Next Article in Journal
Fluid Dynamics in a Continuous Pump-Mixer
Previous Article in Journal
Special Issue “Nature or Synthetic Compounds for Treating Arterial Thrombosis and Ischemic Stroke”
 
 
Font Type:
Arial Georgia Verdana
Font Size:
Aa Aa Aa
Line Spacing:
Column Width:
Background:
Article

Radiation Emitter Classification and Identification Approach Based on Radiation Emission Components †

1
School of Electronics and Information Engineering, Beihang University, Beijing 100191, China
2
Zhongguancun Laboratory, Beijing 100094, China
3
Research Institute for Frontier Science, Beihang University, Beijing 100191, China
*
Author to whom correspondence should be addressed.
This paper is an extended version of our paper published in the 2022 IEEE MTT-S International Wireless Symposium (IEEE IWS 2022), Harbin, China, 12–15 August 2022.
Appl. Sci. 2022, 12(16), 8193; https://doi.org/10.3390/app12168193
Submission received: 15 July 2022 / Revised: 9 August 2022 / Accepted: 12 August 2022 / Published: 16 August 2022

Abstract

:

Featured Application

In the area of electromagnetic compatibility (EMC), it is necessary to locate the source of interference according to the exceeded radiation emission in EMC testing, which can guide the EMC rectification strategy. However, due to the abundant noise level and complex regularities, it is difficult to identify the emission source by using the testing data directly. The measurement and data analysis of radiation emitters mainly depend on manual work, which has low efficiency and relies deeply on personal experience for EMC rectification. In this paper, a systematic radiation emitter classification and identification approach, based on radiation emission components, was proposed. The equipment type and its operating status can be identified by analyzing the equipment’s unintended radiated emissions based on radiation emission components. This can offer an improvement upon the existing interference source location methods in EMC tests. The proposed method can significantly improve the reliability and engineering applicability of the identification and location of the interference source in EMC tests, and it can provide fast technical support for EMC design.

Abstract

An electronic system generates a large number of intended or unintended electromagnetic radiated emissions in its operating state, which can lead to potential electromagnetic compatibility (EMC) problems. To avoid the impact of these electromagnetic radiation emissions on the surrounding electronic equipment or systems, it is necessary to classify and identify these radiation emitters. In this paper, we proposed a systematic approach for radiation emitter classification and identification based on radiation emission components. Inspired by the basic emission waveform theory (BEWT), the radiation emission data of electronic systems are decomposed into three kinds of radiation emission components, and the different groups of radiation emission data can be classified or identified according to the similarity of these radiation emission components. The radiation emission (RE) spectral data of several kinds of electronic equipment, such as laptops and digital cameras, were used to verify the proposed method. The classification and identification accuracy for data corresponding to different kinds of radiation emission spectra was about 99%, which confirmed the effectiveness of this method.

1. Introduction

In recent years, with the rapid development of electronic technology, the application of electronic equipment or systems composed of circuits, sensors, etc., is becoming more and more complex. Typical civilian or military equipment is composed of a large number of electrical devices, which can generate intended or unintended signals [1]. A large number of wires and antennas are used to transfer signals between these devices that make up the equipment. When these signals pass through an antenna or cable that is not deliberately designed, they may cause significant intentional or unintentional electromagnetic radiation emissions [2,3]. In other words, electromagnetic radiation can be intentionally or unintentionally emitted from all electronic equipment or systems due to their inherent operation principles.
The emission of electromagnetic radiation has a series of side effects on the surrounding electronic equipment or electronic systems and can even lead to the dysfunction of the surrounding electronic equipment or systems [4]. Therefore, there is a lot of test work involved in checking whether the radiation emission exceeds the tolerance limit of the surrounding equipment, which is particularly constrained by national military standards, such as MIL-STD-461 and GJB151, or civil standards, such as CISPR 16-1-1 and ETSI-EN303 413 [5,6,7,8]. Locating the disturbed equipment is a relatively simple task, depending on the disturbing phenomenon [9,10]. Compared to finding equipment that cannot work normally, the identification and classification of interference emission sources is becoming more challenging than ever before, especially in the area of EMC [11].
The characteristics of the equipment’s electromagnetic emissions are closely related to the equipment’s geometry and the signals produced by the electronic components of the equipment. For equipment with different electronic devices, the produced electromagnetic emissions would be different [12,13]. These emissions may be unique to each kind of equipment, which means that the intended and unintended emission spectrum could reflect the inherent properties of the equipment. This provides a theoretical basis to identify interference emission sources.
Several methods have been proposed to identify the electromagnetic emissions that highlight the differences in emissions between systems/equipment of different complexity. For large-scale systems, a preliminary model for unintended radiated emission detection and identification is presented in [14]. The authors in [15,16] present a two-dimensional image manipulation method for statistical feature extraction to realize the classification of different kinds of unintended radiated emissions. In [17,18], vehicles were detected and identified using their electromagnetic emissions features, such as the maximum spectral magnitude over a frequency band and the average magnitude over a frequency band, with the data derived from the fast Fourier transform (FFT) analysis or wavelet packet analysis (WPA) of measurements. For some commonly used electrical appliances, frequency domain signals are used to estimate the model of electric field emission from the device under testing [19]. An algorithm called the nonintrusive load monitoring (NILM) technique is used to identify legal electrical equipment by observing the trend over time or by performing an analysis in the frequency domain, comparing it with existing data or model [20,21,22]. Electromagnetic emissions were measured from several radio receivers to demonstrate the possibility of detecting and identifying these devices based on the use of a neural network in [23]. A solution for automatically detecting and classifying the operating status of electronic devices in a home from a single point of sensing based on conduction emissions is displayed in [24]. In [25], the author used signal strength to detect devices. At the printed circuit board (PCB) or circuit level, the radiation of the clock’s differential signal on the PCB was preliminarily analyzed in [26]. The authors in [27] presented a method of classification of a PCB with several configurations, using a neural network to recognize its spectrum features. The authors in [28] proposed leveraging EM side-channels to recognize/authenticate components integrated onto a motherboard using the K-nearest neighbor algorithm. In [29,30], an analytic model was developed for the unintended emissions of clocked digital devices, such as micro-controllers, which can be used as initiators to quickly detect explosive threats. Modulation frequency analysis was proposed as a tool to individuate broadband electromagnetic noise sources in large equipment in [31]. In [32], the authors proposed a jamming signal detection method based on truncated singular value decomposition (TSVD). In [33], the modulated unintended emissions from electronic devices were studied for the purposes of remote identification. The authors in [34] proposed a technique based on wavelet packets to perform feature extraction from the disturbance signals, as well as the classification of the extracted features in order to identify the possible causes of the disturbance. Similarly, Li et al. applied the wavelet transform method to emission data feature extraction and located the conducted emission problem in [35].
After years of research, a theory known as “basic emission waveform theory” (BEWT), characterizing emissions by the means of four basic waveforms, was proposed on the basis of summarizing tens of thousands of electromagnetic interference test data and the physical characteristics of common electronic equipment [36]. Furthermore, the characteristics of four basic waveforms were analyzed and classified via the adaptive boosting (Ada-boost) algorithm in [37], which demonstrated the potential of this theory in emitter identification and classification. This work was further deepened by the research of [38,39,40]. However, the above work was mostly based on conductive emissions, and identification and classification based on radiation emissions need to be studied further.
In order to fulfill EMC requirements, several electromagnetic emission measurements are required to evaluate whether an electromagnetic emission exceeds the standard before the equipment is put into use. This means that these data accompany the entire life cycle of the equipment. In contrast with traditional functional testing, EMC testing records almost all functional and non-functional emissions, which can be viewed as containing all the radiation emission information of the equipment. In this paper, the EMC test scheme was followed to obtain the unintentional radiated emission spectral data. However, for convenience, only the part of the spectral data between 30 MHz and 200 MHz was intercepted for discussion in this paper.
With the spectrum obtained in EMC testing, on one hand, a large amount of spectral data from different pieces of equipment in a single measurement need to be classified, and, on the other hand, when organizing the test again, it is necessary to identify whether the spectral data of the new test is that from specific known equipment.
In this paper, the intended and unintended emission spectrum data mentioned above were divided into three kinds of components, which are peak components, broadband components, and trend components, to reflect the inherent properties of the equipment under test (EUT), inspired by [36]. By comparing the distance between the radiation emission components of different equipment for multiple groups of data tested in the same batch, the classification of different pieces of equipment can be realized through our method based on radiation emission components. On the other hand, after the identification model of multiple pieces of equipment is completed using radiation emission components, the identification of new test data can be realized.
The novelty of this paper is embodied in two major aspects: (1) the proposed identification method of interference emission sources is mainly based on radiation emission components inspired by BEWT. Unlike previous works, both the characteristics of point frequency and the envelope shape of signals in the frequency domain are taken into account. This greatly expands our selection range of features to provide a more sufficient amount of data for identification and classification. (2) In this study, we attempted to reduce the number and randomness of features through a series of methods to avoid the use of complex mathematical tools, such as neural networks. Therefore, the amount of test data can be compressed to an acceptable level.
The remainder of this paper is organized as follows. Section 1 is mainly about the background and progress in the corresponding fields of this area of research. In Section 2, the theoretical basis and implementation scheme of the emitter classification and identification technology is described in detail. In Section 3, the data collection and verification of the classification and identification model are discussed in detail. Finally, in Section 4, we conclude this paper with a summary of the proposed methods and some follow-up research outlooks.

