moreover, the vibration made the contact angles become higher. However, different pipelines would have different effects.
Figure 7 shows the water/solid/bitumen (0.1 wt%) dynamic contact angles of water drops onto the different pipeline materials. The results showed that the dynamic contact angles increased by almost 20% as the immersion time increased by 500%. In addition, the vibration made the dynamic contact angles higher. In addition, the equilibrium time for the system with 300 Hz vibration was higher than that without vibration. The reason was due to the fact that when the system was without vibration, the system was more stable, and then it was easier for the system to reach equilibrium. However, when the system was had the 300 Hz vibration, the system was not so stable, therefore, the equilibrium time was longer. For different pipeline materials, the dynamic contact angles were different when the interaction time was the same, and the dynamic contact angles followed the rule that θPE > θPVC > θsteel > θiron casting. The reason was due to the fact that different materials’ surfaces showed different surface energy.

3.2. The Contaminated Water Analysis

3.2.1. Static Contact Angle Measurement

Figure 8 shows the static contact angles of sewage water drops on different materials’ surfaces when immersed in sewage water. The contact angles of water drops onto the iron casting, steel, PVC, and PE were 63.2°, 57.6°, 48.6°,40.5°, respectively. The contact angles decreased when the 300 Hz vibration was conducted. The results indicated that vibration decreased the contact angles by 30–50%. For different materials, the static contact angle followed the rule that θiron casting > θsteel > θPVC > θPE. The results indicated that different materials showed different affinities with the surface. The sewage water rules were similar to those of the clean water.
Figure 9 shows the static contact angles of sewage water drops onto the different surfaces with or without 300 Hz vibration with different aging time. The results indicated that the static contact angles increased by 100% with the increasing aging time. At the beginning, the contact angles without vibration were higher than those for the 300 Hz vibration. However, the contact angles for the 300 Hz vibration were higher than those without vibration. At the beginning, the contact angles were low, however, when the vibration was increased to 300 Hz, the wettability alteration was enhanced.

3.2.2. Dynamic Contact Angles Measurement

The Gas/Solid/Water Three-Phase Dynamic Contact Angles Measurement
Figure 10 shows the gas/solid/water dynamic contact angles of sewage water drops onto different surfaces. As is shown in Figure 10, the dynamic contact angles decreased as time went on. When 300 Hz vibration was conducted, the dynamic contact angles were decreased by 30–50%. The sewage water made the contact angles lower compared to the clean water.

3.3. Roughness Analysis

The roughness analysis is shown in Figure 11. As is known to us all, the roughness influences the pipeline wettability [49,50,51]. As is shown in Figure 11a, the roughness for iron casting, steel, PVC and PE without vibration were 76.2 nm, 58.7 nm, 50.6 nm, and 41.2 nm, respectively. However, 300 Hz vibration decreased the pipelines’ roughness by 10–20%, and the corresponding roughness were 65.4 nm, 52.3 nm, 44.6 nm, and 38.6 nm, respectively. For sewage, the roughness of different pipelines’ surfaces was increased by 10–20%. Without vibration, the roughness for iron casting, steel, PVC and PE were 112.4 nm, 96.3 nm, 84.3 nm, and 72.2 nm, respectively. In addition, 300 Hz vibration decreased the roughness of pipelines’ surfaces, and the reason was that the vibration made the pipelines’ surfaces smoother and the vibration was able to hold energy.

3.4. Interaction Energy

The molecular dynamics simulation results showed that the interaction energy between water molecules and pipelines’ surfaces were different (Figure 12). Interaction energy indicates the interaction role between different molecules and surfaces [45,52,53,54]. The results showed that the interaction energy between water drops and pipelines were different, and the vibration decreased the interaction energy between water drops and pipelines (by almost 20%). For instance, the interaction energy between water drops and iron casting without vibration was −436.58 kJ/mol, and the vibration caused the interaction energy to change by −358.73 kJ/mol. The interaction energy between water drops and steel was −388.03 kcal/mol, and the 300 Hz vibration caused the interaction energy to change by −307.24 kcal/mol.

