Evaluation of Different Chemical Mechanisms on O3 and PM2.5 Predictions in Alberta, Canada
Abstract
:1. Introduction
2. Materials and Methods
2.1. Study Area and Models
2.2. Monitoring Stations
2.3. Emissions
2.4. Model Performance Evaluation
3. Results and Discussion
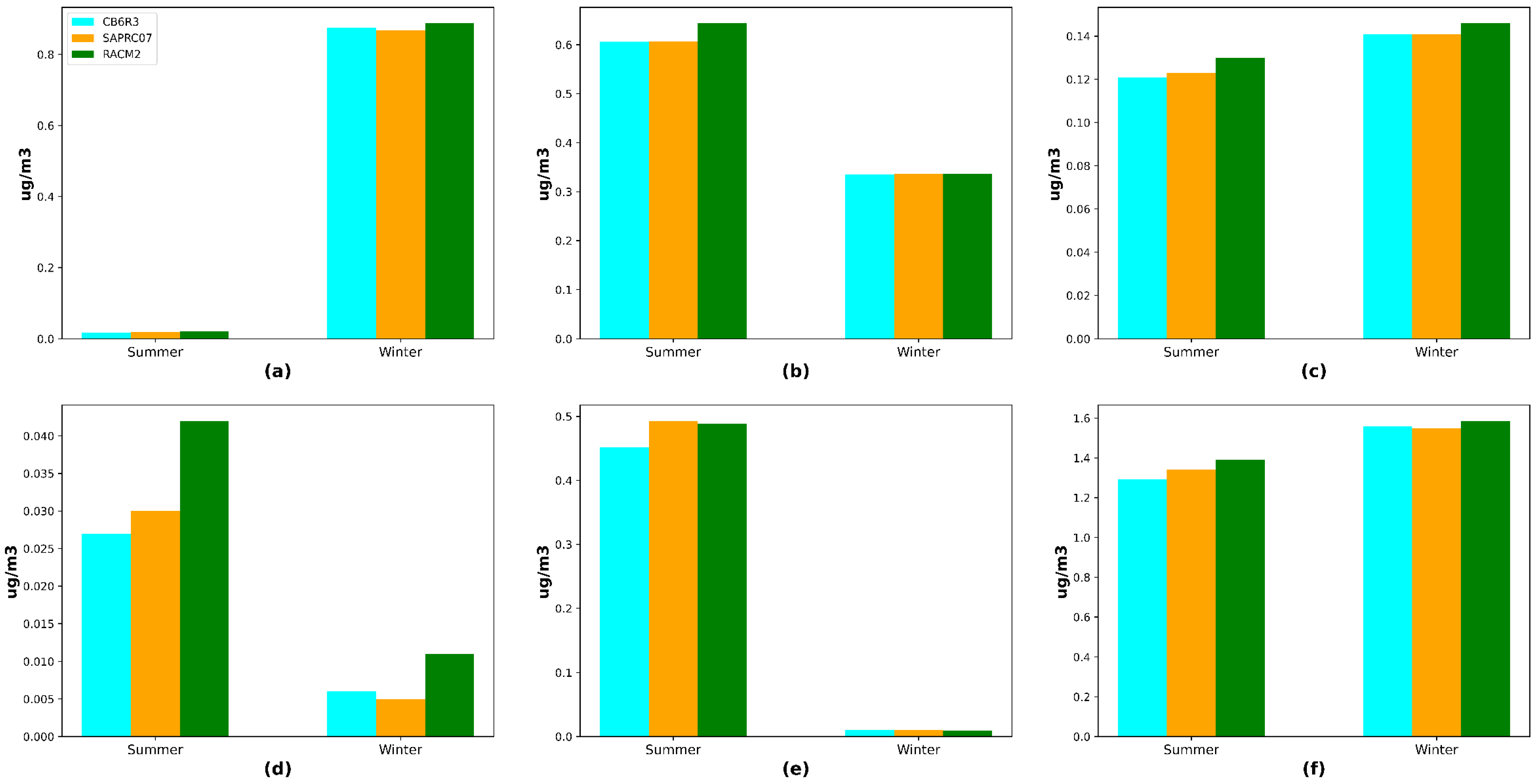
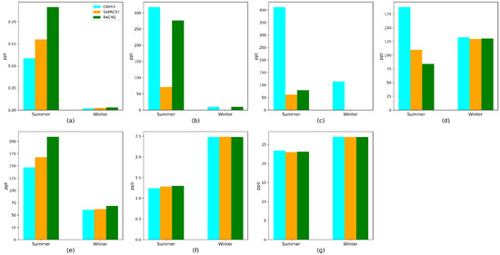
3.1. Precursors
3.1.1. OH
3.1.2. H2O2
3.1.3. MEPX
3.1.4. PAN
3.1.5. TNO3
3.1.6. NOx
3.2. O3
3.2.1. Diurnal Variation
3.2.2. Spatial Variation of O3
Summer
Winter
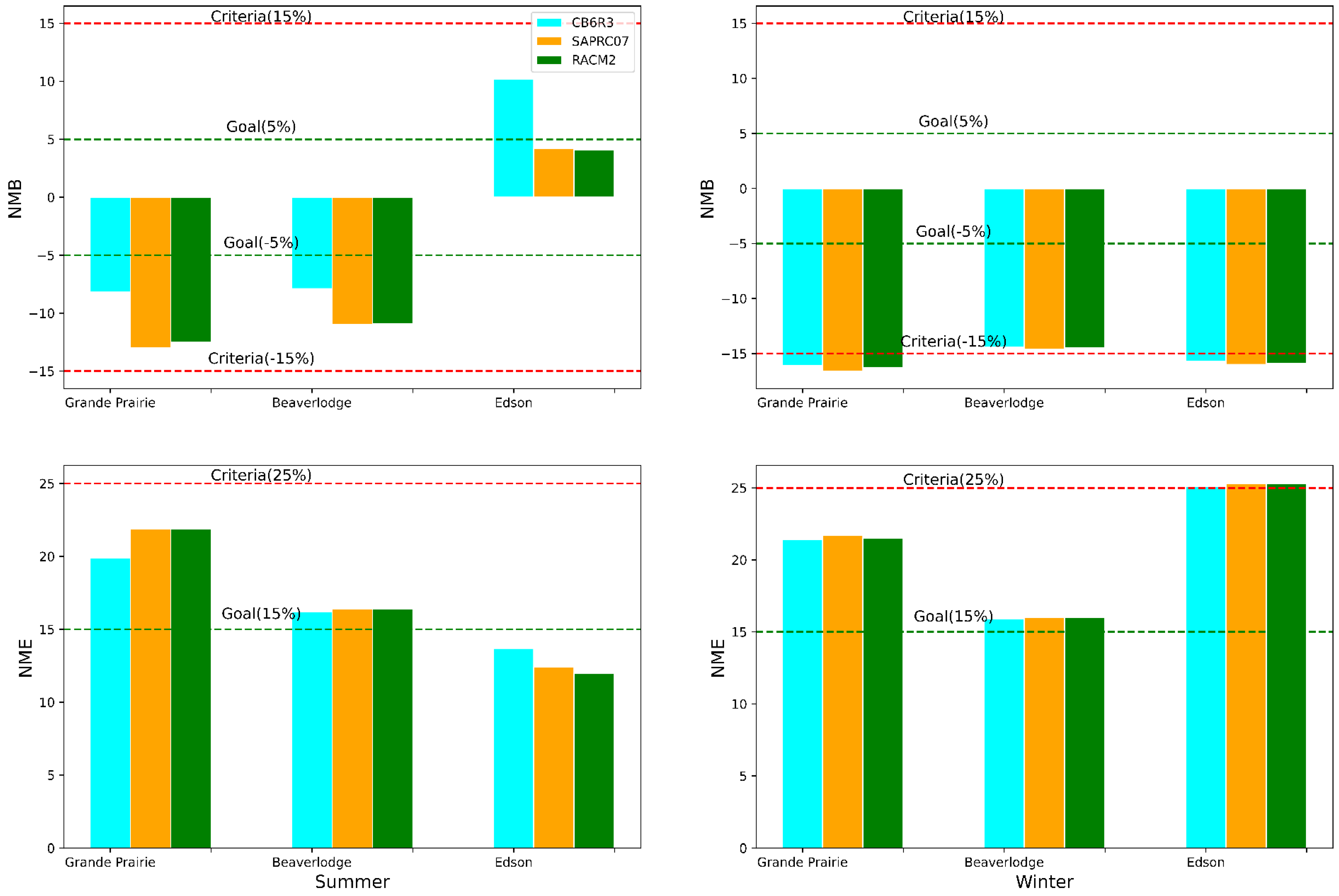
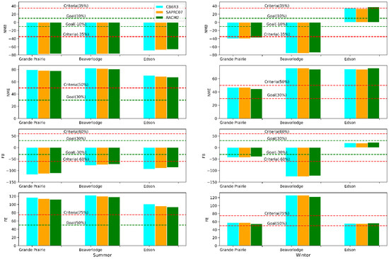
3.2.3. Model Performance
Grande Prairie
Beaverlodge
Edson
3.2.4. Discussion
3.3. Fine Particulate (PM2.5)
3.3.1. Spatial Variation
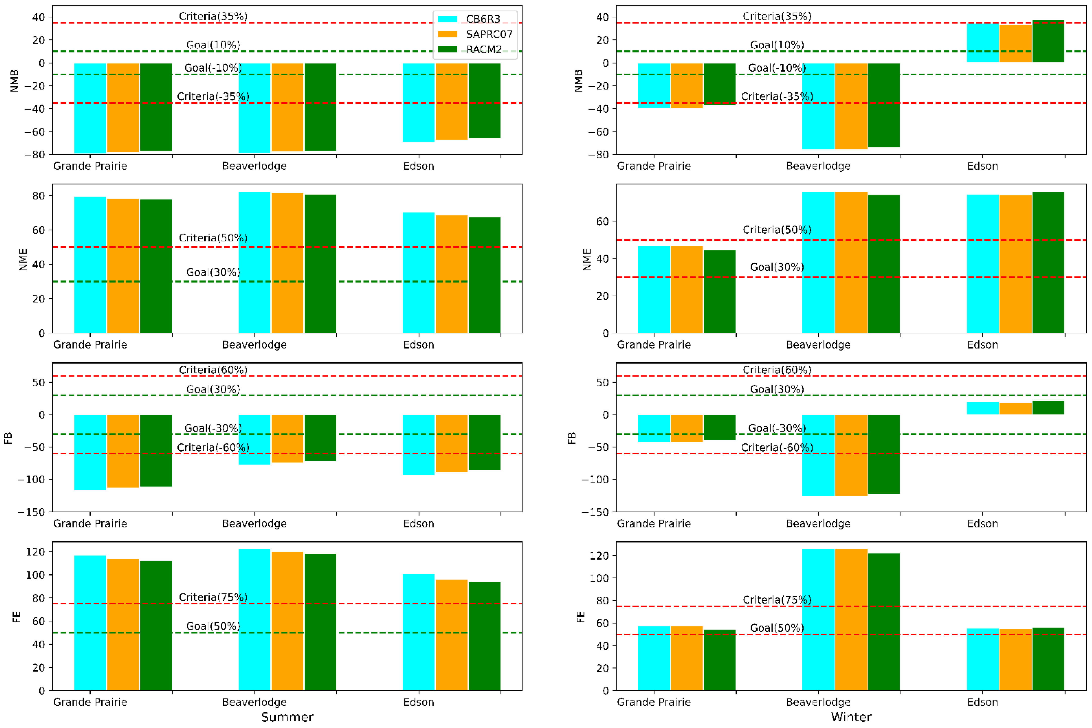
3.3.2. Model Performance
Grande Prairie
Beaverlodge
Edson
3.3.3. Discussion
4. Summary and Conclusions
Supplementary Materials
Author Contributions
Funding
Acknowledgments
Conflicts of Interest
References
