Influenced Zone of Deep Excavation on Adjacent Tunnel Displacement and Control Effect of Ground Improvement in Soft Soil
Abstract
:1. Introduction
2. Influenced Zone of Deep Excavation on Adjacent Tunnel
2.1. Numerical Simulation of the Effect of Deep Excavation on Adjacent Tunnel
2.1.1. FEM Numerical Model
2.1.2. Constitutive Model and Parameters
2.1.3. Simulation Conditions
2.2. Deformation Behaviors of Adjacent Tunnel
2.3. Division of Influenced Zone of Deep Excavation on Adjacent Tunnel
3. Control Effect of Ground Improvement on Tunnel Displacement
3.1. Control Measures of Tunnel Displacement
3.2. Evaluation Index of Control Effect on Tunnel Displacement
3.3. Simulation Conditions of Ground Improvement
3.4. Effect of Ground Improvement on Tunnel Displacement
3.4.1. Effect of Ground Improvement Strength
3.4.2. Effect of Ground Improvement Depth
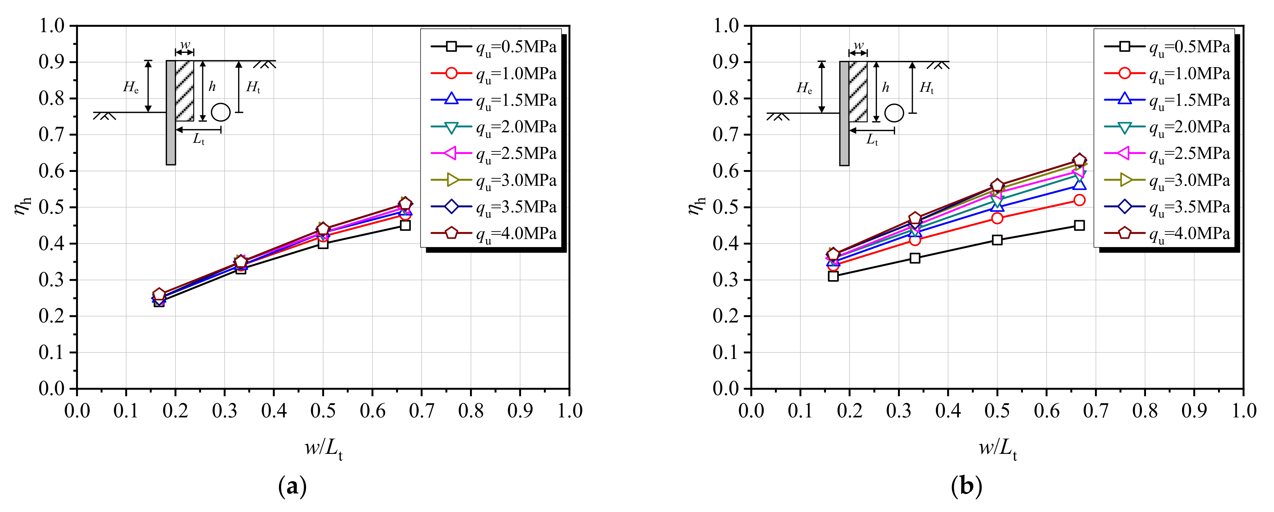
3.4.3. Effect of Ground Improvement Width
4. Control Effect of Ground Improvement on Influenced Zone of Deep Excavation
4.1. Effect of Ground Improvement on Tunnel Displacement Distribution Behaviors
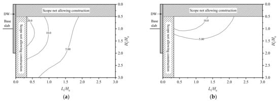
4.2. Effect of Ground Improvement on Influenced Zone of Deep Excavation
5. Discussion
6. Conclusions
- (1)
- Based on the displacement behaviors of the tunnel induced by deep excavation, combined with the 3-level tunnel displacement control standards of 20 mm, 10 mm, and 5 mm, the range outside the pit can be divided into: I—primary influenced zone, II—secondary influenced zone, III—general influenced zone, and IV—weak influenced zone.
- (2)
- There are limits to increasing the control effect on tunnel displacement by only increasing the ground improvement strength. Considering the control effect and engineering economy together, it is suggested that the ground improvement strength should be kept within 1.5~2 MPa.
- (3)
- An optimal value exists for the ground improvement depth outside the pit. If it exceeds this value, the contribution of the ground improvement depth to the tunnel displacement control effect will be weakened. Considering the control effect and engineering economy, it is suggested that the ground improvement depth h = 2He.