4. Conclusions

In this study, the effect of vibration on head loss was explored, as well as the clean water and sewage water effect on the head loss, and the detailed conclusions are as follows:
(1) Different pipelines’ materials showed different effects on the water drops, and the static contact angles and dynamic contact angles were different.
(2) The molecular dynamic simulation results indicated that the water drops showed different interaction energies with the pipelines surfaces, which was the main reason for the head loss.
(3) The pipelines’ roughness influenced the wettability of the pipelines, which caused the head loss. The roughness of different pipelines followed the rule: Roughnessiron casting > Roughnesssteel > RoughnessPVC > RoughnessPE. Vibration made the roughness lower and the sewage improved the roughness.
(4) The study put forward a novel method of evaluating the wettability of pipelines, and the corresponding head loss was evaluated.
In future studies, researchers should analyse the different vibration effects on the water fluid dynamics, and the corresponding mechanism should be put forward.

Author Contributions

Conceptualization, L.Y. and H.W.; methodology, L.Y.; software, H.W.; validation, H.W.; formal analysis, H.W.; investigation, L.Y.; resources, H.W.; data curation, H.W.; writing—original draft preparation, L.Y.; writing—review and editing, L.Y. and H.W.; visualization, H.W.; supervision, H.W.; project administration, H.W.; funding acquisition, H.W. All authors have read and agreed to the published version of the manuscript.

Funding

This research was funded by National Natural Science Foundation of China (50909072) and the Natural Science Foundation of Tianjin (18JCYBJC22300).

Institutional Review Board Statement

Not applicable.

Informed Consent Statement

Not applicable.

Data Availability Statement

Not applicable.

Conflicts of Interest

The authors declare no conflict of interest.