- Lefohn, A.S.; Malley, C.S.; Smith, L.; Wells, B.; Hazucha, M.; Simon, H.; Naik, V.; Mills, G.; Schultz, M.G.; Paoletti, E.; et al. Tropospheric ozone assessment report: Global ozone metrics for climate change, human health, and crop/ecosystem research. Elem. Sci. Anthr. 2018, 6, 7. [Google Scholar] [CrossRef] [PubMed]
- Wilson, S.R.; Madronich, S.; Longstreth, J.D.; Solomon, K.R. Interactive effects of changing stratospheric ozone and climate on tropospheric composition and air quality, and the consequences for human and ecosystem health. Photochem. Photobiol. Sci. 2019, 18, 775–803. [Google Scholar] [CrossRef] [PubMed]
- Grulke, N.E.; Heath, R.L. Ozone effects on plants in natural ecosystems. Plant Biol. 2019, 22, 12–37. [Google Scholar] [CrossRef] [PubMed]
- Xu, X.; Lin, W.; Xu, W.; Jin, J.; Wang, Y.; Zhang, G.; Zhang, X.; Ma, Z.; Dong, Y.; Ma, Q.; et al. Long-term changes of regional ozone in China: Implications for human health and ecosystem impacts. Elem. Sci. Anthr. 2020, 8, 13. [Google Scholar] [CrossRef]
- Stieb, D.M.; Evans, G.J.; To, T.M.; Brook, J.R.; Burnett, R.T. An ecological analysis of long-term exposure to PM2. 5 and incidence of COVID-19 in Canadian health regions. Environ. Res. 2020, 191, 110052. [Google Scholar] [CrossRef]