2. Theory and Analysis

2.1. Radiation Emission Components

As mentioned above, radiated electromagnetic emission is an inherent characteristic of the equipment. Therefore, the electromagnetic radiation test data of a piece of electronic equipment is a kind of inherent property corresponding to the equipment. Hence, by extracting the inherent characteristics from the electromagnetic emission spectrum test data, the electromagnetic emission of a piece of electronic equipment can be identified.
Whole emission spectrograms contain too much information to be compared. Directly obtained radiated emission test data have the characteristics of a wide frequency band, a large amount of data, and information redundancy, containing some data that cannot reveal the physical characteristics and essential attributes of EUT. Hence, modeling the entire set of radiation emission data will lead to the complexity of the mathematical tools and the need for a large number of testing data. It is necessary to filter features that can characterize the physical characteristics of the test object, while further reducing the feature dimensions.
In the circuit inside the electronic equipment, many periodic signals (such as clock signals or oscillator output signals) generated by basic excitation source signals will inevitably generate high-frequency periodic signals or nonlinear components after direct coupling, mixing, or modulation [36,41,42].
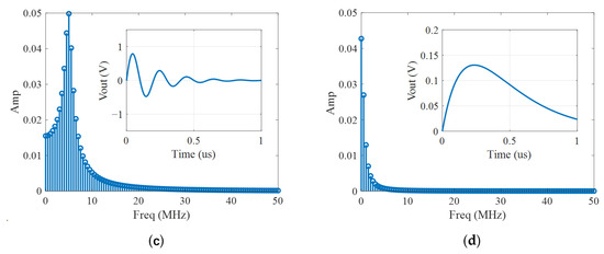
In [31], by sorting the most common circuits and their electromagnetic emission, the authors presented a creative theory (BEWT) stating that the basic waveforms can be summarized using four categories in the time domain: the square wave, sine wave, damped oscillation, and the spike wave. These four waveforms and their corresponding spectra are shown in Figure 1. The authors argued that most complex electromagnetic emissions are the result of both basic emission waveforms and their interaction with the periphery circuits, such as mixing or modulation, on a physical level. The newly generated spectral components can still be regarded as four basic emission waveforms. Hence, the electromagnetic emissions of complex systems can be constructed by means of the four basic waveforms.
It is assumed that V(f) is the emissions spectrum of a complex system, V(f), which is expressed as follows in [36]:
V f = i = 1 p H i f h j = 1 q N j f t E f S f v t f ζ
where v t f is the original noise floor of the measurement system; H i f h represents the harmonic points, which are generated by square waveforms; N j f k represents the narrow-band points, which are generated by sine waveforms; and E f and S f represent the lift of the spectrum caused by damped oscillation and spike waves, respectively. Moreover, ζ is the residue. in Equation (1) denotes a superposition in the view of physical states, including not only the amplitude superposition of the same frequency signals but also the effects between different signals, such as intermodulation, mixing response, etc., shown as in Figure 2.
Observing Figure 1a,b, H i f h and N j f k can be viewed as a series of peak signals in the frequency spectrum. Furthermore, from the view of the frequency spectrum, isolated E f and S f features can be regarded as a single waveform with a bandwidth, as shown in Figure 1c,d.
In our paper, the advantage of distinguishing H i f h from N j f k is not significant, and the advantage of distinguishing E f from S f is also not significant. Thus, to reduce the number of input variables in the classification and identification method proposed in this paper, only three groups of radiation emission components were extracted from the whole spectrum.
Peak components represent the series of peak signals formed by signals such as sinusoidal waves N j f k and square waves H i f h . These components are the amplitude and frequency corresponding to a series of peaks in the test data, which is reflected in the fact that the equipment under test has an oscillator working on the corresponding frequency or an equivalent circuit of the oscillator working at the same resonant frequency.
Broadband components represent waveforms with a bandwidth formed by signals such as damped oscillations E f and spike waves S f . Since electronic equipment generally works in a specific frequency band, even if the internal circuit module has the influence of nonlinearity and other factors, its unique radiation emission spectrum will appear in one or more specific frequency bands. Therefore, after eliminating all peak emissions, 3~5 frequency bands with the unique radiation emission spectrum of electronic equipment can be extracted as broadband components.
Considering the more global characteristics of the spectrum, the trend components are introduced into the whole spectrum. All other less significant parts of the spectrum are regarded as trend components v t f . In addition, some peak components and broadband components are also included in these trend components because they are not significant enough. All the remaining spectra are divided into a series of segments as trend components; we took ten segments as examples in this paper.
A typical radiation emission dataset is shown in Figure 3. The radiation emission components of the three groups are also shown in the figure. Through the work in Section 2.1, a large number of complete spectrum data were converted into about two dozens of radiation emission components.

