A Direction-Sensitive Microwave Sensor for Metal Crack Detection
Abstract
:Featured Application
Abstract
1. Introduction
2. Sensor Design
2.1. Sensor Geometry
2.2. Equivalent Circuit Model
2.3. Realization of Crack Direction Detection
2.4. Realization of Improved Current Distribution
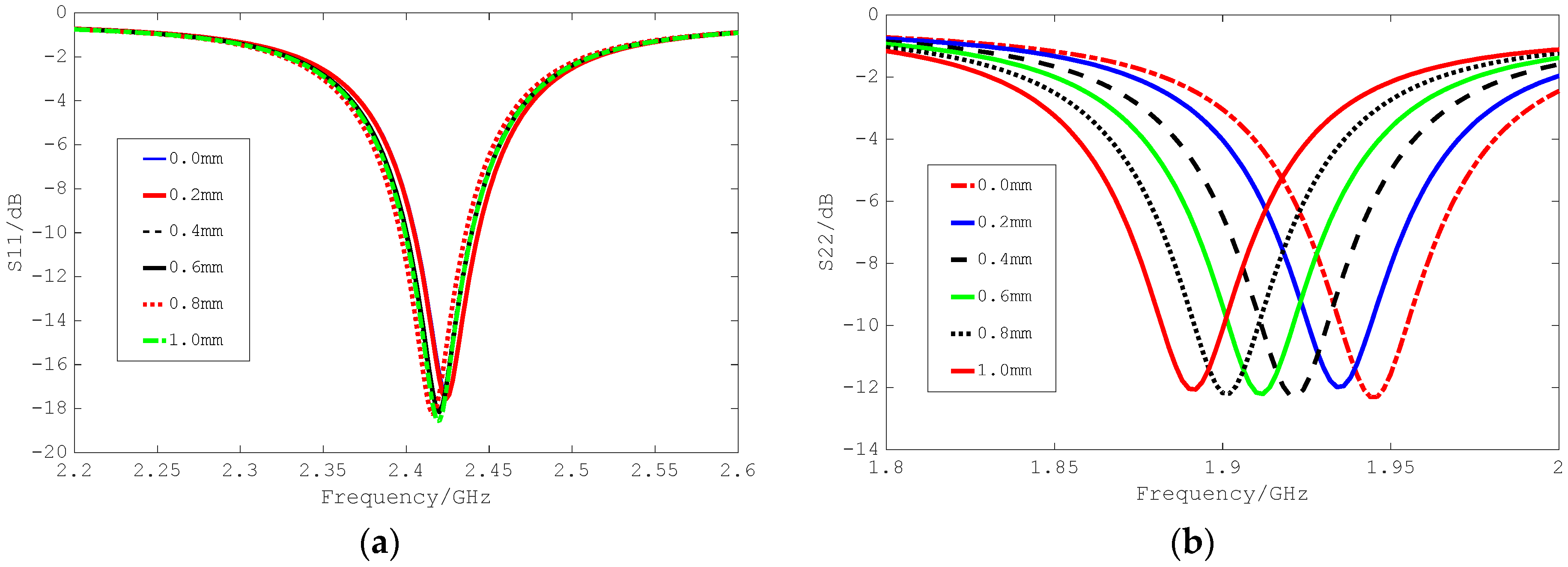
3. Simulation Study on Metal Crack Detection and Characterization
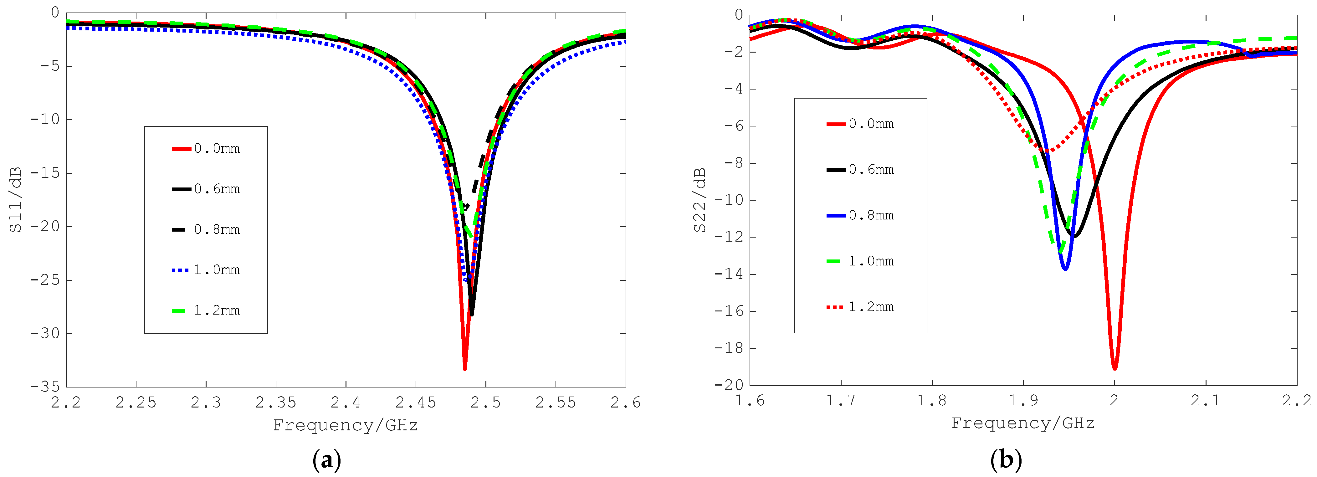
4. Experimental Study and Discussion
5. Conclusions
Author Contributions
Funding
Institutional Review Board Statement
Informed Consent Statement
Conflicts of Interest
References
- Ajgaonkar, A.; Vichare, S.; Badgujar, R.; Bansode, M.; Karia, D.; Bambole, A. Remote Structural Health Monitoring. In Proceedings of 2020 International Conference on Convergence to Digital World-QuoVadis (ICCDW), Mumbai, India, 18–20 February 2020. [Google Scholar]
- Salim, A.; Naqvi, A.H.; Pham, A.D.; Lim, S. Complementary Split-Ring Resonator (CSRR)-Loaded Sensor Array to Detect Multiple Cracks: Shapes, Sizes, and Positions on Metallic Surface. IEEE Access 2020, 8, 151804–151816. [Google Scholar] [CrossRef]
- Yuan, F.; Yu, Y.; Liu, B.; Tian, G. Investigation on Velocity Effect in Pulsed Eddy Current Technique for Detection Cracks in Ferromagnetic Material. IEEE Trans. Magn. 2020, 56, 1–8. [Google Scholar] [CrossRef]
- Li, X.; Tian, G.; Li, K.; Wang, H.; Zhang, Q. Differential ECT Probe Design and Investigation for Detection of Rolling Contact Fatigue Cracks With Different Orientations. IEEE Sens. J. 2022, 22, 11615–11625. [Google Scholar] [CrossRef]
- Gong, Z.; Yang, S. Metamaterial-Core Probes for Nondestructive Eddy Current Testing. IEEE Trans. Instrum. Meas. 2021, 70, 1–9. [Google Scholar] [CrossRef]
- Wang, Y.; Han, S.; Yu, Y.; Qi, X.; Zhang, Y.; Lian, Y.; Bai, Z.; Wang, Y.; Lv, Z. Numerical Simulation of Metal Defect Detection Based on Laser Ultrasound. IEEE Photonics J. 2021, 13, 1–9. [Google Scholar] [CrossRef]