- Domingo, J.L.; Rovira, J. Effects of air pollutants on the transmission and severity of respiratory viral infections. Environ. Res. 2020, 187, 109650. [Google Scholar] [CrossRef]
- ApSimon, H.; Oxley, T.; Woodward, H.; Mehlig, D.; Dore, A.; Holland, M. The UK Integrated Assessment Model for source apportionment and air pollution policy applications to PM2.5. Environ. Int. 2021, 153, 106515. [Google Scholar] [CrossRef]
- Oikonomakis, E.; Aksoyoglu, S.; Ciarelli, G.; Baltensperger, G.; Prévôt, A.S.H. Low modeled ozone production suggests underestimation of precursor emissions (especially NOx) in Europe. Atmos. Chem. Phys. 2018, 18, 2175–2198. [Google Scholar] [CrossRef]
- Shareef, M.; Husain, T.; Alharbi, B. Studying the Effect of Different Gas-Phase Chemical Kinetic Mechanisms on the Formation of Oxidants, Nitrogen Compounds and Ozone in Arid Regions. J. Environ. Prot. 2019, 10, 1006–1031. [Google Scholar] [CrossRef]
- Nopmongcol, U.; Johnson, J.; Shah, T.; Vennam, P.; Trail, M.; Morris, R.; Allan, W.; Qiu, X.; Vatcher, C.; Yang, F. Provincial Air Quality Photochemical Modelling Final Report; Prepared for Alberta Environment and Parks; Ramboll: Novata, CA, USA; Novus Environmental: Guelph, ON, Canada, 2018. [Google Scholar]
- Li, X.; Rappenglueck, B. A study of model nighttime ozone bias in air quality modeling. Atmos. Environ. 2018, 195, 210–228. [Google Scholar] [CrossRef]
- Goliff, W.S.; Stockwell, W.R.; Lawson, C.V. The regional atmospheric chemistry mechanism, version 2. Atmos. Environ. 2013, 68, 174–185. [Google Scholar] [CrossRef]
- Carter, W.P. Development of the SAPRC-07 chemical mechanism. Atmos. Environ. 2010, 44, 5324–5335. [Google Scholar] [CrossRef]
- Gery, M.W.; Whitten, G.Z.; Killus, J.P.; Dodge, M.C. A photochemical kinetics mechanism for urban and regional scale computer modeling. J. Geophys. Res. Atmos. 1989, 94, 12925–12956. [Google Scholar] [CrossRef]
- Yarwood, G.; Rao, S.; Yocke, M.; Whitten, G. Updates to the Carbon Bond Chemical Mechanism: CB05. Final report to the US EPA, RT-0400675. 2005. Available online: http://www.camx.com/publ/pdfs/cb05final\report\120805.aspx (accessed on 1 July 2015).