- (4)
- The control effect on tunnel displacement can be increased by increasing the ground improvement width. In actual engineering, it is suggested to increase the ground improvement width as much as possible if there is enough site space to allow ground improvement and ensure the safety of the tunnel.
- (5)
- After ground improvement using the suggested parameters, the horizontal and vertical displacements of the tunnel are significantly reduced, and the influenced zone corresponding to the same tunnel displacement isoline is reduced. According to different tunnel displacement control standards, the range outside of the pit is divided into: II–secondary influenced zone, III—general influenced zone, IV—weak influenced zone, and the I—primary influenced zone no longer exists.
Author Contributions
Funding
Institutional Review Board Statement
Informed Consent Statement
Data Availability Statement
Acknowledgments
Conflicts of Interest
References
- Chen, X.S. Research on combined construction technology for cross-subway tunnels in underground spaces. Engineering 2018, 4, 103–111. [Google Scholar] [CrossRef]
- Vinoth, M.; MS, A. Behaviour of existing tunnel due to adjacent deep excavation—A review. Int. J. Geotech. Eng. 2021, 1–20. [Google Scholar] [CrossRef]
- Meng, F.Y.; Chen, R.P.; Xu, Y.; Wu, K.; Wu, H.N.; Liu, Y. Contributions to responses of existing tunnel subjected to nearby excavation: A review. Tunn. Undergr. Space Technol. 2022, 119, 104195. [Google Scholar] [CrossRef]
- Liu, B.; Fan, X.H.; Wang, Y.Y.; Zhang, J.B.; Fan, Z.B. Influences of excavation on adjacent existing metro tunnels: A review. Chin. J. Geotech. Eng. 2021, 43, 253–258. [Google Scholar] [CrossRef]
- Zhang, R.; Xie, H.P.; Ren, L.; Deng, J.H.; Gao, M.Z.; Feng, G.; Zhang, Z.T.; Li, X.P.; Tan, Q. Excavation-induced structural deterioration of rock masses at different depths. Arch. Civ. Mech. Eng. 2022, 22, 81. [Google Scholar] [CrossRef]
- Wu, F.Q.; Liu, J.Y.; Liu, T.; Zhuang, H.Z.; Yan, C.G. A method for assessment of excavation damaged zone (EDZ) of a rock mass and its application to a dam foundation case. Eng. Geol. 2009, 104, 254–262. [Google Scholar] [CrossRef]
- Li, M.G.; Chen, J.J.; Wang, J.H.; Zhu, Y.F. Comparative study of construction methods for deep excavations above shield tunnels. Tunn. Undergr. Space Technol. 2018, 71, 329–339. [Google Scholar] [CrossRef]
- Li, M.G.; Xiao, X.; Wang, J.H.; Chen, J.J. Numerical study on responses of an existing metro line to staged deep excavations. Tunn. Undergr. Space Technol. 2019, 85, 268–281. [Google Scholar] [CrossRef]
- MOHURD. GB 50911–2013: Code for Monitoring Measurement of Urban Rail Transit Engineering; China Architecture & Building Press: Beijing, China, 2013. [Google Scholar]
- Ding, Y.C. Excavation-Induced Deformation and Control in Soft Deposits. Ph.D. Thesis, Shanghai Jiao Tong University, Shanghai, China, 2009. [Google Scholar]
- Zheng, G.; Du, Y.M.; Diao, Y.; Deng, X.; Zhu, G.P.; Zhang, L.M. Influenced zones for deformation of existing tunnels adjacent to excavations. Chin. J. Geotech. Eng. 2016, 38, 599–612. [Google Scholar] [CrossRef]
- Zheng, G.; Du, Y.M.; Cheng, X.S.; Diao, Y.; Deng, X.; Wang, F.J. Characteristics and prediction methods for tunnel deformations induced by excavations. Geomech. Eng. 2017, 12, 361–397. [Google Scholar] [CrossRef]