- Xie, Y.; Chen, S.; Wan, X.; Tse, P.W. A Preliminary Numerical Study on the Interactions Between Nonlinear Ultrasonic Guided Waves and a Single Crack in Bone Materials With Motivation to the Evaluation of Micro Cracks in Long Bones. IEEE Access 2020, 8, 169169–169182. [Google Scholar] [CrossRef]
- Simonetti, F.; Satow, I.L.; Brath, A.J.; Wells, K.C.; Porter, J.; Hayes, B.; Davis, K. Cryo-Ultrasonic NDE: Ice–Cold Ultrasonic Waves for the Detection of Damage in Complex-Shaped Engineering Components. IEEE Trans. Ultrason. Ferroelectr. Freq. Control. 2018, 65, 638–647. [Google Scholar] [CrossRef] [PubMed]
- Wu, Q.; Wang, R.; Yu, F.; Okabe, Y. Application of an Optical Fiber Sensor for Nonlinear Ultrasonic Evaluation of Fatigue Crack. IEEE Sens. J. 2019, 19, 4992–4999. [Google Scholar] [CrossRef]
- Jinachandran, S.; Ning, Y.; Wu, B.; Li, H.; Xi, J.; Gangadhara Prusty, B.; Rajan, G. Cold Crack Monitoring and Localization in Welding Using Fiber Bragg Grating Sensors. IEEE Trans. Instrum. Meas. 2020, 69, 9228–9236. [Google Scholar] [CrossRef]
- Xiong, L.; Guo, Y.; Jiang, G.; Jiang, L.; Zhou, X. Fiber Bragg Grating Displacement Sensor With High Measurement Accuracy for Crack Monitoring. IEEE Sens. J. 2019, 19, 10506–10512. [Google Scholar] [CrossRef]
- Zhang, J.; Huang, H.; Huang, C.; Zhang, B.; Li, Y.; Wang, K.; Su, D.; Tian, G.Y. A Configurable Dielectric Resonator-Based Passive Wireless Sensor for Crack Monitoring. IEEE Trans. Antennas Propag. 2019, 67, 5746–5749. [Google Scholar] [CrossRef]
- Albishi, A.M.; Ramahi, O.M. Microwaves-Based High Sensitivity Sensors for Crack Detection in Metallic Materials. IEEE Trans. Microw. Theory Tech. 2017, 65, 1864–1872. [Google Scholar] [CrossRef]
- Marindra, A.M.J.; Tian, G.Y. Chipless RFID Sensor Tag for Metal Crack Detection and Characterization. IEEE Trans. Microw. Theory Tech. 2018, 66, 2452–2462. [Google Scholar] [CrossRef]