- Whitten, G.Z.; Heo, G.; Kimura, Y.; McDonald-Buller, E.; Allen, D.T.; Carter, W.P.; Yarwood, G. A new condensed toluene mechanism for Carbon Bond: CB05-TU. Atmos. Environ. 2010, 44, 5346–5355. [Google Scholar] [CrossRef]
- Stockwell, W.R. A homogeneous gas phase mechanism for use in a regional acid deposition model. Atmos. Environ. 1986, 20, 1615–1632. [Google Scholar] [CrossRef]
- Stockwell, W.R.; Middleton, P.; Chang, J.S.; Tang, X. The second-generation regional acid deposition model chemical mechanism for regional air quality modeling. J. Geophys. Res. Atmos. 1990, 95, 16343–16367. [Google Scholar] [CrossRef]
- Stockwell, W.R.; Kirchner, F.; Kuhn, M.; Seefeld, S. A new mechanism for regional atmospheric chemistry modeling. J. Geophys. Res. 1997, 102, 25847–25879. [Google Scholar] [CrossRef]
- RACM2 Species: USAEPA CMAQ. Available online: https://github.com/USEPA/CMAQ/blob/main/CCTM/src/MECHS/mechanism_information/racm2_ae6_aq/racm2_ae6_aq_species_table.md (accessed on 16 August 2022).
- SAPRC07 Species: USAEPA CMAQ. Available online: https://github.com/USEPA/CMAQ/blob/main/CCTM/src/MECHS/mechanism_information/saprc07tc_ae6_aq/saprc07tc_ae6_aq_species_table.md (accessed on 16 August 2022).
- Carter, W.P. Documentation of the SAPRC-99 chemical mechanism for VOC reactivity assessment. Contract 2000, 92, 95–308. [Google Scholar]
- Sarwar, G.; Luecken, D.; Yarwood, G.; Whitten, G.Z.; Carter, W.P. Impact of an updated carbon bond mechanism on predictions from the CMAQ modeling system: Preliminary assessment. J. Appl. Meteorol. Climatol. 2008, 47, 3–14. [Google Scholar] [CrossRef]
- CB6R3 Species: USAEPA CMAQ. Available online: https://github.com/USEPA/CMAQ/blob/main/CCTM/src/MECHS/mechanism_information/cb6r3_ae7_aq/cb6r3_ae7_aq_species_table.md (accessed on 16 August 2022).
- Emery, C.; Jung, J.; Downey, N.; Johnson, J.; Jimnez, M.; Yarwood, G.; Morris, R. Regional and global modeling estimates of policy relevant background ozone over the United States. Atmos. Environ. 2012, 47, 206–217. [Google Scholar] [CrossRef]
- Luecken, D.J.; Yarwood, G.; Hutzell, W.T. Multipollutant modeling of ozone, reactive nitrogen and HAPs across the continental US with CMAQ-CB6. Atmos. Environ. 2019, 201, 62–72. [Google Scholar] [CrossRef] [PubMed]
- Jimenez, P.; Baldasano, J.M.; Dabdub, D. Comparison of photochemical mechanisms for air quality modeling. Atmos. Environ. 2003, 37, 4179–4194. [Google Scholar] [CrossRef]
- Gross, A.; Stockwell, W.R. Comparison of the EMEP, RADM2 and RACM mechanisms. J. Atmos. Chem. 2003, 44, 151–170. [Google Scholar] [CrossRef]
- Byun, D.; Schere, K.L. Review of the governing equations, computational algorithms, and other components of the Models-3 Community Multiscale Air Quality (CMAQ) modeling system. Appl. Mech. Rev. 2006, 59, 51–77. [Google Scholar] [CrossRef]
- Faraji, M.; Kimura, Y.; McDonald-Buller, E.; Allen, D. Comparison of the carbon bond and SAPRC photochemical mechanisms under conditions relevant to southeast Texas. Atmos. Environ. 2008, 42, 5821–5836. [Google Scholar] [CrossRef]
