FEL Pulse Duration Evolution along Undulators at FLASH
Abstract
:1. Introduction
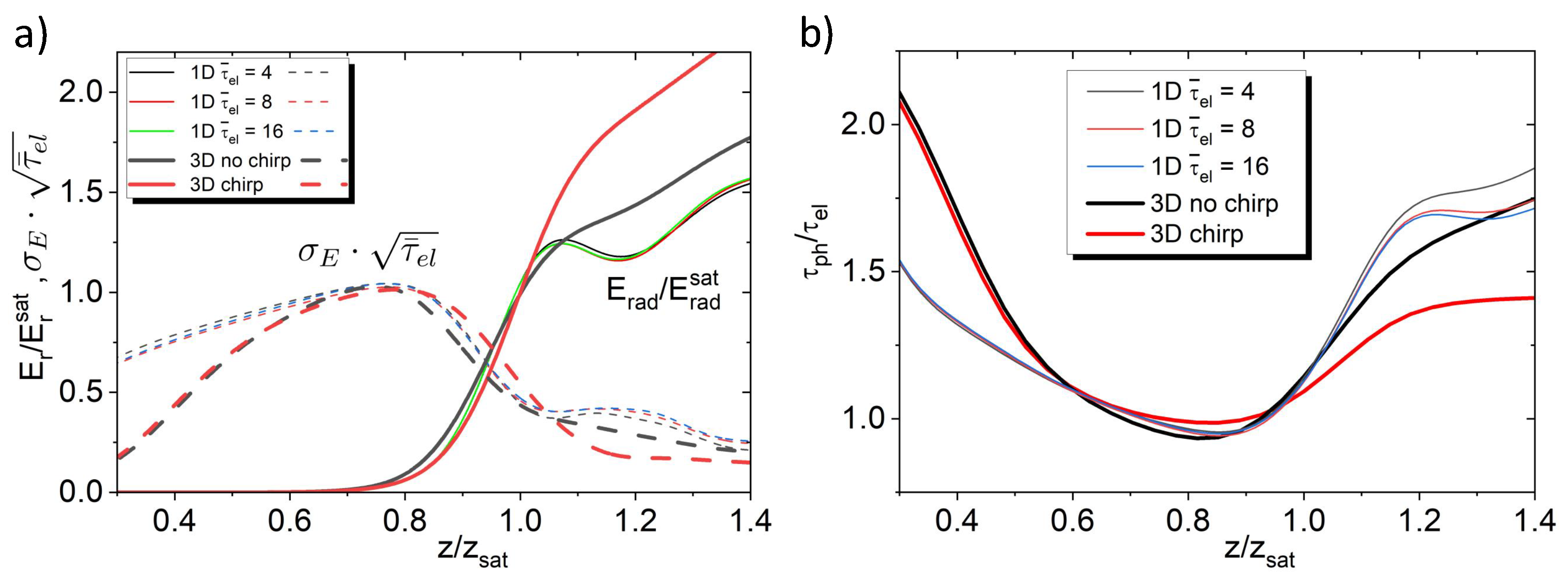
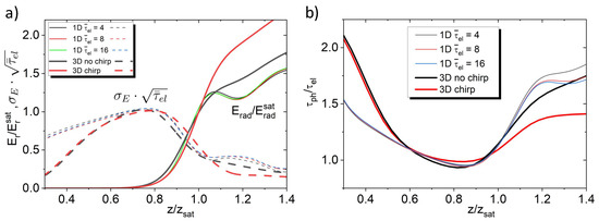
2. SASE FEL Amplification Process
3. FEL Measurements
4. Discussion
5. Conclusions
Author Contributions
Funding
Institutional Review Board Statement
Informed Consent Statement
Data Availability Statement
Acknowledgments
Conflicts of Interest
References
- Saldin, E.L.; Schneidmiller, E.A.; Yurkov, M.V. Self-amplified spontaneous emission FEL with energy-chirped electron beam and its application for generation of attosecond X-ray pulses. Phys. Rev. ST Accel. Beams 2006, 9, 050702. [Google Scholar] [CrossRef] [Green Version]
- Saldin, E.L.; Schneidmiller, E.A.; Yurkov, M.V. Statistical properties of radiation from VUV and X-ray free electron laser. Opt. Commun. 1998, 148, 383–403. [Google Scholar] [CrossRef] [Green Version]
- Behrens, C.; Gerasimova, N.; Gerth, C.; Schmidt, B.; Schneidmiller, E.A.; Serkez, S.; Wesch, S.; Yurkov, M.V. Constraints on photon pulse duration from longitudinal electron beam diagnostics at a soft X-ray free-electron laser. Phys. Rev. ST Accel. Beams 2012, 15, 030707. [Google Scholar] [CrossRef]
- Lutman, A.A.; Ding, Y.; Feng, Y.; Huang, Z.; Messerschmidt, M.; Wu, J.; Krzywinski, J. Femtosecond X-ray free electron laser pulse duration measurement from spectral correlation function. Phys. Rev. ST Accel. Beams 2012, 15, 030705. [Google Scholar] [CrossRef] [Green Version]
- Ackermann, W.A.; Asova, G.; Ayvazyan, V.; Azima, A.; Baboi, N.; Bähr, J.; Balin, V.; Beutner, B.; Brandt, A.; Bolzmann, A.; et al. Operation of a Free Electron Laser in the Wavelength Range from the Extreme Ultraviolet to the Water Window. Nat. Photonics 2007, 1, 336–342. [Google Scholar] [CrossRef]
- Emma, P.; Akre, R.; Arthur, J.; Bionta, R.; Bostedt, C.; Bozek, J.; Brachmann, A.; Bucksbaum, P.; Coffee, R.; Decker, F.J.; et al. First lasing and operation of an ångstrom-wavelength free-electron laser. Nat. Photonics 2010, 4, 641–647. [Google Scholar] [CrossRef]
- Ishikawa, T.; Aoyagi, H.; Asaka, T.; Asano, Y.; Azumi, N.; Bizen, T.; Ego, H.; Fukami, K.; Fukui, T.; Furukawa, Y.; et al. A compact X-ray free-electron laser emitting in the sub-ångström region. Nat. Photonics 2012, 6, 540–544. [Google Scholar] [CrossRef]
- Decking, W.; Abeghyan, S.; Abramian, P.; Abramsky, A.; Aguirre, A.; Albrecht, C.; Alou, P.; Altarelli, M.; Altmann, P.; Amyan, K.; et al. A MHz-repetition-rate hard X-ray free-electron laser driven by a superconducting linear accelerator. Nat. Photonics 2020, 14, 391–397. [Google Scholar] [CrossRef]