2.2. The Classification and Identification Method

Based on the discussion presented in Section 2.1, three types of radiation emission components can represent the composition of the internal sources of the equipment. Thus, the classification and identification of the equipment spectrum can be transformed into the classification and identification of these three types of radiation emission components.
Figure 4 shows the specific steps involved in classification and identification through the algorithm based on radiation emission components described in this paper. In the characteristic process, the dissimilarities between all the data of the spectrum can be verified based on the radiation emission components corresponding to the equipment. Then, the classification of the different equipment based on the spectra can be realized by clustering analysis based on radiation emission components. Finally, according to the classification results and clustering features, the identification thresholds of each class of dissimilarities can be extracted. In the identification process, the radiation emission components extracted in the characteristic process are used to characterize a new spectrum and then verify the dissimilarity with the standard equipment spectrum found in the characteristic process. Finally, by using the identification threshold, the spectrum of a specific piece of equipment can be easily identified.
No matter in classification or identification, the most important thing is to establish the similarity measurement of radiation emission components.

2.2.1. Similarity Comparison of Radiation Emission Components

(1)
Similarity comparison based on peak components
Peak components are the amplitude and frequency corresponding to a series of peaks in the test data. From a large number of test results, the amplitude is relatively unstable. Therefore, in the similarity analysis of peak components, the main considerations are the peak frequencies corresponding to each peak in the test data. This means that, for the spectrum of an arbitrary piece of equipment, the matrix form of its peak components is:
F r e = f 1 , f 2 , , f n
In order to calculate this similarity between the equipment to be identified and the standard equipment, a novel concept based on the Jaccard index is proposed in this work. The Jaccard index [43], also known as the Jaccard similarity coefficient, is one of the most frequently used evaluation measurements in the comparison of sequences. In this paper, in order to be consistent with the other two distances discussed below, the modified Jaccard correlation coefficient is introduced as follows:
D j a c c a r d F r e 1 , F r e 0 = 1 j a c c a r d F r e 1 , F r e 0 = 1 F r e 1 F r e 0 F r e 1 F r e 0
Among this formulation, F r e 1 and F r e 0 are the peak component matrices of the spectrum data to be identified and of the standard spectrum data. The modified Jaccard similarity coefficient indicates the proportion of the intersection of sets in the union of sets. The greater its value (closer to 1), the lower the similarity between the two sets. On the contrary, the higher the similarity, the smaller the calculated value (closer to 0).
Thus, the similarity comparison by peak components S 1 can be viewed as
S 1 = D j a c c a r d F r e 1 , F r e 0
(2)
Similarity comparison based on broadband components
Broadband components represent waveforms with a bandwidth formed by signals such as damped oscillation and spike waves. Broadband components have relatively wide bandwidths. At the same time, the spectrum of a piece of equipment can often include 3~5 broadband components. Therefore, two sets of data are used to characterize a broadband component. On the one hand, F i is used to represent all frequency points occupied by the ith broadband component in the measured spectrum. On the other hand, A m p i is used to represent the amplitude information of the frequency points corresponding to the ith broadband component. The details of F i and A m p i are shown in Equations (5) and (6), where 1~n indicates the sampling points of the ith broadband component.
F i = f 1 i , f 2 i , , f n i
A m p i = a m p 1 i , a m p 2 i , , a m p n i
To calculate the similarity between the equipment to be identified and the standard equipment, the frequency F 0 i and amplitude A m p 0 i information of the ith broadband components of standard equipment are first extracted. The details of F 0 i and A m p 0 i are shown in Equations (7) and (8):
F 0 i = f 10 i , f 20 i , , f n 0 i
A m p 0 i = a m p 10 i , a m p 20 i , , a m p n 0 i
Then, the amplitude information A m p 1 i of the corresponding frequency of the equipment to be identified is extracted according to the frequency information F 0 i of standard equipment.
A m p 1 i = a m p 11 i , a m p 21 i , , a m p n 1 i
After extracting the amplitude information of the equipment to be identified, the similarity problem of comparing the ith wideband components is transformed into the problem of describing the similarity between the vectors A m p 0 i and A m p 1 i . Of course, there are many methods to describe the degree of similarity between curves, such as that in [44]. In order to make the discussion more general, the Euclidean distance is used to measure the similarity between the ith broadband components, expressed as
E D _ B i = a m p 11 i a m p 10 i 2 + a m p 21 i a m p 20 i 2 + + a m p n 1 i a m p n 0 i 2
Considering that the spectrum of equipment generally includes 3~5 significant broadband components, the similarity measured by broadband components can be expressed by S 2 , where k is the total number of broadband components contained in the spectrum:
S 2 = i = 1 k ( E D _ B i ) 2
(3)
Similarity comparison based on trend components
Excluding the components extracted in the previous two steps, all other less significant parts of the spectrum are regarded as trend components. The whole spectrum is cut into ten parts with equal length, with the amplitude information of the frequency points corresponding to the jth trend component (where j = 1, 2, …, 10, m is the length of the trend components).
T j = a m p 1 j , a m p 2 j , , a m p m j
Furthermore, the jth trend component of standard equipment and the equipment to be identified can be expressed as T 0 j and T 1 j , where
T 0 j = a m p 10 j , a m p 20 j , , a m p m 0 j
T 1 j = a m p 11 j , a m p 21 j , , a m p m 1 j
Then, the similarity of the corresponding jth segments between the equipment to be identified and standard equipment is evaluated using the Euclidean distance, as follows:
E D _ T j = a m p 11 j a m p 10 j 2 + a m p 21 j a m p 20 j 2 + + a m p m 1 j a m p m 0 j 2
Considering that the spectrum of the equipment has been divided into 10 segments of trend components, the similarity measured based on trend components can be expressed by S 3 :
S 3 = j = 1 10 ( E D _ T j ) 2
When the similarity of three types of radiation emission components are obtained, the classification and identification of different spectra will be transformed into the evaluation of the similarity of these radiation emission components.