- Luecken, D.J.; Phillips, S.; Sarwar, G.; Jang, C. Effects of using the CB05 vs. SAPRC99 vs. CB4 chemical mechanism on model predictions: Ozone and gas-phase photochemical precursor concentrations. Atmos. Environ. 2008, 42, 5805–5820. [Google Scholar] [CrossRef]
- Sarwar, G.; Godowitch, J.; Henderson, B.H.; Fahey, K.; Pouliot, G.; Hutzell, W.T.; Mathur, R.; Kang, D.; Goliff, W.S.; Stockwell, W.R. A comparison of atmospheric composition using the Carbon Bond and Regional Atmospheric Chemistry Mechanisms. Atmos. Chem. Phys. 2013, 13, 9695–9712. [Google Scholar] [CrossRef]
- Gupta, M.; Mohan, M. Validation of WRF/Chem model and sensitivity of chemical mechanisms to ozone simulation over megacity Delhi. Atmos. Environ. 2015, 122, 220–229. [Google Scholar] [CrossRef]
- Kitayamaa, K.; Morinoa, Y.; Yamaji, K.; Chatania, S. Uncertainties in O3 concentrations simulated by CMAQ over Japan using four chemical mechanisms. Atmos. Environ. 2019, 198, 448–462. [Google Scholar] [CrossRef]
- Chen, C.H.; Chen, T.F.; Huang, S.P.; Chang, K.H. Comparison of the RADM2 and RACM chemical mechanisms in O3 simulations: Effect of the photolysis rate constant. Sci. Rep. 2021, 11, 1–15. [Google Scholar] [CrossRef]
- Cao, L.; Li, S.; Sun, L. Study of different Carbon Bond 6 (CB6) mechanisms by using a concentration sensitivity analysis. Atmos. Chem. Phys. 2021, 21, 12687–12714. [Google Scholar] [CrossRef]
- Municipal District of Greenview Data, Government of Alberta. Available online: https://regionaldashboard.alberta.ca/region/greenview-no-16/#/ (accessed on 16 August 2022).
- Canadian Council of Ministers of the Environment. Guidance Document on Air Zone Management. 2019. Available online: https://ccme.ca/en/res/guidancedocumentonairzonemanagement_secured.pdf (accessed on 14 August 2022).
- Skamarock, W.C.; Klemp, J.B.; Dudhia, J.; Gill, D.O.; Barker, D.M.; Wang, W.; Powers, J.G. A description of the Advanced Research WRF version 3. NCAR Technical note 475. 2008. [Google Scholar]
- NPRI 2013 (National Pollutant Release Inventory). NPRI Pollutant Inventory. Available online: https://data-donnees.ec.gc.ca/data/substances/plansreports/reporting-facilities-pollutant-release-and-transfer-data/bulk-data-files-for-all-years-releases-disposals-transfers-and-facility-locations/NPRI-INRP_GeolocationsGeolocalisation_1993-present.csv (accessed on 7 August 2022).
- AEP (Alberta Environment and Parks). Development of Air Emission Inventories and Modelling Input Files for Upper Athabasca and Upper Peace Regional Strategic Assessment Report; Alberta Environment and Parks: Edmonton, AB, Canada, 2016. [Google Scholar]
- AEP (Alberta Environment and Parks). Updating Small Upstream Oil and Gas (SUOG) Information of Provincial Air Emissions Inventories in Support of Regional Air Emissions Modelling Report; Alberta Environment and Parks: Edmonton, AB, Canada, 2017. [Google Scholar]
- Leaf Area Index, Biospheric Atmospheric Interactions Group; University of California: Irvine, CA, USA, 2019; Available online: https://bai.ess.uci.edu/megan/data-and-code/lai (accessed on 16 August 2022).
