Shifting of Meteorological to Hydrological Drought Risk at Regional Scale
Abstract
:1. Introduction
2. Materials and Methods
2.1. Study Area
2.2. Spatiotemporal Analysis of Drought
2.2.1. Meteorological Drought Assessment
2.2.2. Hydrological Drought Assessment
2.3. Identification of Linkage between Meteorological and Hydrological Drought and Lag Time
3. Results
3.1. Spatiotemporal Analysis of Droughts
3.1.1. Analysis of Meteorological Drought
3.1.2. Analysis of Hydrological Droughts
3.2. Link between Meteorological and Hydrological Droughts
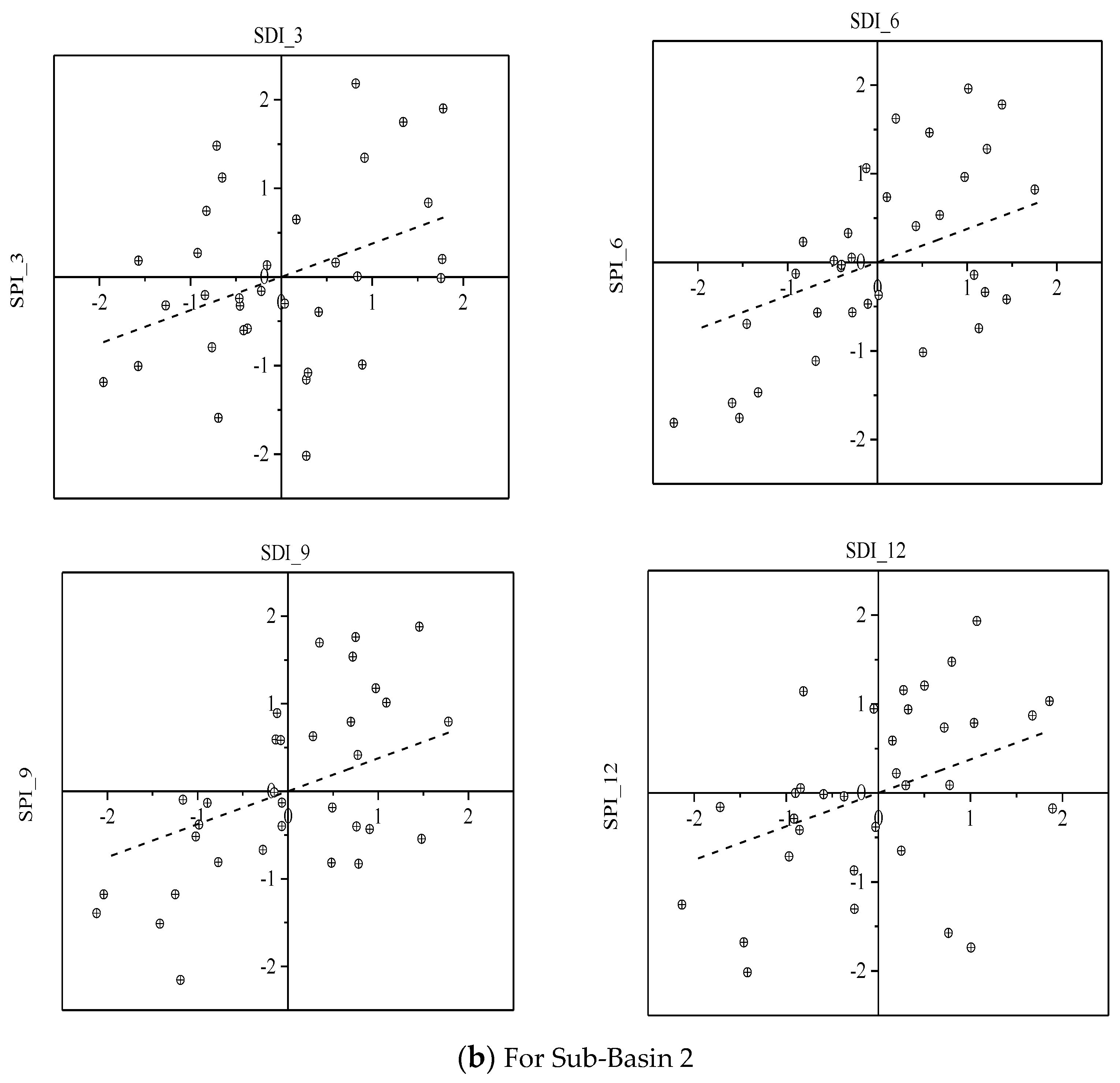
3.2.1. Establishing Regression Function
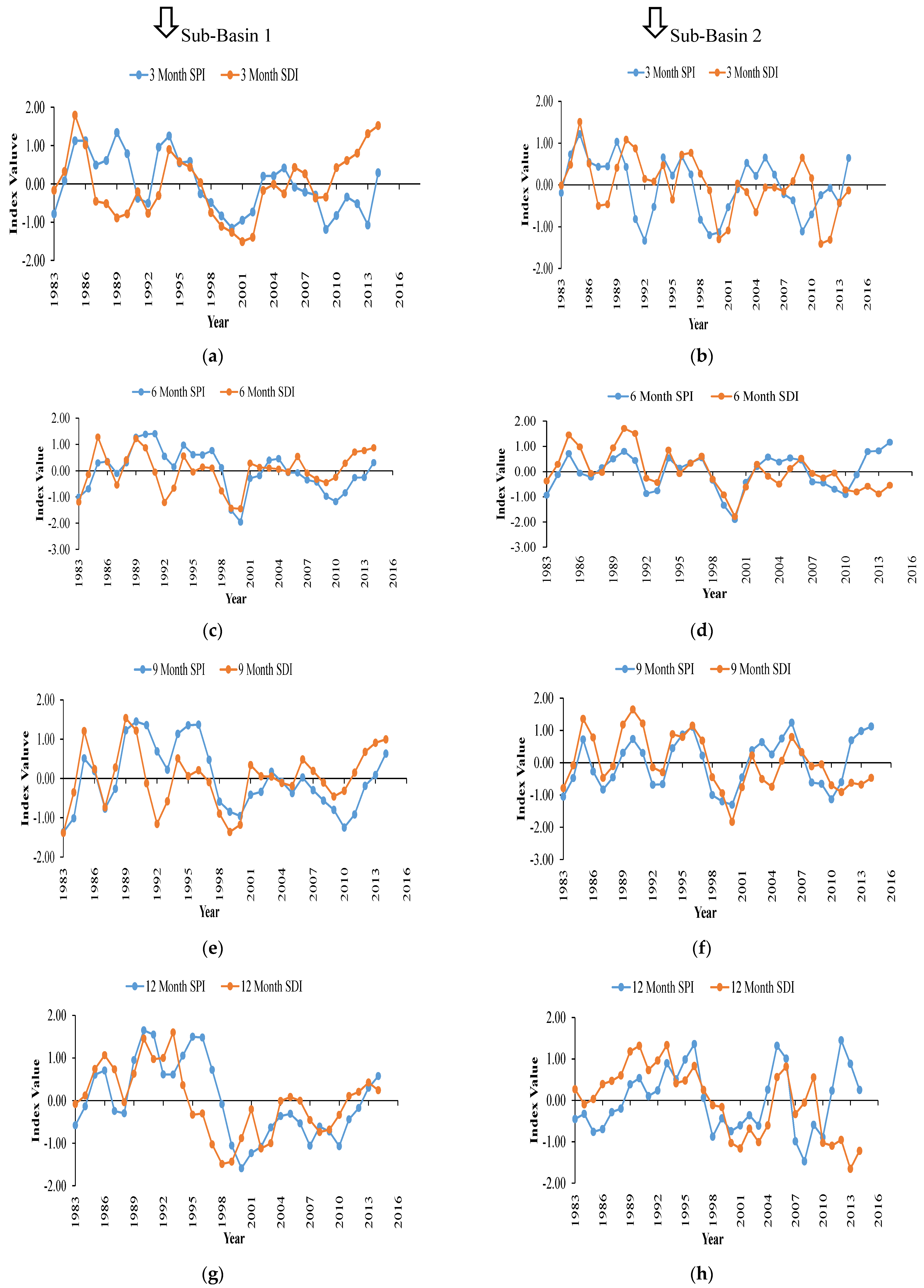
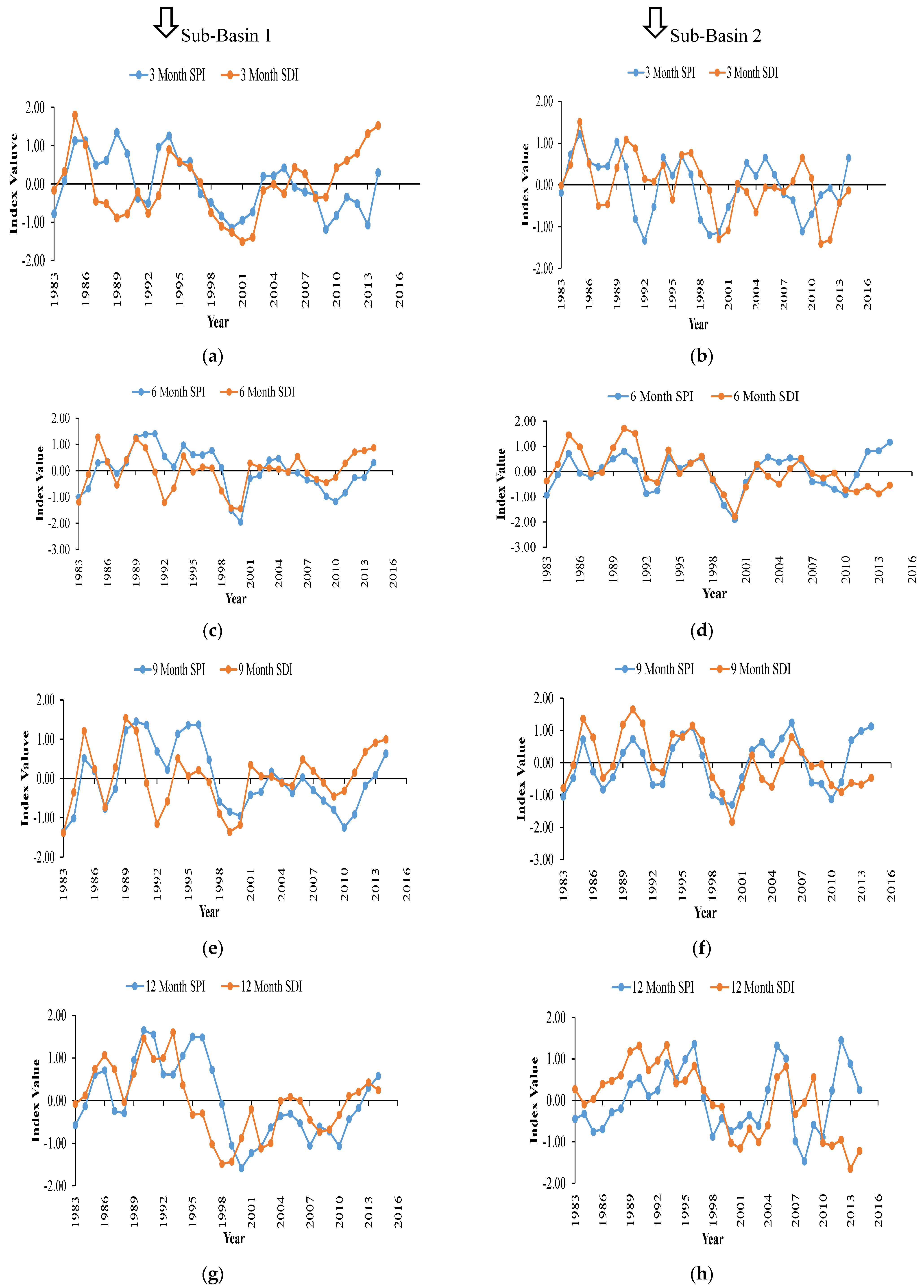
3.2.2. Moving Average Analysis and Lag Time Identification
4. Discussion
5. Conclusions
Author Contributions
Funding
Institutional Review Board Statement
Informed Consent Statement
Data Availability Statement
Acknowledgments
Conflicts of Interest
References
- Dai, A. Drought under Global Warming: A Review. Wiley Interdiscip. Rev. Clim. Chang. 2011, 2, 45–65. [Google Scholar] [CrossRef] [Green Version]
- Van Loon, A.F.; Stahl, K.; Di Baldassarre, G.; Clark, J.; Rangecroft, S.; Wanders, N.; Gleeson, T.; Van Dijk, A.I.J.M.; Tallaksen, L.M.; Hannaford, J. Drought in a Human-Modified World: Reframing Drought Definitions, Understanding, and Analysis Approaches. Hydrol. Earth Syst. Sci. 2016, 20, 3631–3650. [Google Scholar] [CrossRef] [Green Version]
- Wilhite, D.A. Drought as a Natural Hazard. In Droughts; Routledge: London, UK, 2021; p. 33. [Google Scholar]
- Vidal, J.-P.; Martin, E.; Franchistéguy, L.; Habets, F.; Soubeyroux, J.-M.; Blanchard, M.; Baillon, M. Multilevel and Multiscale Drought Reanalysis over France with the Safran-Isba-Modcou Hydrometeorological Suite. Hydrol. Earth Syst. Sci. 2010, 14, 459–478. [Google Scholar] [CrossRef] [Green Version]