References

  1. Liu, Y.; Zhang, J.; Liu, Z.; Wang, Q.; Yu, X. Effect of the nonlinearity of head loss on stability and dynamic performance for hydropower plant with surge tank during small load disturbance. J. Energy Storage 2022, 53, 105182. [Google Scholar] [CrossRef]
  2. Yurishchev, A.; Ullmann, A.; Brauner, N. Displacing water from a low spot in a pipeline by a turbulent oil flow: Experiments and simulations. Chem. Eng. Sci. 2022, 262, 117985. [Google Scholar] [CrossRef]
  3. Tao, H.F.; Shen, P.P.; Li, Q.; Jiang, Y.W.; Yang, W.X.; Wei, J.Q. Research on head loss of pre-pump micro-pressure filter under clean water conditions. Water Supply 2022, 22, 3271–3282. [Google Scholar] [CrossRef]
  4. Wang, X.C.; Zhang, Q. Insight into the Influence of Surface Roughness on the Wettability of Apatite and Dolomite. Minerals 2020, 10, 114. [Google Scholar] [CrossRef]
  5. Edachery, V.; Swamybabu, V.; Adarsh, D.; Kailas, S.V. Influence of surface roughness frequencies and roughness parameters on lubricant wettability transitions in micro-nano scale hierarchical surfaces. Tribol. Int. 2022, 165, 107316. [Google Scholar] [CrossRef]
  6. Li, J.; Xie, F.; Wang, D.; Gong, K.; Wu, M. Corrosion of X80 steel in a wet gas pipeline under the top-of-the-line environment. J. Electroanal. Chem. 2022, 912, 116269. [Google Scholar] [CrossRef]
  7. Morris, C.; Yang, J.J. A machine learning model pipeline for detecting wet pavement condition from live scenes of traffic cameras. Mach. Learn. Appl. 2021, 5, 100070. [Google Scholar] [CrossRef]
  8. Xu, F.; Wei, M.J.; Zhang, X.; Wang, Y. Effect of hydrophilicity on water transport through sub-nanometer pores. J. Membr. Sci. 2020, 611, 118297. [Google Scholar] [CrossRef]
  9. Xu, F.; Song, Y.; Wei, M.J.; Wang, Y. Water Flow through Interlayer Channels of Two-Dimensional Materials with Various Hydrophilicities. J. Phys. Chem. C 2018, 122, 15772–15779. [Google Scholar] [CrossRef]
  10. Shi, W.Y.; Li, H.B.; Du, Q.Y.; Wang, S.; Zhang, H.X.; Qin, X.H. Preparation of cMWCNTs-incorporated Hollow Fiber Membrane with Improved Water Flux and Dye Adsorption Properties. Fibers Polym. 2019, 20, 280–292. [Google Scholar] [CrossRef]
  11. An, C.H.; Sin, M.G.; Kim, M.J.; Jong, I.B.; Song, G.J.; Choe, C. Effect of bottom drain positions on circular tank hydraulics: CFD simulations. Aquac. Eng. 2018, 83, 138–150. [Google Scholar] [CrossRef]
  12. Mlela, M.K.; Xu, H.; Sun, F.; Wang, H.H.; Madenge, G.D. Material Analysis and Molecular Dynamics Simulation for Cavitation Erosion and Corrosion Suppression in Water Hydraulic Valves. Materials 2020, 13, 453. [Google Scholar] [CrossRef]
  13. Thomas, J.A.; McGaughey, A.J.H.; Kuter-Arnebeck, O. Pressure-driven water flow through carbon nanotubes: Insights from molecular dynamics simulation. Int. J. Therm. Sci. 2010, 49, 281–289. [Google Scholar] [CrossRef]
  14. Kucaba-Pietal, A.; Walenta, Z.; Peradzynski, Z. Molecular dynamics computer simulation of water flows in nanochannels. Bull. Pol. Acad. Sci. Tech. Sci. 2009, 57, 55–61. [Google Scholar] [CrossRef][Green Version]
  15. Lin, Q.; Xing, C.; Sui, R.; Ci, W.; Xu, Y. Effect of ultrasonic vibration on wetting of water/Cu, water/PTFE, E-GaIn/Cu and E-GaIn/graphite. Exp. Therm. Fluid Sci. 2019, 102, 351–356. [Google Scholar] [CrossRef]
  16. Park, D.-S.; Park, K.-S. Surface wettability of thin liquid films using vertical ultrasonic vibration-assisted coating technology. Results Phys. 2021, 30, 104828. [Google Scholar] [CrossRef]
  17. Tian, D.L.; Song, Y.L.; Jiang, L. Patterning of controllable surface wettability for printing techniques. Chem. Soc. Rev. 2013, 42, 5184–5209. [Google Scholar] [CrossRef]
  18. Kumar, A.; Gandhi, B.K.; Kulkarni, P.K. Effect of Misalignment of Penstocks on Head Loss. J. Pipeline Syst. Eng. Pract. 2017, 8, 04017012. [Google Scholar] [CrossRef]
  19. Jonsson, L.M.; Bjorlenius, B. Dynamic and initial head loss in full-scale wastewater filtration and measures to prevent long-term initial head loss. Water Pract. Technol. 2022, 17, 1390–1405. [Google Scholar] [CrossRef]