- Milne, C.J.; Schietinger, T.; Aiba, M.; Alarcon, A.; Alex, J.; Anghel, A.; Arsov, V.; Beard, C.; Beaud, P.; Bettoni, S.; et al. SwissFEL: The Swiss X-ray Free Electron Laser. Appl. Sci. 2017, 7, 720. [Google Scholar] [CrossRef]
- Ayvazyan, V.; Baboi, N.; Bohnet, I.; Brinkmann, R.; Castellano, M.; Castro, P.; Catani, L.; Choroba, S.; Cianchi, A.; Dohlus, M.; et al. A new powerful source for coherent VUV radiation: Demonstration of exponential growth and saturation at the TTF free-electron laser. Eur. Phys. J. D 2002, 20, 149–156. [Google Scholar] [CrossRef]
- Faatz, B.; Plönjes, E.; Ackermann, S.; Agababyan, A.; Asgekar, V.; Ayvazyan, V.; Baark, S.; Baboi, N.; Balin, V.; Von Bargen, N.; et al. Simultaneous operation of two soft X-ray free-electron lasers driven by one linear accelerator. New J. Phys. 2016, 18, 062002. [Google Scholar] [CrossRef] [Green Version]
- Saldin, E.L.; Schneidmiller, E.A.; Yurkov, M.V. FAST: A three-dimensional time-dependent FEL simulation code. Nucl. Instrum. Methods Phys. Res. Sect. A Accel. Spectrometers Detect. Assoc. Equip. 1999, 429, 233–237. [Google Scholar] [CrossRef]
- Saldin, E.L.; Schneidmiller, E.A.; Yurkov, M.V. The Physics of Free Electron Lasers, 3rd ed.; Springer: Berlin, Germany, 1999. [Google Scholar]
- Saldin, E.L.; Schneidmiller, E.A.; Yurkov, M.V. Coherence properties of the radiation from X-ray free electron laser. Opt. Commun. 2008, 281, 1179–1188. [Google Scholar] [CrossRef] [Green Version]
- Saldin, E.L.; Schneidmiller, E.A.; Yurkov, M.V. Coherence Properties of the Radiation from X-ray Free Electron Lasers. In Proceedings of the CAS-CERN Accelerator School on Free Electron Lasers and Energy Recovery Linacs, Hamburg, Germany, 31 May–10 June 2018; Volume 1. [Google Scholar]
- Bonifacio, R.; Pellegrini, C.; Narducci, L.M. Collective instabilities and high-gain regime in a free electron laser. Opt. Commun. 1984, 50, 373. [Google Scholar] [CrossRef] [Green Version]
- Bonifacio, R.; De Salvo, L.; Pierini, P.; Piovella, N.; Pellegrini, C. Spectrum, temporal structure, and fluctuations in a high-gain free-electron laser starting from noise. Phys. Rev. Lett. 1994, 73, 70–73. [Google Scholar] [CrossRef]
- Schneidmiller, E.A.; Yurkov, M.V. Application of statistical methods for measurements of the coherence properties of the radiation from SASE FEL. In Proceedings of the IPAC2016, Busan, Korea, 8–13 May 2016; p. MOPOW013. [Google Scholar]
- Bermudez, I.; Düsterer, S.; Ivanov, I.; Liu, J.; Brenner, G.; Rönsch-Schulenburg, J.; Czwalinna, M.; Yurkov, M. Study of temporal, spectral, arrival time and energy fluctuations of SASE FEL pulses. Opt. Express 2021, 29, 10491–10508. [Google Scholar] [CrossRef]