- Peters, E.; Bier, G.; Van Lanen, H.A.J.; Torfs, P. Propagation and Spatial Distribution of Drought in a Groundwater Catchment. J. Hydrol. 2006, 321, 257–275. [Google Scholar] [CrossRef]
- Edossa, D.C.; Babel, M.S.; Das Gupta, A. Drought Analysis in the Awash River Basin, Ethiopia. Water Resour. Manag. 2010, 24, 1441–1460. [Google Scholar] [CrossRef]
- Tabrizi, A.A.; Khalili, D.; Kamgar-Haghighi, A.A.; Zand-Parsa, S. Utilization of Time-Based Meteorological Droughts to Investigate Occurrence of Streamflow Droughts. Water Resour. Manag. 2010, 24, 4287–4306. [Google Scholar] [CrossRef]
- Haslinger, K.; Koffler, D.; Schöner, W.; Laaha, G. Exploring the Link between Meteorological Drought and Streamflow: Effects of Climate-catchment Interaction. Water Resour. Res. 2014, 50, 2468–2487. [Google Scholar] [CrossRef]
- Jörg-Hess, S.; Griessinger, N.; Zappa, M. Probabilistic Forecasts of Snow Water Equivalent and Runoff in Mountainous Areas. J. Hydrometeorol. 2015, 16, 2169–2186. [Google Scholar] [CrossRef]
- Cheraghalizadeh, M.; Ghameshlou, A.N.; Bazrafshan, J.; Bazrafshan, O. A Copula-Based Joint Meteorological–Hydrological Drought Index in a Humid Region (Kasilian Basin, North Iran). Arab. J. Geosci. 2018, 11, 300. [Google Scholar] [CrossRef]
- Huang, S.; Li, P.; Huang, Q.; Leng, G.; Hou, B.; Ma, L. The Propagation from Meteorological to Hydrological Drought and Its Potential Influence Factors. J. Hydrol. 2017, 547, 184–195. [Google Scholar] [CrossRef]
- Zhu, J.; Zhou, L.; Huang, S. A Hybrid Drought Index Combining Meteorological, Hydrological, and Agricultural Information Based on the Entropy Weight Theory. Arab. J. Geosci. 2018, 11, 91. [Google Scholar] [CrossRef]
- Gumus, V.; Algin, H.M. Meteorological and Hydrological Drought Analysis of the Seyhan− Ceyhan River Basins, Turkey. Meteorol. Appl. 2017, 24, 62–73. [Google Scholar] [CrossRef]
- Huang, S.; Huang, Q.; Leng, G.; Liu, S. A Nonparametric Multivariate Standardized Drought Index for Characterizing Socioeconomic Drought: A Case Study in the Heihe River Basin. J. Hydrol. 2016, 542, 875–883. [Google Scholar] [CrossRef]