- Emery, C.; Liu, Z.; Russell, A.G.; Odman, M.T.; Yarwood, G.; Kumar, N. Recommendations on statistics and benchmarks to assess photochemical model performance. J. Air Waste Manag. Assoc. 2017, 67, 582–598. [Google Scholar] [CrossRef] [PubMed]
- Boylan, J.W.; Russell, A.G. PM and Light Extinction Model Performance Metrics, goals and Criteria for Three-Dimensional Air Quality Models. Atmos. Environ. 2006, 40, 4946–4959. [Google Scholar] [CrossRef]
- Seinfeld, J.H.; Pandis, S.N. Atmospheric Chemistry and Physics: From Air Pollution to Climate Change; John Wiley and Sons: Hoboken, NJ, USA, 2012. [Google Scholar]
- LaFranchi, B.W.; Wolfe, G.M.; Thornton, J.A.; Harrold, S.A.; Browne, E.C.; Min, K.E.; Woolridge, P.J.; Gilman, J.B.; Kuster, W.C.; Goldan, P.D.; et al. Closing the peroxy acetyl nitrate budget: Observations of acyl peroxy nitrates (PAN, PPN, and MPAN) during BEARPEX 2007. Atmos. Chem. Phys. 2009, 9, 7623–7641. [Google Scholar] [CrossRef]
- Stockwell, W.R. Peer Review of the SAPRC-07 Chemical Mechanism Model of Dr. William Carter, Prepared for California Air Resources Board; Department of Chemistry, Howard University: Washington, DC, USA, 2009. [Google Scholar]
- Yarwood, G.; Jung, J.; Whitten, G.Z.; Heo, G.; Mellberg, J.; Estes, E. Updates to the Carbon Bond Mechanism for Version 6 (CB6). In Proceedings of the 9th Annual CMAS Conference, Chapel Hill, NC, USA, 11–13 October 2010. [Google Scholar]
- Petetin, H.; Sciare, J.; Bressi, M.; Gros, V.; Rosso, A.; Sanchez, O.; Sarda-Esteve, R.; Petit, J.-E.; Beekmann, M. Assessing the ammonium nitrate formation regime in the Paris megacity and its representation in the CHIMERE model. Atmos. Chem. Phys. 2016, 16, 10419–10440. [Google Scholar] [CrossRef]
- Coates, J.; Mar, K.A.; Ojha, N.; Butler, T.M. The influence of temperature on ozone production under varying NOx conditions—A modelling study. Atmos. Chem. Phys. 2016, 16, 11601–11615. [Google Scholar] [CrossRef]
- Schell, B.; Ackermann, I.J.; Hass, H.; Binkowski, F.S.; Ebel, A. Modeling the formation of secondary organic aerosol within a comprehensive air quality model system. J. Geophys. Res. 2001, 106, 28275–28293. [Google Scholar] [CrossRef]
- Pathak, R.K.; Wu, W.S.; Wang, T. Summertime PM2.5 ionic species in four major cities in China: Nitrate formation in an ammonia-deficient atmosphere. Atos. Chem. Phys. 2009, 9, 1711–1722. [Google Scholar] [CrossRef]
- Song, M.; Kim, M.; Oh, S.-H.; Park, C.; Kim, M.; Kim, M.; Lee, H.; Choe, S.; Bae, M.-S. Influences of Organic Volatile Compounds on the Secondary Organic Carbon of Fine Particulate Matter in the Fruit Tree Area. Appl. Sci. 2021, 11, 8193. [Google Scholar] [CrossRef]










| Model Option | Configuration |
|---|---|
| Horizontal Grid Mesh | 4 km |
| Vertical Grid Mesh | 22 layers up to 100 mb |
| Gas-Phase Chemistry | CB6R3, SAPRC07 and RACM2 |
| Aerosol Chemistry | AE6 |
| Secondary Organic Aerosols | SORGAM |
| Meteorological Processor | MCIP Version 4.4 |
| Horizontal Transport | PPM |
| Horizontal Diffusion | K-theory spatially varying |
| Vertical Advection Scheme | Yamartino |