2.2.2. Roadmap of Radiated Emission Spectrum Classification

In order to obtain better classification results, the overall similarity parameter needs to be obtained. The unified similarity S ( A , B ) is used to characterize the degree of dissimilarity between the two groups of data, as shown in the following formula:
S A , B = ω 1 S 1 A , B + ω 2 S 2 A , B + ω 3 S 3 A , B
where S 1 ( A , B ) , S 2 ( A , B ) , and S 3 ( A , B ) represent normalized similarity values of peak components, broadband components, and trend components. Finally, the density-based spatial clustering of applications with noise (DBSCAN) [45] can be used for the cluster analysis of S ( A , B ) .

2.2.3. Roadmap of Radiated Emission Spectrum Identification

The classification results of the small data sample described above can be used to obtain the dissimilarity data of various test data under three kinds of component representations. The Euclidean distance and the modified Jaccard similarity coefficient are used to evaluate the dissimilarity of the spectrum between the standard equipment and the equipment to be identified. If the group of the spectrum to be verified is similar to the standard group, the conclusion can be drawn that the three dissimilarity coefficients S 1 , S 2 , and S 3 are all clustered around 0 based on Equations (3), (10), and (15). Therefore, a series of the data of some standard equipment can be pre-tested. By calculating the S 1 , S 2 , and S 3 values of these pieces of equipment of the same type, the degree of dispersion can be described. Here, it is assumed that a piece of equipment has been pre-tested for N times of the spectrum. The dissimilarity between all pre-test groups can be expressed by a matrix:
S l = S l 11 S l 1 n S l 1 N S l m 1 S l m n S l m N S l N 1 S l N n S l N N , ( l = 1 , 2 , 3 )
The largest element in the matrix S l can be used as the threshold S l max to confirm whether it is such equipment. When a new group of unclassified spectrum data is obtained again, the dissimilarity data of three kinds of components between the unknown equipment and all known equipment can be calculated according to the previously mentioned method. Since the S l of similar equipment is clustered around 0, when a certain type of component datum is significantly higher than the threshold S l max , the possibility that it is this type of equipment can be ruled out. By comparing and excluding the equipment’s spectrum with those of different types of standard equipment, the type of equipment can be finally determined by referring to the three types of radiation emission components.
In the next section, the effectiveness of this method for classification and identification based on radiation emission components is demonstrated in detail with two examples.

3. Validation

The classification and identification of radiation emission components were performed on the same test platform, as shown in Figure 5. The whole platform was placed in a darkroom to avoid unnecessary interference. The test platform was mainly built with reference to the test platform of RE102 in GJB151b-2013 [6] or in MIL-STD-461G [5]. It includes three main parts: a spectrum analyzer, a pre-amplifier, and a receiving antenna for the corresponding frequency band. In this paper, only the part of the spectrum data between 30 MHz and 200 MHz was intercepted for discussion.
The FSW-26 signal and spectrum analyzer from Rhodes and Schwartz were adopted during validation, which has high sensitivity and can effectively meet the requirements of the radiation emission spectrum tests. The biconical antenna required by the corresponding frequency band in the RE102 test was selected, and the model was BCA-9522. This type of antenna is a linearly polarized antenna, which is mainly composed of a cage-shaped biconical antenna and a matcher of a portable umbrella structure.
In order to ensure the repeatability of the experiment, it was necessary to ensure that the state of the pre-amplifier and the RBW of the spectrometer remained unchanged in all experiments. In the following experiments, the pre-amplifier was off, and the RBW = 1 kHz.

3.1. Classification

Two laptops (HP T0Z10PA and HP Pavilion 15-p074TX) were used as EUTs to validate the effectiveness of the algorithm in classifying radiated emission data, as mentioned in this paper. Ten groups of electromagnetic emissions of the above two EUTs were tested. In addition, four groups of background noise were also tested, as shown in Table 1. The numbers were named as follows. Groups 1 to 4 corresponded to background noise, Groups 5 to 14 corresponded to the radiation emission test results of the HP T0Z10PA, and Groups 15 to 24 corresponded to the radiation emission test results of the HP Pavilion 15-p074TX. The results of these spectrum tests are shown in Figure 6.
During classification, all groups of test data were taken as both standard groups and verified groups. The dissimilarity between each group was calculated to replace the dissimilarity between these groups with a specific group. However, this process should not be construed as a means of obtaining general conclusions; rather, it helped us to observe that the test data between different pieces of equipment have strong convergence under the processing of the proposed algorithm.
First, the peak components Fre from the radiation emission spectrum data were extracted, and a group of data from each of the three types of data was selected as examples (Groups 2, 11, 20). The parts of the peak component data used are listed in Table 2.
Using Equation (1), the dissimilarity values based on the peak components ( S 1 ) between 24 groups are shown in Figure 7. Since the spectra of the same pieces of equipment were similar, the dissimilarity based on peak components was close to 0 for the same class of test results and close to 1 for different classes of test results. Therefore, observing S 1 , Groups 1–4 and Groups 5–14 showed good clustering characteristics. However, for the more complex radiated emission spectra, as in Groups 15–24, the dissimilarity values based on their peak components were all close to 1. Thus, the classification method based only on peak components may lead to misjudgment, which also confirms the necessity of introducing other kinds of dissimilarity criteria.
After the peak components are extracted, all the peak components are removed from the spectrum to reform the radiation emission spectrum, as shown in Figure 8. Based on these spectra without peak components, the broadband components were picked out as described below.
Referring to the features of three different kinds of spectra, 3~5 broadband components were extracted separately; these are shown in the yellow rectangle in Figure 9.
Using Equations (5)–(16), the dissimilarity between all spectra based on broadband components ( S 2 ) and trend components ( S 3 ) can be calculated. As shown in Figure 7 and Figure 10, the three components mentioned in this paper have good clustering characteristics when distinguishing test data from different equipment.
In order to obtain better classification results, the overall similarity parameters needed to be obtained. The unified dissimilarity S ( A , B ) was used to characterize the degree of dissimilarity between the two groups of the data, and this can be calculated by means of Equation (17).
Considering the differing tolerance of the degree of interference shown by different components, different weights were set as ω 1 = 0.6 , ω 2 = 0.3 , and ω 3 = 0.1 . The final results for the normalized S ( A , B ) are shown in Figure 11.
Finally, the DBSCAN [45] density clustering algorithm was used for the cluster analysis of S ( A , B ) , and the results shown in Table 3 were obtained.
The evaluation results showed that this method based on radiation emission components can realize the classification of electromagnetic radiation data without errors.