- Tijdeman, E.; Barker, L.J.; Svoboda, M.D.; Stahl, K. Natural and Human Influences on the Link between Meteorological and Hydrological Drought Indices for a Large Set of Catchments in the Contiguous United States. Water Resour. Res. 2018, 54, 6005–6023. [Google Scholar] [CrossRef]
- Wu, J.; Chen, X.; Gao, L.; Yao, H.; Chen, Y.; Liu, M. Response of Hydrological Drought to Meteorological Drought under the Influence of Large Reservoir. Adv. Meteorol. 2016, 2016, 2197142. [Google Scholar] [CrossRef] [Green Version]
- Wong, G.; Van Lanen, H.A.J.; Torfs, P. Probabilistic Analysis of Hydrological Drought Characteristics Using Meteorological Drought. Hydrol. Sci. J. 2013, 58, 253–270. [Google Scholar] [CrossRef] [Green Version]
- Sattar, M.N.; Lee, J.-Y.; Shin, J.-Y.; Kim, T.-W. Probabilistic Characteristics of Drought Propagation from Meteorological to Hydrological Drought in South Korea. Water Resour. Manag. 2019, 33, 2439–2452. [Google Scholar] [CrossRef]
- Abbas, A.; Waseem, M.; Ullah, W.; Zhao, C.; Zhu, J. Spatiotemporal Analysis of Meteorological and Hydrological Droughts and Their Propagations. Water 2021, 13, 2237. [Google Scholar] [CrossRef]
- Waseem, M.; Khurshid, T.; Abbas, A.; Ahmad, I.; Javed, Z. Impact of Meteorological Drought on Agriculture Production at Different Scales in Punjab, Pakistan. J. Water Clim. Chang. 2022, 13, 113–124. [Google Scholar] [CrossRef]
- Ahmed, K.; Shahid, S.; Harun, S.B.; Wang, X. Characterization of Seasonal Droughts in Balochistan Province, Pakistan. Stoch. Environ. Res. Risk Assess. 2016, 30, 747–762. [Google Scholar] [CrossRef]
- Sheikh, M.M. Drought Management and Prevention in Pakistan. In Proceedings of the COMSATS 1st Meeting on Water Resources in the South: Present Scenario and Future Prospects, Islamabad, Pakistan, 1–2 November 2001; Volume 1. [Google Scholar]