  20. Perboni, A.; Frizzone, J.A.; de Camargo, A.P.; Pinto, M.F. Modelling Head Loss Along Emitting Pipes Using Dimensional Analysis. Eng. Agric. 2015, 35, 442–457. [Google Scholar] [CrossRef]
  21. Neto, O.R.; Botrel, T.A.; Frizzone, J.A.; Camargo, A.P. Method for determining friction head loss along elastic pipes. Irrig. Sci. 2014, 32, 329–339. [Google Scholar] [CrossRef]
  22. Alazba, A.A.; Mattar, M.A.; ElNesr, M.N.; Amin, M.T. Field Assessment of Friction Head Loss and Friction Correction Factor Equations. J. Irrig. Drain. Eng. 2012, 138, 166–176. [Google Scholar] [CrossRef]
  23. Galleguillos-Silva, R.; Vargas-Hernandez, Y.; Gaete-Garreton, L. Wettability of a surface subjected to high frequency mechanical vibrations. Ultrason. Sonochem. 2017, 35, 134–141. [Google Scholar] [CrossRef]
  24. Wen, L.P.; Tian, Y.; Jiang, L. Bioinspired super-wettability from fundamental research to practical applications. Angew. Chem. Int. Ed. 2015, 54, 3387–3399. [Google Scholar] [CrossRef] [PubMed]
  25. Chen, W.Q.; Zheng, L.; Xie, W.K.; Yang, K.; Huo, D.H. Modelling and experimental investigation on textured surface generation in vibration-assisted micro-milling. J. Mater. Processing Technol. 2019, 266, 339–350. [Google Scholar] [CrossRef]
  26. Lu, Y.; Guo, P.; Pei, P.C.; Ehmann, K.F. Experimental studies of wettability control on cylindrical surfaces by elliptical vibration texturing. Int. J. Adv. Manuf. Technol. 2015, 76, 1807–1817. [Google Scholar] [CrossRef]
  27. Tsunekawa, Y.; Suzuki, H.; Genma, Y. Application of ultrasonic vibration to in situ MMC process by electromagnetic melt stirring. Mater. Des. 2001, 22, 467–472. [Google Scholar] [CrossRef]
  28. Vafaei, S.; Wen, D.S.; Borca-Tasciuc, T. Nanofluid Surface Wettability Through Asymptotic Contact Angle. Langmuir 2011, 27, 2211–2218. [Google Scholar] [CrossRef]
  29. Zaman, M.W.; Han, J.; Zhang, X. Evaluating wettability of geotextiles with contact angles. Geotext. Geomembr. 2022, 50, 825–833. [Google Scholar] [CrossRef]
  30. Rebouillat, S.; Letellier, B.; Steffenino, B. Wettability of single fibres—Beyond the contact angle approach. Int. J. Adhes. Adhes. 1999, 19, 303–314. [Google Scholar] [CrossRef]
  31. Nhunduru, R.A.E.; Jahanbakhsh, A.; Shahrokhi, O.; Wlodarczyk, K.L.; Garcia, S.; Maroto-Valer, M.M. The Impact of Wettability on Dynamic Fluid Connectivity and Flow Transport Kinetics in Porous Media. Water Resour. Res. 2022, 58, e2021WR030729. [Google Scholar] [CrossRef]
  32. Shiri, Y.; Shiri, A. Numerical Investigation of Fluid Flow Instabilities in Pore-scale with Heterogeneities in Permeability and Wettability. Rud.-Geol.-Naft. Zb. 2021, 36, 143–156. [Google Scholar] [CrossRef]
  33. Zheng, X.L.; Jang, J.W. Impacts of Wettability on Immiscible Fluid Flow Pattern-Microfluidic Chip Experiment. China Pet. Processing Petrochem. Technol. 2019, 21, 80–89. [Google Scholar]
  34. Yang, S.C. Effects of surface roughness and interface wettability on nanoscale flow in a nanochannel. Microfluid. Nanofluid. 2006, 2, 501–511. [Google Scholar] [CrossRef]
  35. Sofos, F.; Karakasidis, T.E.; Liakopoulos, A. Surface wettability effects on flow in rough wall nanochannels. Microfluid. Nanofluid. 2012, 12, 25–31. [Google Scholar] [CrossRef]
  36. Bakhshian, S.; Rabbani, H.S.; Hosseini, S.A.; Shokri, N. New Insights Into Complex Interactions Between Heterogeneity and Wettability Influencing Two-Phase Flow in Porous Media. Geophys. Res. Lett. 2020, 47, e2020GL088187. [Google Scholar] [CrossRef]
  37. Wang, P.Y.; Sun, X.K.; Lv, H.Q.; Ma, S.; Wang, Z.Q. Investigation of surface wettability and their influencing mechanisms under vibration field: A molecular dynamics simulation study. Comput. Mater. Sci. 2021, 197, 110615. [Google Scholar] [CrossRef]
  38. Ulusoy, U.; Yekeler, M. Correlation of the surface roughness of some industrial minerals with their wettability parameters. Chem. Eng. Processing—Process Intensif. 2005, 44, 557–565. [Google Scholar] [CrossRef]
  39. Falat, T.; Platek, B. Growth of intermetallic compound between indium-based thermal interface material and copper substrate: Molecular dynamics simulations. Mater. Sci.—Pol. 2015, 33, 445–450. [Google Scholar] [CrossRef]