3.2. Identification

In this section, we further evaluate the role of radiation emission components in the identification function. The proposed method was verified using different kinds of appliances, including laptops and digital cameras. Their brands and models are shown in Table 3. We tested 30 groups of background noise as control, and we tested 110 groups of Class 2–5 data and 220 groups of Class 6 test data as the validation data. In the following, about 80% of the test data for each appliance were used to establish the identification model. All of the test data were used to verify the effectiveness of the identification model. The details of the test data are shown in Table 4. The typical electromagnetic test spectrum data of these six classes of equipment are shown in Figure 12.
According to the method proposed in Section 2, a sufficient group of spectrum data was randomly selected from all test data to establish the radiation emission model. After extracting the peak components, broadband components, and trend components from these data according to the different classes, Figure 13 shows the clustering results that were obtained of different kinds of equipment. Different kinds of equipment could be effectively differentiated based on the three kinds of radiation emission components. Figure 13a presents the classification based on the three kinds of components of the background, in which the three dissimilarities S 1 , S 2 , and S 3 of the background noise were closer to the origin. Figure 13b presents the classification based on the three types of components of the laptops (HP Pavilion 15-p074TX), in which the three dissimilarities obtained for the laptops (HP Pavilion 15-p074TX) were closer to the origin. Another distinguished result based on the radiation emission components of MacBook and ASUS-FZ50V is shown in Figure 13c,d. The above two groups of results prove that the method based on radiation emission components has a good clustering property.
These different kinds of spectrum data demonstrated good clustering characteristics, and the dissimilarity results of the equipment were gathered near the origin in the coordinate system, with its three kinds of radiation emission components as the reference. Therefore, the maximum value of the various dissimilarities in all the data used for modeling was taken as the identification threshold. Taking the peak components and broadband components in Figure 13a as examples, the clustering results can be acquired as shown in Figure 14. Since these results were based on the radiation emission components of the background, the overall modeling dissimilarity results of the background were distributed in a rectangle. This rectangle can be described as the dotted line box with a vertex as the origin, S1 < 0.53, and S2 < 9.1, as shown in Figure 14. This means that data points with S1 > 0.53 or S2 > 9.1, with reference to the radiation emission components of the background, were not background data. By traversing all the data in the modeling dataset, the thresholds of three radiation emission components of all six kinds of equipment can be obtained. In this way, the threshold model of six groups of data was established.
All 690 groups of test data were used for model verification. First, the method proposed above was used to extract three kinds of radiation emission components of all test data. Then, using Equations (3)–(16), the dissimilarity between all test data could be calculated with reference to the three kinds of radiation emission components, as shown in Figure 15. Finally, using the thresholds obtained from the modeling datasets, we then identified every individual test datum. The final identification results are shown in Table 5.
There were seven incorrectly identified groups out of 690 groups of verified data. Among the seven incorrectly identified groups, one group of data from Class 3 was misidentified as Class 6, and the remaining six incorrectly identified groups could not be identified using this method. For most of the test radiation emission spectrum data, this method performed an accurate identification, and the accuracy of this method was about 99%.

4. Conclusions

In this study, intended and unintended emission spectra were used to classify and identify different pieces of equipment. Inspired by the basic emission waveform theory (BEWT), the radiation emission data of equipment or systems were decomposed into three kinds of radiation emission components, which consisted of peak components, broadband components, and trend components in this study. The method discussed in this paper showed that different sources of radiated emission data could be classified or identified according to the similarity of these three kinds of radiation emission components. Different kinds of electronic equipment radiation emission spectral data were used to verify the proposed method. The classification and identification accuracy for different kinds of radiation emission spectrum data was about 99%, which confirms the effectiveness of this method.

Author Contributions

Conceptualization, D.S., A.C. and F.Z.; methodology, F.Z. and W.W.; validation, F.Z. and W.W.; investigation, F.Z. and W.W.; writing—original draft preparation, F.Z. and W.W.; writing—review and editing, D.S., A.C., D.Z. and F.Z.; visualization, F.Z.; supervision, D.S. and A.C.; funding acquisition, D.S. and A.C. All authors have read and agreed to the published version of the manuscript.

Funding

This research was funded by the National Natural Science Foundation of China under grant number 61771032 and 61427803.

Institutional Review Board Statement

Not applicable.

Informed Consent Statement

Not applicable.

Data Availability Statement

Not applicable.

Acknowledgments

The authors thank Zongfei Zhou and Wanli Du for their work during the experimental preparation stage. The authors thank Chen Guangzhi for the language modification of the article.

Conflicts of Interest

The authors declare no conflict of interest.