- Fan, X.H.; Liu, B.; Wang, Y.Y.; Zhang, J.B.; Fan, Z.B.; Zhang, D.W. Influenced zones for deformation of underlying metro tunnels induced by braced deep excavation in soft strata. Chin. J. Geotech. Eng. 2021, 43, 217–220. [Google Scholar] [CrossRef]
- Pu, J.Y.; Liu, B. Control effects of soil reinforcement on underlying metro tunnel deformation and influenced zone induced by deep excavation in soft strata. Chin. J. Geotech. Eng. 2021, 43, 146–149. [Google Scholar] [CrossRef]
- Kung, G.T.C.; Hsiao, E.C.L.; Juang, C.H. Evaluation of a simplified small-strain soil model for analysis of excavation-induced movements. Can. Geotech. J. 2007, 44, 726–736. [Google Scholar] [CrossRef]
- Benz, T.; Schwab, R.; Vermeer, P. Small-strain stiffness in geotechnical analyses. Bautechnik 2009, 86, 16–27. [Google Scholar] [CrossRef]
- Schweiger, H.F.; Vermeer, P.A.; Wehnert, M. On the design of deep excavations based on finite element analysis. Geomech. Tunn. 2009, 2, 333–344. [Google Scholar] [CrossRef]
- Ardakani, A.; Bayat, M.; Javanmard, M. Numerical modeling of soil nail walls considering mohr coulomb, hardening soil and hardening soil with small-strain stiffness effect models. Geomech. Eng. 2014, 6, 391–401. [Google Scholar] [CrossRef]
- Liu, B.; Xu, W.; Zhang, D.W.; Zhang, Q.B. Deformation behaviors and control indexes of metro-station deep excavations based on case histories. Tunn. Undergr. Space Technol. 2022, 122, 104400. [Google Scholar] [CrossRef]
- Zhao, X.; Li, Z.W.; Dai, G.L.; Wang, H.X.; Yin, Z.W.; Cao, S.N. Numerical Study on the Effect of Large Deep Foundation Excavation on Underlying Complex Intersecting Tunnels. Appl. Sci. 2022, 12, 4530. [Google Scholar] [CrossRef]
- Huynh, Q.T.; Lai, V.Q.; Boonyatee, T.; Keawsawasvong, S. Behavior of a deep excavation and damages on adjacent buildings: A case study in Vietnam. Transp. Infrastruct. Geotechnol. 2021, 8, 361–389. [Google Scholar] [CrossRef]
- Huynh, Q.T.; Lai, V.Q.; Boonyatee, T.; Keawsawasvong, S. Verification of soil parameters of hardening soil model with small-strain stiffness for deep excavations in medium dense sand in Ho Chi Minh City, Vietnam. Innov. Infrastruct. Solut. 2022, 7, 15. [Google Scholar] [CrossRef]
- Liu, B.; Zhang, D.W.; Li, J.C. Prediction formula and its application of existing tunnel deformation induced by laterally adjacent deep excavation based on case statistics. Rock Soil Mech. 2022, 43, 501–512. [Google Scholar] [CrossRef]
- Lee, K.M.; Ge, X.W. The equivalence of a jointed shield-driven tunnel lining to a continuous ring structure. Can. Geotech. J. 2001, 38, 461–483. [Google Scholar] [CrossRef]
- Ye, F.; Gou, C.F.; Sun, H.D.; Liu, Y.P.; Xia, Y.X.; Zhou, Z. Model test study on effective ratio of segment transverse bending rigidity of shield tunnel. Tunn. Undergr. Space Technol. 2014, 41, 193–205. [Google Scholar] [CrossRef]
- Zheng, G.; Lei, Y.W.; Cui, T.; Cheng, X.S.; Diao, Y.; Zhang, T.Q.; Sun, J.B. Experimental research on the transverse effective bending rigidity of shield tunnels. Adv. Civ. Eng. 2019, 2019, 2174562. [Google Scholar] [CrossRef]
- Tang, Y.F.; Chen, H.C.; Ye, Z.W.; Liu, T.J.; Yang, Y.B. Experimental study on the transverse effective bending rigidity of segmental lining structures. Adv. Civ. Eng. 2020, 2020, 8836505. [Google Scholar] [CrossRef]
- Huang, D.W.; Jiang, H.; Luo, W.J.; Xiong, H.; Tang, B.Z.; Xu, J.H. Algorithm for an effective ratio of the transverse bending rigidity based on the segment joint bending stiffness. Appl. Sci. 2022, 12, 1901. [Google Scholar] [CrossRef]