  40. Fojtikova, J.; Kalvoda, L.; Sedlak, P. Molecular Dynamics Simulations of Poly (dimethylsiloxane) Properties. Acta Phys. Pol. A 2015, 128, 637–639. [Google Scholar] [CrossRef]
  41. Chen, L.; Chen, P.F.; Li, Z.Z.; He, Y.L.; Tao, W.Q. The study on interface characteristics near the metal wall by a molecular dynamics method. Comput. Fluids 2018, 164, 64–72. [Google Scholar] [CrossRef]
  42. Wang, Y.; Li, X.; Wei, Q.; Chai, W.; Yang, M.; Wei, S. Molecular Dynamics Simulation of Mechanical Properties for Poly(vinyl pyrrolidone)/Poly(vinyl alcohol) Hydrogel. Asian J. Chem. 2014, 26, 5378–5382. [Google Scholar] [CrossRef]
  43. Xin, D.R.; Han, Q. Estimating interfacial interaction energy of Cu-epoxy resin from molecular dynamics simulation. Electron. Mater. Lett. 2014, 10, 535–539. [Google Scholar] [CrossRef]
  44. He, P.N.; Lu, X.D.; Zhao, C.L.; Ning, J.P.; Qing, Y.M.; Gou, F.J. Molecular dynamics simulations of energy effects on atorn F interaction with SiC(100). Acta Phys. Sin. 2011, 60, 095203. [Google Scholar]
  45. Arroyo, S.T.; Martin, J.A.S.; Garcia, A.H. Molecular dynamics simulation of aqueous solutions using interaction energy components: Application to the solvation Gibbs energy. J. Solut. Chem. 2005, 34, 407–414. [Google Scholar] [CrossRef]
  46. Zheng, L.; Chen, W.Q.; Pozzi, M.; Teng, X.Y.; Huo, D.H. Modulation of surface wettability by vibration assisted milling. Precis. Eng.—J. Int. Soc. Precis. Eng. Nanotechnol. 2019, 55, 179–188. [Google Scholar] [CrossRef]
  47. Wang, Y.; Zhang, M.Y.; Yin, J.; Dong, Y.H.; Zhao, J.N.; Zhang, X.F.; Lin, B. Effect of ultrasonic vibration-assisted laser treatment on surface roughness and wettability of aluminum. Opt. Laser Technol. 2022, 150, 107969. [Google Scholar] [CrossRef]
  48. Golubina, E.N.; Kizim, N.F.; Chekmarev, A.M. Influence of Vibrations in the Interfacial Layer on the Wettability of an Adhered Material of Interfacial Formations in Systems withdandfElements. Dokl. Phys. Chem. 2019, 488, 134–137. [Google Scholar] [CrossRef]
  49. Rolleri, A.; Roffael, E. Influence of climatic conditions and surface roughness on the wettability of medium density fiberboards (MDF). Holz Als Roh-Und Werkst. 2008, 66, 465–466. [Google Scholar] [CrossRef]
  50. O’Hanley, H.; Coyle, C.; Buongiorno, J.; McKrell, T.; Hu, L.W.; Rubner, M.; Cohen, R. Separate effects of surface roughness, wettability, and porosity on the boiling critical heat flux. Appl. Phys. Lett. 2013, 103, 024102. [Google Scholar] [CrossRef]
  51. Bogacz, W.; Lemanowicz, M.; Al-Rashed, M.H.; Nakonieczny, D.; Piotrowski, T.; Wojcik, J. Impact of roughness, wettability and hydrodynamic conditions on the incrustation on stainless steel surfaces. Appl. Therm. Eng. 2017, 112, 352–361. [Google Scholar] [CrossRef]
  52. Arroyo, S.T.; Martin, J.A.S.; Garcia, A.H. Molecular dynamics simulation of acetamide solvation using interaction energy components: Application to structural and energy properties. Chem. Phys. 2006, 327, 187–192. [Google Scholar] [CrossRef]
  53. Arroyo, S.T.; Martin, J.A.S.; Garcia, A.H. Molecular dynamics simulation of aqueous solutions using interaction energy components: Application to the dielectric properties of the acetone-water system. Mol. Simul. 2005, 31, 549–553. [Google Scholar] [CrossRef]
  54. Ma, Y.C.; Xia, Y.Y.; Mu, Y.G.; Li, S.Y.; Zhang, H.D.; Zhao, M.W.; Wang, R.J. Low-energy interaction and adsorption of C-60 on diamond surfaces. Nucl. Instrum. Methods Phys. Res. Sect. B—Beam Interact. Mater. At. 2000, 168, 169–180. [Google Scholar] [CrossRef]
Figure 1. The (a) static, and (b) dynamic contact angles’ measurements.
Figure 1. The (a) static, and (b) dynamic contact angles’ measurements.
Applsci 12 11384 g001
Figure 2. The static contact angles of water drop onto the iron casting, steel, PVC, PE (a) without vibration; (b) with 300 Hz vibration.
Figure 2. The static contact angles of water drop onto the iron casting, steel, PVC, PE (a) without vibration; (b) with 300 Hz vibration.
Applsci 12 11384 g002
Figure 3. The static contact angles of water drops onto the (a) iron casting; (b) steel; (c) PVC; (d) PE, without or without 300 Hz vibration with different aging time.