References

  1. Baudry, D.; Arcambal, C.; Louis, A.; Mazari, B.; Eudeline, P. Applications of the Near-Field Techniques in EMC Investigations. IEEE Trans. Electromagn. Compat. 2007, 49, 485–493. [Google Scholar] [CrossRef]
  2. Ma, M.; Kanda, M.; Crawford, M.; Larsen, E. A review of electromagnetic compatibility/interference measurement methodologies. Proc. IEEE 1985, 73, 388–411. [Google Scholar] [CrossRef]
  3. Deng, S.; Hubing, T.; Beetner, D. Estimating Maximum Radiated Emissions from Printed Circuit Boards with an Attached Cable. IEEE Trans. Electromagn. Compat. 2008, 50, 215–218. [Google Scholar] [CrossRef]
  4. Genender, E.; Garbe, H.; Sabath, F. Probabilistic Risk Analysis Technique of Intentional Electromagnetic Interference at System Level. IEEE Trans. Electromagn. Compat. 2014, 56, 200–207. [Google Scholar] [CrossRef]
  5. MIL-STD-461G; Requirements for the Control of Electromagnetic Interference Characteristics of Subsystems and Equipment. Department of Defense Interface Standard: Arlington, VA, USA, 2015.
  6. GJB 151B-2013; Electromagnetic Emission and Susceptibility Requirements and Measurements for Military and Subsystems. Electronic Information Foundation Department of the General Equipment Department of the Chinese People’s Liberation Army: Beijing, China, 2013.
  7. CISPR 16-1-1; Specification for Radio Disturbance and Immunity Measuring Apparatus and Methods—Part 1-1: Radio Disturbance and Immunity Measuring Apparatus—Measuring Apparatus. 2019. Available online: https://webstore.iec.ch/publication/60774 (accessed on 5 October 2021).
  8. IEC 61000-6-1:2019; Electromagnetic Compatibility (EMC)—Part 6–1. IEC: Geneva, Switzerland, 2019.
  9. Chen, G.; Su, D.; Cui, S.; Peng, Z. An integrated design method for fuel measurement system against electromagnetic interference. In Proceedings of the 2017 XXXII and General Assembly and Scientific Symposium of the International Union of Radio Science (URSI GASS), Montreal, QC, Canada, 19–26 August 2017. [Google Scholar]
  10. Dogan, U.; Ceran, U.; Arslan, K. Examination of the RF Output Power on Electromagnetic Susceptibility Tests of the Radio Equipment. In Proceedings of the 2021 IEEE International Joint EMC/SI/PI and EMC Europe Symposium, Raleigh, NC, USA, 26 July–13 August 2021. [Google Scholar]
  11. Stoica, D.; Enache, M.; Boteanu, A.; Stoica, A. Signals sources recognition based on equipments electromagnetic emissions signature. In Proceedings of the 2014 10th International Conference on Communications (COMM), Bucharest, Romania, 29–31 May 2014. [Google Scholar]
  12. Song, Z.; Su, D.; Dai, F.; Duval, F.; Louis, A. A novel electromagnetic radiated emission source identification methodology. In Proceedings of the 2010 Asia-Pacific International Symposium on Electromagnetic Compatibility, Beijing, China, 12–16 April 2010. [Google Scholar]
  13. Przesmycki, R.; Bugaj, M.; Nowosielski, L.; Wnuk, M. Implementation a database of hardware interfaces for information devices in the identifying process based on radiated emissions. In Proceedings of the 2016 International Symposium on Electromagnetic Compatibility—EMC EUROPE, Wroclaw, Poland, 5–9 September 2016. [Google Scholar]
  14. Friedel, J.; Holzer, T.; Sarkani, S. Development, Optimization, and Validation of Unintended Radiated Emissions Processing System for Threat Identification. IEEE Trans. Syst. Man Cybern. Syst. 2020, 50, 2208–2219. [Google Scholar] [CrossRef]
  15. Vann, J.; Karnowski, T.; Kerekes, R.; Cooke, C.; Anderson, A. A Dimensionally Aligned Signal Projection for Classification of Unintended Radiated Emissions. IEEE Trans. Electromagn. Compat. 2018, 60, 122–131. [Google Scholar] [CrossRef]
  16. Vann, J.; Karnowski, T.; Anderson, A. Classification of Unintended Radiated Emissions in a Multi-Device Environment. IEEE Trans. Smart Grid 2019, 10, 5506–5513. [Google Scholar] [CrossRef]
  17. Göksu, H.; Wunsch, D.; Dong, X.; Kökce, A.; Beetner, D. Detection and Identification of Vehicles Based on Their Spark-Free Unintended Electromagnetic Emissions. IEEE Trans. Electromagn. Compat. 2018, 60, 1594–1597. [Google Scholar] [CrossRef]
  18. Dong, X.; Weng, H.; Beetner, D.; Hubing, T.H.; Wunsch, D.C.; Noll, M.; Göksu, H.; Moss, B. Detection and Identification of Vehicles Based on Their Unintended Electromagnetic Emissions. IEEE Trans. Electromagn. Compat. 2006, 48, 752–759. [Google Scholar] [CrossRef]
  19. Alkahtani, A.; Nordin, F.; Sharrif, Z. Measurement and estimation of electric field emission of a vacuum cleaner. In Proceedings of the 2013 IEEE International Conference on Control System, Computing and Engineering, Penang, Malaysia, 29 November–1 December 2013. [Google Scholar]
  20. Ciancetta, F.; Bucci, G.; Fiorucci, E.; Mari, S.; Fioravanti, A. A New Convolutional Neural Network-Based System for NILM Applications. IEEE Trans. Instrum. Meas. 2021, 70, 1–12. [Google Scholar] [CrossRef]
  21. Cannas, B.; Carcangiu, S.; Carta, D.; Fanni, A.; Muscas, C. Selection of Features Based on Electric Power Quantities for Non-Intrusive Load Monitoring. Appl. Sci. 2021, 11, 533. [Google Scholar] [CrossRef]
  22. Kong, X.; Zhu, S.; Huo, X.; Li, S.; Li, Y.; Zhang, S. A Household Energy Efficiency Index Assessment Method Based on Non-Intrusive Load Monitoring Data. Appl. Sci. 2020, 10, 3820. [Google Scholar] [CrossRef]
  23. Weng, H.; Dong, X.; Hu, X.; Beetner, D.; Hubing, T.; Wunsch, D. Neural network detection and identification of electronic devices based on their unintended emissions. In Proceedings of the 2005 International Symposium on Electromagnetic Compatibility, EMC 2005, Chicago, IL, USA, 8–12 August 2005. [Google Scholar]
  24. Gupta, S.; Reynolds, M.; Patel, S. ElectriSense: Single-point sensing using EMI for electrical event detection and classification in the home. In Proceedings of the 12th ACM International Conference on UbiComp, Copenhagen, Denmark, 26–29 September 2010. [Google Scholar]
  25. Hubing, T. Detection of Electronic Devices Based on Their Unintended Electromagnetic Emissions; Clemson Vehicular Electronics Laboratory, Clemson University: Clemson, SC, USA, 2008. [Google Scholar]
  26. Mo, F.; Lu, Y.; Zhang, J. Detection and Identification of EM Field Source by Using Support Vector Machines. In Proceedings of the 2012 8th International Conference on Wireless Communications, Networking and Mobile Computing, Shanghai, China, 21–23 September 2012. [Google Scholar]