- CCES. CCES 03–2016: Guideline for Safety Assessment and Control Technology of Adjacent Structures Impacted by Deep Excavation and Tunneling in Soft Soils of Urban Area; China Architecture & Building Press: Beijing, China, 2016. [Google Scholar]
- MOHURD. CJJ/T 202–2013: Technical Code for Protection Structure of Urban Rail Transit; China Architecture & Building Press: Beijing, China, 2013. [Google Scholar]
- Gong, X.N. Ground Improvement Handbook, 3rd ed.; China Architecture & Building Press: Beijing, China, 2008. [Google Scholar]
- Liu, G.B.; Wang, W.D. Excavation Engineering Handbook, 2nd ed.; China Architecture & Building Press: Beijing, China, 2009. [Google Scholar]

















| No. | Parameters | Values | No. | Parameters | Values |
|---|---|---|---|---|---|
| 1 | 19.8 kN/m3 | 9 | 0.8 | ||
| 2 | 0.6 | 10 | 0.2 | ||
| 3 | 14.0 kPa | 11 | 100 kPa | ||
| 4 | 25.7° | 12 | 0.9 | ||
| 5 | 0 | 13 | 0.57 | ||
| 6 | 7.2 MPa | 14 | 99.3 MPa | ||
| 7 | 5.1 MPa | 15 | 0.20 × 10−3 | ||
| 8 | 36.8 MPa |
| He (m) | δhm (m) | Deformation Mode of DW | Ht (m) | Lt (m) | Number |
|---|---|---|---|---|---|
| 18 | 0.18%He | convex type | 9, 12, 15, 18, 24, 30, 36, 42, 48, 54 | 6, 9, 12, 15, 18, 24, 30, 36, 42, 48, 54 | 110 |
| 20 mm | 10 mm | 5 mm | ||||||
|---|---|---|---|---|---|---|---|---|
| M | N1 | N2 | M | N1 | N2 | M | N1 | N2 |
| 0.60 | 1.30 | 1.70 | 1.35 | 1.30 | 2.35 | 2.15 | 1.5 | 3.30 |
| qu (MPa) | c (kPa) | φ (°) | E (MPa) | γ (kN/m3) | ν |
|---|---|---|---|---|---|
| 0.5 | 125 | 21 | 65 | 20.0 | 0.34 |
| 1 | 250 | 22 | 130 | 20.2 | 0.32 |
| 1.5 | 375 | 23 | 195 | 20.4 | 0.30 |
| 2 | 500 | 24 | 260 | 20.6 | 0.28 |
| 2.5 | 625 | 25 | 325 | 20.8 | 0.26 |
| 3 | 750 | 26 | 390 | 21.0 | 0.24 |
| 3.5 | 875 | 27 | 455 | 21.2 | 0.22 |
| 4 | 1000 | 28 | 520 | 21.4 | 0.20 |
| 20 mm | 10 mm | 5 mm | ||||||
|---|---|---|---|---|---|---|---|---|
| M | N1 | N2 | M | N1 | N2 | M | N1 | N2 |
| / | / | / | 0.55 | 1.45 | 1.75 | 0.90 | 1.75 | 2.50 |
Publisher’s Note: MDPI stays neutral with regard to jurisdictional claims in published maps and institutional affiliations. |
© 2022 by the authors. Licensee MDPI, Basel, Switzerland. This article is an open access article distributed under the terms and conditions of the Creative Commons Attribution (CC BY) license (https://creativecommons.org/licenses/by/4.0/).
Share and Cite
Liu, B.; Shao, C.; Xu, W. Influenced Zone of Deep Excavation on Adjacent Tunnel Displacement and Control Effect of Ground Improvement in Soft Soil. Appl. Sci. 2022, 12, 9047. https://doi.org/10.3390/app12189047
Liu B, Shao C, Xu W. Influenced Zone of Deep Excavation on Adjacent Tunnel Displacement and Control Effect of Ground Improvement in Soft Soil. Applied Sciences. 2022; 12(18):9047. https://doi.org/10.3390/app12189047
Chicago/Turabian StyleLiu, Bo, Chengmeng Shao, and Wen Xu. 2022. "Influenced Zone of Deep Excavation on Adjacent Tunnel Displacement and Control Effect of Ground Improvement in Soft Soil" Applied Sciences 12, no. 18: 9047. https://doi.org/10.3390/app12189047
APA StyleLiu, B., Shao, C., & Xu, W. (2022). Influenced Zone of Deep Excavation on Adjacent Tunnel Displacement and Control Effect of Ground Improvement in Soft Soil. Applied Sciences, 12(18), 9047. https://doi.org/10.3390/app12189047