Figure 3. The static contact angles of water drops onto the (a) iron casting; (b) steel; (c) PVC; (d) PE, without or without 300 Hz vibration with different aging time.
Applsci 12 11384 g003
Figure 4. The vibration frequency on the dynamic contact angles of water drops onto the iron casting, steel, PVC and PE, with 7 days aging time.
Figure 4. The vibration frequency on the dynamic contact angles of water drops onto the iron casting, steel, PVC and PE, with 7 days aging time.
Applsci 12 11384 g004
Figure 5. The gas/solid/water dynamic contact angles of water drops onto the (a) iron casting; (b) steel; (c) PVC; (d) PE, with or without 300 Hz vibration.
Figure 5. The gas/solid/water dynamic contact angles of water drops onto the (a) iron casting; (b) steel; (c) PVC; (d) PE, with or without 300 Hz vibration.
Applsci 12 11384 g005
Figure 6. The water/solid/toluene dynamic contact angles of water drops onto the (a) iron casting; (b) steel; (c) PVC; (d) PE, with or without 300 Hz vibration.
Figure 6. The water/solid/toluene dynamic contact angles of water drops onto the (a) iron casting; (b) steel; (c) PVC; (d) PE, with or without 300 Hz vibration.
Applsci 12 11384 g006
Figure 7. The water/solid/bitumen (0.1 wt%) dynamic contact angles of water drops onto the (a) iron casting; (b) steel; (c) PVC; (d) PE, with or without 300 Hz vibration.
Figure 7. The water/solid/bitumen (0.1 wt%) dynamic contact angles of water drops onto the (a) iron casting; (b) steel; (c) PVC; (d) PE, with or without 300 Hz vibration.
Applsci 12 11384 g007
Figure 8. The static contact angles of sewage water drops onto the iron casting, steel, PVC, and PE (a) without vibration; (b) with 300 Hz vibration.
Figure 8. The static contact angles of sewage water drops onto the iron casting, steel, PVC, and PE (a) without vibration; (b) with 300 Hz vibration.
Applsci 12 11384 g008
Figure 9. The static contact angles of sewage water drops onto the (a) iron casting; (b) steel; (c) PVC; (d) PE, with or without 300 Hz vibration with different aging time.
Figure 9. The static contact angles of sewage water drops onto the (a) iron casting; (b) steel; (c) PVC; (d) PE, with or without 300 Hz vibration with different aging time.
Applsci 12 11384 g009
Figure 10. The gas/solid/water dynamic contact angles of sewage water drops onto the (a) iron casting; (b) steel; (c) PVC; (d) PE, with or without 300 Hz vibration.
Figure 10. The gas/solid/water dynamic contact angles of sewage water drops onto the (a) iron casting; (b) steel; (c) PVC; (d) PE, with or without 300 Hz vibration.
Applsci 12 11384 g010
Figure 11. The roughness of iron casting, steel, PVC and PE in (a) clean water; (b) sewage water.
Figure 11. The roughness of iron casting, steel, PVC and PE in (a) clean water; (b) sewage water.
Applsci 12 11384 g011
Figure 12. The interaction energy (kJ/mol) between water drops and the different pipelines.
Figure 12. The interaction energy (kJ/mol) between water drops and the different pipelines.
Applsci 12 11384 g012
Publisher’s Note: MDPI stays neutral with regard to jurisdictional claims in published maps and institutional affiliations.

Share and Cite

MDPI and ACS Style

Yang, L.; Wang, H. The Novel Mechanism of Vibration Effect on Head Loss—Experiment, Simulation and Theory Analysis. Appl. Sci. 2022, 12, 11384. https://doi.org/10.3390/app122211384

AMA Style

Yang L, Wang H. The Novel Mechanism of Vibration Effect on Head Loss—Experiment, Simulation and Theory Analysis. Applied Sciences. 2022; 12(22):11384. https://doi.org/10.3390/app122211384

Chicago/Turabian Style

Yang, Liu, and Haijun Wang. 2022. "The Novel Mechanism of Vibration Effect on Head Loss—Experiment, Simulation and Theory Analysis" Applied Sciences 12, no. 22: 11384. https://doi.org/10.3390/app122211384

APA Style

Yang, L., & Wang, H. (2022). The Novel Mechanism of Vibration Effect on Head Loss—Experiment, Simulation and Theory Analysis. Applied Sciences, 12(22), 11384. https://doi.org/10.3390/app122211384

Note that from the first issue of 2016, this journal uses article numbers instead of page numbers. See further details here.

Article Metrics

Back to TopTop