- Genovesi, S.; Costa, F.; Borgese, M.; Dicandia, F.A.; Monorchio, A.; Manara, G. Chipless RFID sensor for rotation monitoring. In Proceedings of the 2017 IEEE International Conference on RFID Technology & Application (RFID-TA), Warsaw, Poland, 20–22 September 2017. [Google Scholar]
- Wang, Q.; Bi, K.; Hao, Y.; Guo, L.; Dong, G.; Wu, H.; Lei, M. High-Sensitivity Dielectric Resonator-Based Waveguide Sensor for Crack Detection on Metallic Surfaces. IEEE Sens. J. 2019, 19, 5470–5474. [Google Scholar] [CrossRef]
- Yang, X.; Wang, Z.; Su, P.; Xie, Y.; Yuan, J.; Zhu, Z. A Method for Detecting Metal Surface Cracks Based on Coaxial Resonator. IEEE Sens. J. 2021, 21, 16644–16650. [Google Scholar]
- Alahnomi, R.A.; Zakaria, Z.; Shairi, N.A.; Mohd Yusof, Z.; Mohd Bahar, A.A.; Alhegazi, A. Detection of Surface Cracks in Metallic Materials Using an Enhanced Symmetrical Split Ring Resonator. In Proceedings of the 2019 13th European Conference on Antennas and Propagation (EuCAP), Krakow, Poland, 31 March–5 April 2019. [Google Scholar]
- Huang, C.; Zhou, X.; Rong, K.; Cao, J.; Zhang, J.; Wang, K. Smart Coating based on Frequency-Selective Spoof Surface Plasmon Polaritons for Crack Monitoring. In Proceedings of the 2020 IEEE 3rd International Conference on Electronic Information and Communication Technology (ICEICT), Shenzhen, China, 13–15 November 2020. [Google Scholar]
- Norouzi, M.; Masoumi, N.; Jahed, H. Nondestructive Phase Variation-Based Chipless Sensing Methodology for Metal Crack Monitoring. IEEE Trans. Instrum. Meas. 2021, 70, 1–11. [Google Scholar] [CrossRef]
- Tong, C.; Song, R.; Guan, H.; Yang, Y.; He, D. Conformal metal crack detection sensor based on flexible graphene film antenna. Int. J. RF Microw. Comput. Aided Eng. 2022, 32, e23172. [Google Scholar] [CrossRef]

















| Variables | Value (mm) | Variables | Value (mm) |
|---|---|---|---|
| W | 40 | WS | 0.5 |
| W1 | 5.5 | W50 | 3 |
| W2 | 6 | L | 50 |
| W3 | 37 | L1 | 27 |
| W4 | 4.1 | L2 | 9.3 |