| Vertical Eddy Diffusivity Scheme | ACM2 |
| Diffusivity Lower Limit | Kzmin = 0.01 to 2.0 m2/s (PURB option) (KZMIN set to true) |
| Deposition Scheme | M3dry |
| Land Surface Model (LSM) | Noah |
| Type | Emissions (tonnes) | ||||||
|---|---|---|---|---|---|---|---|
| SO2 | NOX | VOCs | PM10 | PM2.5 | CO | NH3 | |
| Point Sources Oil and Gas Extraction | 15,437 | 57,712 | 31,605 | 799 | 739 | 55,391 | 17 |
| Point Sources Other than Oil and Gas Extraction | 1794 | 6051 | 2040 | 1173 | 811 | 9789 | 67 |
| Area Sources (biogenic, on-road, off-road, residential/commercial, industrial (not large stacks), waste management, road, fugitive, construction dust) | 315 | 39,058 | 22,466 | 146,828 | 45,706 | 79,994 | 9651 |
| Total | 17,546 | 102,821 | 56,111 | 148,800 | 47,256 | 145,174 | 9735 |
| Statistical Measure | Mathematical Expression | Performance Benchmark | |
|---|---|---|---|
| Goals | Criteria | ||
| Normalized Mean Bias (NMB) (%) | MDA8 O3 < ±5% 24 h PM2.5 < ±10% | MDA8 O3 < ±15% 24 h PM2.5 < ±30% | |
| Normalized Mean Error (NME) (%) | MDA8 O3 < 15% 24 h PM2.5 < 35% | MDA8 O3 < ±25% 24 h PM2.5 < ±50% | |
| Fractionalized Bias (FB) (%) | 24 h PM2.5 < ±30% | 24 h PM2.5 < ±60% | |
| Fractional Error (FE) (%) | 24 h PM2.5 < 50% | 24 h PM2.5 < 75% | |
| MDA8—Maximum Daily 8 h Average | |||
| Species | Summer | Winter | ||
|---|---|---|---|---|
| [μg/m3] | [μmol/m3] | [μg/m3] | [μmol/m3] | |
| NO3 | 2.00 × 10−2 | 3.20 × 10−4 | 9.00 × 10−1 | 1.45 × 10−2 |
| SO4 | 6.50 × 10−1 | 6.80 × 10−3 | 3.30 × 10−1 | 3.40 × 10−3 |
| NH4 | 1.30 × 10−1 | 7.20 × 10−3 | 1.42 × 10−1 | 7.90 × 10−3 |
| Ratio | ||||
| NH4/SO4 | 1.05 | 2.33 | ||
| NH4 Type | poor | rich | ||
| NO3/SO4 | 4.70 × 10−1 | 4.27 | ||
| SOA Source | Non-mobile | Mobile/ some non-mobile | ||
Publisher’s Note: MDPI stays neutral with regard to jurisdictional claims in published maps and institutional affiliations. |
© 2022 by the authors. Licensee MDPI, Basel, Switzerland. This article is an open access article distributed under the terms and conditions of the Creative Commons Attribution (CC BY) license (https://creativecommons.org/licenses/by/4.0/).
Share and Cite
Shareef, M.; Cho, S.; Lyder, D.; Zelensky, M.; Heckbert, S. Evaluation of Different Chemical Mechanisms on O3 and PM2.5 Predictions in Alberta, Canada. Appl. Sci. 2022, 12, 8576. https://doi.org/10.3390/app12178576
Shareef M, Cho S, Lyder D, Zelensky M, Heckbert S. Evaluation of Different Chemical Mechanisms on O3 and PM2.5 Predictions in Alberta, Canada. Applied Sciences. 2022; 12(17):8576. https://doi.org/10.3390/app12178576
Chicago/Turabian StyleShareef, Mujtaba, Sunny Cho, David Lyder, Michael Zelensky, and Scott Heckbert. 2022. "Evaluation of Different Chemical Mechanisms on O3 and PM2.5 Predictions in Alberta, Canada" Applied Sciences 12, no. 17: 8576. https://doi.org/10.3390/app12178576
APA StyleShareef, M., Cho, S., Lyder, D., Zelensky, M., & Heckbert, S. (2022). Evaluation of Different Chemical Mechanisms on O3 and PM2.5 Predictions in Alberta, Canada. Applied Sciences, 12(17), 8576. https://doi.org/10.3390/app12178576