- Ahmed, K.; Shahid, S.; Nawaz, N. Impacts of Climate Variability and Change on Seasonal Drought Characteristics of Pakistan. Atmos. Res. 2018, 214, 364–374. [Google Scholar] [CrossRef]
- Ahmed, K.; Shahid, S.; Wang, X.; Nawaz, N.; Khan, N. Spatiotemporal Changes in Aridity of Pakistan during 1901–2016. Hydrol. Earth Syst. Sci. 2019, 23, 3081–3096. [Google Scholar] [CrossRef] [Green Version]
- Zahid, M.; Rasul, G. Frequency of Extreme Temperature and Precipitation Events in Pakistan 1965–2009. Sci. Int. 2011, 23, 313–319. [Google Scholar]
- Usman, M.; Nichol, J.E. A Spatio-Temporal Analysis of Rainfall and Drought Monitoring in the Tharparkar Region of Pakistan. Remote Sens. 2020, 12, 580. [Google Scholar] [CrossRef] [Green Version]
- Adnan, S.; Ullah, K.; Gao, S.; Khosa, A.H.; Wang, Z. Shifting of Agro-climatic Zones, Their Drought Vulnerability, and Precipitation and Temperature Trends in Pakistan. Int. J. Climatol. 2017, 37, 529–543. [Google Scholar] [CrossRef]
- Xie, H.; Ringler, C.; Zhu, T.; Waqas, A. Droughts in Pakistan: A Spatiotemporal Variability Analysis Using the Standardized Precipitation Index. Water Int. 2013, 38, 620–631. [Google Scholar] [CrossRef]
- Lee, J.E.; Azam, M.; Rehman, S.U.; Waseem, M.; Anjum, M.N.; Afzal, A.; Cheema, M.J.M.; Mehtab, M.; Latif, M.; Ahmed, R. Spatio-Temporal Variability of Drought Characteristics across Pakistan. Paddy Water Environ. 2022, 20, 117–135. [Google Scholar] [CrossRef]
- Shahid, M.; Cong, Z.; Zhang, D. Understanding the Impacts of Climate Change and Human Activities on Streamflow: A Case Study of the Soan River Basin, Pakistan. Theor. Appl. Climatol. 2018, 134, 205–219. [Google Scholar] [CrossRef]
- Shahid, M.; Dumat, C.; Khalid, S.; Schreck, E.; Xiong, T.; Niazi, N.K. Foliar Heavy Metal Uptake, Toxicity and Detoxification in Plants: A Comparison of Foliar and Root Metal Uptake. J. Hazard. Mater. 2017, 325, 36–58. [Google Scholar] [CrossRef] [Green Version]