- Saldin, E.L.; Schneidmiller, E.A.; Yurkov, M.V. Statistical properties of radiation from SASE FEL driven by short electron bunches. Nucl. Instrum. Methods Phys. Res. Sect. A Accel. Spectrometers Detect. Assoc. Equip. 2003, 1–2, 101–105. [Google Scholar] [CrossRef]
- Zagorodnov, I.; Dohlus, M. Semianalytical modeling of multistage bunch compression with collective effects. Phys. Rev. ST Accel. Beams 2011, 14, 014403. [Google Scholar] [CrossRef]
- Mayer, D.; Lever, F.; Picconi, D.; Metje, J.; Alisauskas, S.; Calegari, F.; Düsterer, S.; Ehlert, C.; Feifel, R.; Niebuhr, M.; et al. Following excited-state chemical shifts in molecular ultrafast X-ray photoelectron spectroscopy. Nat. Commun. 2022, 13, 198. [Google Scholar] [CrossRef]
- von Korff Schmising, C.; Willems, F.; Sharma, S.; Yao, K.; Borchert, M.; Hennecke, M.; Schick, D.; Radu, I.; Strüber, C.; Engel, D.W.; et al. Element-Specific Magnetization Dynamics of Complex Magnetic Systems Probed by Ultrafast Magneto-Optical Spectroscopy. Appl. Sci. 2022, 10, 7580. [Google Scholar]
- Gerth, C.; Brenner, G.; Caselle, M.; Düsterer, S.; Haack, D.; Makowski, D.; Mielczarek, A.; Palutke, S.; Rota, L.; Rybnikov, V.; et al. Linear array detector for online diagnostics of spectral distributions at MHz repetition rates. J. Synchrotron Rad. 2019, 26, 1514–1522. [Google Scholar] [CrossRef] [Green Version]
- Ding, T.; Rebholz, M.; Aufleger, L.; Hartmann, M.; Stooß, V.; Magunia, A.; Birk, P.; Borisova, G.D.; Wachs, D.; da Costa, C.C.; et al. Measuring the frequency chirp of extreme-ultraviolet free-electron laser pulses by transient absorption spectroscopy. Nat. Commun. 2021, 12, 643. [Google Scholar] [CrossRef] [PubMed]
- Frühling, U.; Wiel, M.; Gensch, M.; Gebert, T.; Schütte, B.; Krikunova, M.; Kalms, R.; Budzyn, F.; Grimm, O.; Rossbach, J.; et al. Single-shot terahertz-field-driven X-ray streak camera. Nat. Photonics 2009, 3, 523–528. [Google Scholar] [CrossRef]
- Grguraš, I.; Maier, A.R.; Behrens, C.; Mazza, T.; Kelly, T.J.; Radcliffe, P.; Düsterer, S.; Kazansky, A.K.; Kabachnik, N.M.; Tschentscher, T.; et al. Ultrafast X-ray pulse characterization at free-electron lasers. Nat. Photonics 2012, 6, 852–857. [Google Scholar] [CrossRef]
- Frühling, U. Light field streaking for FELs. J. Phys. B At. Mol. Opt. Phys. 2011, 44, 243001. [Google Scholar] [CrossRef]
- Ivanov, R.; Bermudez, I.; Bidhendi, M.; Brachmanski, M.; Kreis, S.; Bonfigt, S.; Degenhardt, M.; Düsterer, S. Photon diagnostic beamline FL21 at FLASH. J. Synchrotron Rad. 2022, submitted.