  27. Aunchaleevarapan, K.; Paithoonwatanakij, K.; Preampraneerach, Y.; Khan-Ngern, W.; Nitta, S. Classification of PCB configurations from radiated EMI by using neural network. In Proceedings of the Asia-Pacific Conference on Environmental Electromagnetics. CEEM'2000 (IEEE Cat. No.00EX402), Shanghai, China, 7 May 2000. [Google Scholar]
  28. Werner, F.; Yilmaz, B.; Prvulovic, M.; Zajić, A. Leveraging EM Side-Channels for Recognizing Components on a Motherboard. IEEE Trans. Electromagn. Compat. 2021, 63, 502–515. [Google Scholar] [CrossRef]
  29. Stagner, C.; Beetner, D.; Grant, S. A Comparison of Algorithms for Detecting Synchronous Digital Devices Using Their Unintended Electromagnetic Emissions. IEEE Trans. Electromagn. Compat. 2014, 56, 1304–1312. [Google Scholar] [CrossRef]
  30. Stagner, C. Detecting and Locating Electronic Devices Using Their Unintended Electromagnetic Emissions. Ph.D. Dissertation, Department of Electrical and Computer Engineering, Missouri University of Science and Technology, Rolla, MO, USA, 2013. [Google Scholar]
  31. Paoletti, U. Broadband Electromagnetic Noise Source Identification Using Modulation Frequency Analysis. In Proceedings of the 2020 International Symposium on Electromagnetic Compatibility—EMC EUROPE, Rome, Italy, 23–25 September 2020. [Google Scholar]
  32. Yang, X.; Li, A.; Wei, M.; Zhang, X.; Lu, S.; Wang, W. Jamming Signal Detection Based on TSVD Method. In Proceedings of the 2020 IEEE International Conference on Advances in Electrical Engineering and Computer Applications (AEECA), Dalian, China, 25–27 August 2020. [Google Scholar]
  33. Seguin, A. Detection of low-cost radio frequency receivers based on their unintended electromagnetic emissions and an active stimulation. Ph.D. Dissertation, Department of Electrical and Computer Engineering, Missouri University of Science and Technology, Rolla, MO, USA, 1996. [Google Scholar]
  34. Antonini, G.; Orlandi, A. Wavelet packet-based EMI signal processing and source identification. IEEE Trans. Electromagn. Compat. 2001, 43, 140–148. [Google Scholar] [CrossRef]
  35. Li, H.; Wang, C.; Zhao, D. An Improved EMD and Its Applications to Find the Basis Functions of EMI Signals. Math. Probl. Eng. 2015, 2015, 1–8. [Google Scholar] [CrossRef]
  36. Su, D.; Xie, S.; Chen, A.; Shang, X.; Zhu, K.; Xu, H. Basic emission waveform theory: A novel interpretation and source identification method for electromagnetic emission of complex systems. IEEE Trans. Electromagn. Compat. 2018, 60, 1330–1339. [Google Scholar] [CrossRef]
  37. Nie, J.; Yang, S.; Ren, Q.; Su, D. A Novel Classification Method Based on Adaboost for Electromagnetic Emission Characteristics. In Proceedings of the 2018 International Applied Computational Electromagnetics Society Symposium—China (ACES), Beijing, China, 29 July–1 August 2018. [Google Scholar]
  38. Su, D.; Wu, J.; Shang, X.; Zhu, K.; Peng, Z. A novel method of detecting and analyzing electromagnetic emission. In Proceedings of the 2017 IEEE Asia Pacific Microwave Conference (APMC), Kuala Lumpur, Malaysia, 13–16 November 2017. [Google Scholar]
  39. Wu, J.; Cui, S.; Su, D. Spectrum data feature analysis based on support vector machine method. In Proceedings of the 2017 Sixth Asia-Pacific Conference on Antennas and Propagation (APCAP), Xi’an, China, 16–19 October 2017. [Google Scholar]
  40. Su, D.; Shi, Q.; Xu, H.; Wang, W. Nonintrusive Load Monitoring Based on Complementary Features of Spurious Emissions. Electronics 2019, 8, 1002. [Google Scholar] [CrossRef]
  41. Prvulovic, M.; Zaji, A.; Callan, R.; Wang, C. A Method for Finding Frequency-Modulated and Amplitude-Modulated Electromagnetic Emanations in Computer Systems. IEEE Trans. Electromagn. Compat. 2016, 59, 34–42. [Google Scholar] [CrossRef]
  42. Meynard, O.; Réal, D.; Flament, F.; Guilley, S.; Homma, N.; Danger, J. Enhancement of simple electromagnetic attacks by pre-characterization in frequency domain and demodulation techniques. In Proceedings of the Design, Automation and Test in Europe Conference and Exhibition, DATE 2011, Grenoble, France, 14–18 March 2011. [Google Scholar]
  43. Ertl, O. ProbMinHash–A Class of Locality-Sensitive Hash Algorithms for the (Probability) Jaccard Similarity. IEEE Trans. Knowl. Data Eng. 2022, 34, 3491–3506. [Google Scholar] [CrossRef]
  44. Zuo, M.; Xie, S.; Zhang, X.; Yang, M. Recognition of UAV Video Signal Using RF Fingerprints in the Presence of WiFi Interference. IEEE Access 2021, 9, 88844–88851. [Google Scholar] [CrossRef]
  45. Shiba, K.; Chen, C.-C.; Sogabe, M.; Sakamoto, K.; Sogabe, T. Quantum-Inspired Classification Algorithm from DBSCAN–Deutsch–Jozsa Support Vectors and Ising Prediction Model. Appl. Sci. 2021, 11, 11386. [Google Scholar] [CrossRef]
Figure 1. Schematic diagram of four basic waveforms: (a) sine wave, (b) square wave, (c) damped oscillation, and (d) spike wave.
Figure 1. Schematic diagram of four basic waveforms: (a) sine wave, (b) square wave, (c) damped oscillation, and (d) spike wave.
Applsci 12 08193 g001aApplsci 12 08193 g001b
Figure 2. Model of radiated emission generation mechanisms within electronic equipment using four basic waveforms.
Figure 2. Model of radiated emission generation mechanisms within electronic equipment using four basic waveforms.
Applsci 12 08193 g002
Figure 3. The electromagnetic test spectrum diagram of a typical piece of equipment and the extraction of emission components.
Figure 3. The electromagnetic test spectrum diagram of a typical piece of equipment and the extraction of emission components.
Applsci 12 08193 g003
Figure 4. The classification and identification method of the equipment spectrum using radiation emission components.
Figure 4. The classification and identification method of the equipment spectrum using radiation emission components.
Applsci 12 08193 g004
Figure 5. A test system modeled after the RE102 experiment.
Figure 5. A test system modeled after the RE102 experiment.
Applsci 12 08193 g005
Figure 6. The electromagnetic test spectrum of two EUTs and background noise. The black line is the background noise, the red line is the test result of the HP Pavilion 15-p074TX, and the blue line is the spectrum of the HP T0Z10PA.