- Muhammad, W.; Muhammad, S.; Khan, N.M.; Si, C. Hydrological Drought Indexing Approach in Response to Climate and Anthropogenic Activities. Theor. Appl. Climatol. 2020, 141, 1401–1413. [Google Scholar] [CrossRef]
- Liu, C.; Yang, C.; Yang, Q.; Wang, J. Spatiotemporal Drought Analysis by the Standardized Precipitation Index (SPI) and Standardized Precipitation Evapotranspiration Index (SPEI) in Sichuan Province, China. Sci. Rep. 2021, 11, 1280. [Google Scholar] [CrossRef] [PubMed]
- Qin, Y.; Yang, D.; Lei, H.; Xu, K.; Xu, X. Comparative Analysis of Drought Based on Precipitation and Soil Moisture Indices in Haihe Basin of North China during the Period of 1960–2010. J. Hydrol. 2015, 526, 55–67. [Google Scholar] [CrossRef]
- Zhao, P.; Lü, H.; Wang, W.; Fu, G. From Meteorological Droughts to Hydrological Droughts: A Case Study of the Weihe River Basin, China. Arab. J. Geosci. 2019, 12, 364. [Google Scholar] [CrossRef]
- Nalbantis, I.; Tsakiris, G. Assessment of Hydrological Drought Revisited. Water Resour. Manag. 2009, 23, 881–897. [Google Scholar] [CrossRef]
- Waseem, M.; Ahmad, I.; Mujtaba, A.; Tayyab, M.; Si, C.; Lü, H.; Dong, X. Spatiotemporal Dynamics of Precipitation in Southwest Arid-Agriculture Zones of Pakistan. Sustainability 2020, 12, 2305. [Google Scholar] [CrossRef] [Green Version]
- Waseem, M.; Ajmal, M.; Kim, T.-W. Improving the Flow Duration Curve Predictability at Ungauged Sites Using a Constrained Hydrologic Regression Technique. KSCE J. Civ. Eng. 2016, 20, 3012–3021. [Google Scholar] [CrossRef]
- Waseem, M.; Ajmal, M.; Ahmad, I.; Khan, N.M.; Azam, M.; Sarwar, M.K. Projected Drought Pattern under Climate Change Scenario Using Multivariate Analysis. Arab. J. Geosci. 2021, 14, 544. [Google Scholar] [CrossRef]
- Fu, Q.; Johanson, C.M.; Warren, S.G.; Seidel, D.J. Contribution of Stratospheric Cooling to Satellite-Inferred Tropospheric Temperature Trends. Nature 2004, 429, 55–58. [Google Scholar] [CrossRef]