| W5 | 6 | L3 | 22.4 |
| W6 | 46 | L4 | 8.8 |
| Reference Frequency | Sensitivity of Crack Width (MHz/mm) | Sensitivity of Crack Depth (MHz/mm) | Sensitivity of Crack Direction Detection (MHz/5 Degrees) | |
|---|---|---|---|---|
| Simulation results (Port 1/Port 2) | 2.430/1.950 | 102/56 | 16/10 | 3.78/2.56 |
| Experiment results (Port 1/Port 2) | 2.485/2.000 | 100/63.3 | 20/14 | 6.07/1.93 |
| This Work | Reference [8] | Reference [10] | Reference [11] | |
|---|---|---|---|---|
| Frequency (GHz) | 2.485/2.000 | 4.91 | 4.35 | 2.25/3.12 |
| Sensitivity of crack width (MHz/mm) | 100/63.3 | 77.50 | 50 | 36.82 |
| Sensitivity of crack depth (MHz/mm) | 20/14 | 57.50 | 50 | NULL |
| Ability of crack direction detection | YES | NO | NO | NO |
Publisher’s Note: MDPI stays neutral with regard to jurisdictional claims in published maps and institutional affiliations. |
© 2022 by the authors. Licensee MDPI, Basel, Switzerland. This article is an open access article distributed under the terms and conditions of the Creative Commons Attribution (CC BY) license (https://creativecommons.org/licenses/by/4.0/).
Share and Cite
Qian, B.; Mou, L.; Wu, L.; Xiao, Z.; Hu, T.; Jiang, J. A Direction-Sensitive Microwave Sensor for Metal Crack Detection. Appl. Sci. 2022, 12, 9045. https://doi.org/10.3390/app12189045
Qian B, Mou L, Wu L, Xiao Z, Hu T, Jiang J. A Direction-Sensitive Microwave Sensor for Metal Crack Detection. Applied Sciences. 2022; 12(18):9045. https://doi.org/10.3390/app12189045
Chicago/Turabian StyleQian, Boyang, Liang Mou, Li Wu, Zelong Xiao, Taiyang Hu, and Jinwei Jiang. 2022. "A Direction-Sensitive Microwave Sensor for Metal Crack Detection" Applied Sciences 12, no. 18: 9045. https://doi.org/10.3390/app12189045
APA StyleQian, B., Mou, L., Wu, L., Xiao, Z., Hu, T., & Jiang, J. (2022). A Direction-Sensitive Microwave Sensor for Metal Crack Detection. Applied Sciences, 12(18), 9045. https://doi.org/10.3390/app12189045