- Ivanov, R.; Liu, J.; Brenner, G.; Brachmanski, M.; Düsterer, S. FLASH free-electron laser single-shot temporal diagnostic: Terahertz-field-driven streaking. J. Synchrotron Rad. 2018, 25, 26. [Google Scholar] [CrossRef]
- Ivanov, R.; Macias, I.J.; Liu, J.; Brenner, G.; Roensch-Schulenburg, J.; Kurdi, G.; Frühling, U.; Wenig, K.; Walther, S.; Dimitriou, A.; et al. Single-shot temporal characterization of XUV pulses with duration from ∼10 fs to ∼350 fs at FLASH. J. Phys. B 2020, 53, 184004. [Google Scholar] [CrossRef]
- Tiedtke, K.; Azima, A.; Von Bargen, N.; Bittner, L.; Bonfigt, S.; Düsterer, S.; Faatz, B.; Frühling, U.; Gensch, M.; Gerth, C.; et al. The soft X-ray free-electron laser FLASH at DESY: Beamlines, diagnostics and end-stations. New J. Phys. 2009, 11, 023029. [Google Scholar] [CrossRef]
- Roling, S.; Siemer, B.; Wöstmann, M.; Zacharias, H.; Mitzner, R.; Singer, A.; Tiedtke, K.; Vartanyants, I.A. Temporal and spatial coherence properties of free-electron-laser pulses in the extreme ultraviolet regime. Phys. Rev. ST Accel. Beams 2011, 14, 080701. [Google Scholar] [CrossRef]
- Tiedtke, K.; Feldhaus, J.; Hahn, U.; Jastrow, U.; Nunez, T.; Tschentscher, T.; Bobashev, S.V.; Sorokin, A.A.; Hastings, J.B.; Möller, S.; et al. Gas detectors for X-ray lasers. J. Appl. Phys. 2008, 103, 094511. [Google Scholar] [CrossRef] [Green Version]
- Saldin, E.L.; Schneidmiller, E.A.; Yurkov, M.V. Statistical and coherence properties of radiation from X-ray free-electron lasers. New J. Phys. 2010, 12, 035010. [Google Scholar] [CrossRef]
- Faatz, B.; Braune, M.; Hensler, O.; Honkavaara, K.; Kammering, R.; Kuhlmann, M.; Ploenjes, E.; Roensch-Schulenburg, J.; Schneidmiller, E.; Schreiber, S.; et al. The FLASH Facility: Advanced Options for FLASH2 and Future Perspectives. Appl. Sci. 2017, 7, 1114. [Google Scholar] [CrossRef]





| Wavelength | Electron Bunch Energy | |||||
|---|---|---|---|---|---|---|
| 8 nm | 1008 MeV | 9.4 | 75 fs | 60 μJ | 7fs | 22 |
| 10 nm | 875 MeV | 8.9 | 50 fs | 39 μJ | 8 fs | 13 |
| 12 nm | 1008 MeV | 7.7 | 88 fs | 88 μJ | 9 fs | 16 |
| 16 nm | 1008 MeV | 7.0 | 105 fs | 130 μJ | 12 fs | 16 |
| 20 nm | 875 MeV | 6.1 | 95 fs | 50 μJ | 15 fs | 13 |
| 34 nm | 434 MeV | 8.3 | 77 fs | 26 μJ | 20 fs | 8 |
Publisher’s Note: MDPI stays neutral with regard to jurisdictional claims in published maps and institutional affiliations. |
© 2022 by the authors. Licensee MDPI, Basel, Switzerland. This article is an open access article distributed under the terms and conditions of the Creative Commons Attribution (CC BY) license (https://creativecommons.org/licenses/by/4.0/).
Share and Cite
Bidhendi, M.M.; Bermudez Macias, I.J.; Ivanov, R.; Yurkov, M.V.; Düsterer, S. FEL Pulse Duration Evolution along Undulators at FLASH. Appl. Sci. 2022, 12, 7048. https://doi.org/10.3390/app12147048
Bidhendi MM, Bermudez Macias IJ, Ivanov R, Yurkov MV, Düsterer S. FEL Pulse Duration Evolution along Undulators at FLASH. Applied Sciences. 2022; 12(14):7048. https://doi.org/10.3390/app12147048
Chicago/Turabian StyleBidhendi, Mahdi M., Ivette J. Bermudez Macias, Rosen Ivanov, Mikhail V. Yurkov, and Stefan Düsterer. 2022. "FEL Pulse Duration Evolution along Undulators at FLASH" Applied Sciences 12, no. 14: 7048. https://doi.org/10.3390/app12147048
APA StyleBidhendi, M. M., Bermudez Macias, I. J., Ivanov, R., Yurkov, M. V., & Düsterer, S. (2022). FEL Pulse Duration Evolution along Undulators at FLASH. Applied Sciences, 12(14), 7048. https://doi.org/10.3390/app12147048