- He, Y.; Wang, F.; Mu, X.; Yan, H.; Zhao, G. An Assessment of Human versus Climatic Impacts on Jing River Basin, Loess Plateau, China. Adv. Meteorol. 2015, 2015, 478739. [Google Scholar] [CrossRef]
- Wu, J.; Chen, X.; Yao, H.; Gao, L.; Chen, Y.; Liu, M. Non-Linear Relationship of Hydrological Drought Responding to Meteorological Drought and Impact of a Large Reservoir. J. Hydrol. 2017, 551, 495–507. [Google Scholar] [CrossRef]









| K | Sub-Basin 1 | Sub-Basin 2 | |
|---|---|---|---|
| 3-Months | a | 0.35 | 0.37 |
| R2 | 0.125 | 0.14 | |
| 6-months | a | 0.67 | 0.64 |
| R2 | 0.45 | 0.4 | |
| 9-Months | a | 0.66 | 0.63 |
| R2 | 0.44 | 0.4 | |
| 12-Months | a | 0.54 | 0.45 |
| R2 | 0.29 | 0.21 |
Publisher’s Note: MDPI stays neutral with regard to jurisdictional claims in published maps and institutional affiliations. |
© 2022 by the authors. Licensee MDPI, Basel, Switzerland. This article is an open access article distributed under the terms and conditions of the Creative Commons Attribution (CC BY) license (https://creativecommons.org/licenses/by/4.0/).
Share and Cite
Sarwar, A.N.; Waseem, M.; Azam, M.; Abbas, A.; Ahmad, I.; Lee, J.E.; Haq, F.u. Shifting of Meteorological to Hydrological Drought Risk at Regional Scale. Appl. Sci. 2022, 12, 5560. https://doi.org/10.3390/app12115560
Sarwar AN, Waseem M, Azam M, Abbas A, Ahmad I, Lee JE, Haq Fu. Shifting of Meteorological to Hydrological Drought Risk at Regional Scale. Applied Sciences. 2022; 12(11):5560. https://doi.org/10.3390/app12115560
Chicago/Turabian StyleSarwar, Awais Naeem, Muhammad Waseem, Muhammad Azam, Adnan Abbas, Ijaz Ahmad, Jae Eun Lee, and Faraz ul Haq. 2022. "Shifting of Meteorological to Hydrological Drought Risk at Regional Scale" Applied Sciences 12, no. 11: 5560. https://doi.org/10.3390/app12115560
APA StyleSarwar, A. N., Waseem, M., Azam, M., Abbas, A., Ahmad, I., Lee, J. E., & Haq, F. u. (2022). Shifting of Meteorological to Hydrological Drought Risk at Regional Scale. Applied Sciences, 12(11), 5560. https://doi.org/10.3390/app12115560