Figure 6. The electromagnetic test spectrum of two EUTs and background noise. The black line is the background noise, the red line is the test result of the HP Pavilion 15-p074TX, and the blue line is the spectrum of the HP T0Z10PA.
Applsci 12 08193 g006
Figure 7. Dissimilarity values between the test data valued on the basis of peak components (S1).
Figure 7. Dissimilarity values between the test data valued on the basis of peak components (S1).
Applsci 12 08193 g007
Figure 8. The radiation emission spectra of 24 groups of spectrums without peak components.
Figure 8. The radiation emission spectra of 24 groups of spectrums without peak components.
Applsci 12 08193 g008
Figure 9. The extracted frequency bands of broadband components: (a) background; (b) HP T0Z10PA; (c) HP Pavilion 15-p074TX.
Figure 9. The extracted frequency bands of broadband components: (a) background; (b) HP T0Z10PA; (c) HP Pavilion 15-p074TX.
Applsci 12 08193 g009
Figure 10. Dissimilarity between the test data evaluated based on three components: (a) broadband components (S2); (b) trend components (S3).
Figure 10. Dissimilarity between the test data evaluated based on three components: (a) broadband components (S2); (b) trend components (S3).
Applsci 12 08193 g010
Figure 11. Dissimilarity between the test data.
Figure 11. Dissimilarity between the test data.
Applsci 12 08193 g011
Figure 12. The typical electromagnetic test spectrum data of six classes of equipment.
Figure 12. The typical electromagnetic test spectrum data of six classes of equipment.
Applsci 12 08193 g012
Figure 13. The test data showed good clustering characteristics based on three kinds of radiation emission components: (a) background and HP Pavilion 15-p074TX spectrum test data were distinguished based on the radiation emission components of the background; (b) the background and HP Pavilion 15-p074TX spectrum test data were distinguished based on the radiation emission components of the HP Pavilion 15-p074TX. (c) MacBook and ASUS-FZ50V spectrum test data were distinguished based on the radiation emission components of the MacBook; (d) the MacBook and ASUS-FZ50V spectrum test data were distinguished based on the radiation emission components of the ASUS-FZ50V.
Figure 13. The test data showed good clustering characteristics based on three kinds of radiation emission components: (a) background and HP Pavilion 15-p074TX spectrum test data were distinguished based on the radiation emission components of the background; (b) the background and HP Pavilion 15-p074TX spectrum test data were distinguished based on the radiation emission components of the HP Pavilion 15-p074TX. (c) MacBook and ASUS-FZ50V spectrum test data were distinguished based on the radiation emission components of the MacBook; (d) the MacBook and ASUS-FZ50V spectrum test data were distinguished based on the radiation emission components of the ASUS-FZ50V.
Applsci 12 08193 g013
Figure 14. The clustering results of the background noise and HP Pavilion 15-p074TX based on the radiation emission components of the background.
Figure 14. The clustering results of the background noise and HP Pavilion 15-p074TX based on the radiation emission components of the background.
Applsci 12 08193 g014
Figure 15. Dissimilarity values between all the test data: (a) peak components (S1); (b) broadband components (S2); (c) trend components (S3).
Figure 15. Dissimilarity values between all the test data: (a) peak components (S1); (b) broadband components (S2); (c) trend components (S3).
Applsci 12 08193 g015
Table 1. Test data of two laptops and background noise.
Table 1. Test data of two laptops and background noise.
ClassEUTsTest Group Index
1Background Noise1–4
2HP T0Z10PA5–14
3HP Pavilion 15-p074TX15–24
Table 2. The peak components of the test spectrum of two EUTs and background.
Table 2. The peak components of the test spectrum of two EUTs and background.
GroupVector Length of FreTypical Characteristic Frequency Point (MHz)
21932.04, 49.38, 49.55, …, 71.99, 95.96, …, 200.00
113136.63, 51.93, 52.27, …, 71.99, 95.96, …, 100.04, …, 200.00
201336.29, 50.23, 52.44, …, 71.99,…, 140.50,…, 199.32
Table 3. Clustering analysis results of electromagnetic test data based on radiation emission components.
Table 3. Clustering analysis results of electromagnetic test data based on radiation emission components.
EUTTest Group.Classification Result
Background noise1–41–4
HP T0Z10PA5–145–14
HP Pavilion 15-p074TX15–2415–24
Table 4. EUT identification test data set.
Table 4. EUT identification test data set.
Class and Status of EUTsTest Data VolumeModeling Data Volume
1. Background3024
2. MacBook
(Retina 12-inch, Early 2015)
11090
3. HP Pavilion 15-p074TX11090
4. ASUS-FZ50V11090
5. Digital camera
(SONY Alpha 7II)
11090
6. ThinkPad E480220180
Table 5. The identification results of all test spectrum data.
Table 5. The identification results of all test spectrum data.
Class and Status of EUTsVerified Data VolumeMisidentificationUnable to Identify
1. Background3001
2. MacBook (Retina 12-inch, Early 2015)11000
3. HP Pavilion 15-p074TX11011
4. ASUS-FZ50V11001
5. SONY Alpha 7 II (digital camera)11002
6. ThinkPad E48022001
Publisher’s Note: MDPI stays neutral with regard to jurisdictional claims in published maps and institutional affiliations.

Share and Cite

MDPI and ACS Style

Zhang, F.; Wang, W.; Zhang, D.; Chen, A.; Su, D. Radiation Emitter Classification and Identification Approach Based on Radiation Emission Components. Appl. Sci. 2022, 12, 8193. https://doi.org/10.3390/app12168193

AMA Style

Zhang F, Wang W, Zhang D, Chen A, Su D. Radiation Emitter Classification and Identification Approach Based on Radiation Emission Components. Applied Sciences. 2022; 12(16):8193. https://doi.org/10.3390/app12168193

Chicago/Turabian Style

Zhang, Fan, Wang Wang, Dongrong Zhang, Aixin Chen, and Donglin Su. 2022. "Radiation Emitter Classification and Identification Approach Based on Radiation Emission Components" Applied Sciences 12, no. 16: 8193. https://doi.org/10.3390/app12168193

APA Style

Zhang, F., Wang, W., Zhang, D., Chen, A., & Su, D. (2022). Radiation Emitter Classification and Identification Approach Based on Radiation Emission Components. Applied Sciences, 12(16), 8193. https://doi.org/10.3390/app12168193

Note that from the first issue of 2016, this journal uses article numbers instead of page numbers. See further details here.

Article Metrics

Back to TopTop