Multi-Objective Optimization Using Cooperative Garden Balsam Optimization with Multiple Populations
Abstract
:1. Introduction
- Cooperative multi-objective garden balsam optimization (CMGBO) is proposed for solving MOPs;
- To maintain a limited size of the Pareto set, an external archive is integrated into the CMGBO algorithm;
- The ε-dominance relationship is adopted to update the archive;
- Crowding distance calculations are used within the objective space to improve the diversity of solutions;
- An effective strategy of the leader’s selection is proposed to further improve both the convergence and diversity of the Pareto front.
2. Background
2.1. Multi-Objective Optimization Problem (MOP)
2.2. Epsilon Dominance
2.3. Performance Metrics
- Inverted Generational Distance (IGD)
- Hyper-Volume Metric (HV)
2.4. Garden Balsam Optimization
- (1)
- The initialization of a population is due to the few seeds scattered randomly on a specific area growing roots and producing a first-generation population;
- (2)
- Progeny reproduction: The natural conditions in the growing area cause each plant in the first-generation population to show different growth rates. The stronger plants bear more fruits and spawn more seeds.
- (3)
- Mechanical transmission: Plants in good growing conditions bear fully grown fruits, more powerful ejection forces and, consequently, farther ejections of seeds.
- (4)
- Second transmission: For population diversity to increase, seeds are randomly transported from place to place by animals, water and wind.
- (5)
- Competition-based elimination: The population size of a specific region is limited by . When the population size reaches the upper limit, elite seeds are retained, and redundant seeds are randomly eliminated. The number of elite seeds is calculated using Formula (9).
3. CMGBO: Cooperative Multi-Objective Garden Balsam Optimization
3.1. Co-Evolutionary Mechanism
3.2. Updating the Archive
| Algorithm 1. Refresh the archive population pseudo-code. |
| Require: A(t): in iteration t, the group of outside archive; : the new seed. |
| 1: if then |
| 2: is not recognized |
| 3: else if then |
| 4: exchanges |
| 5: else if then |
| 6: if then |
| 7: Keep the seed with the smallest distance from |
| 8: else |
| 9: Keep the seed that dominates the other |
| 10: end if |
| 11: else |
| 12: Add the seed in A(t) |
| 13: end if |
3.3. Crowding Distance Operator
| Algorithm 2. Crowding distance computation algorithm. |
| Require: A: the external archive |
| 1: |
| 2: for do |
| 3: |
| 4: end for |
| 5: for each objective m do |
| 6: |
| 7: |
| 8: for to do |
| 9: |
| 10: end for |
| 11: end for |
3.4. General Operating of the CMGBO Algorithm
| Algorithm 3. CMGBO algorithm. |
| Require: A; iter = 0; number of function evaluation, NFE = 0; |
| 1: for do %M is the number of objectives% |
| 2: for do % is the pop size% |
| 3: randomly initialize individual for the th objective; |
| 4: compute objective values of ; |
| 5: NFE = NFE + 1; |
| 6: end for |
| 7: end for |
| 8: refresh A by sub-populations (); |
| 9: while iter < itermax do |
| 10: for do |
| 11: ; % ϕ empty set% |
| 12: calculate the fitness value of each seeds; |
| 13: for do |
| 14: compute of ; |
| 15: compute the dispersion range of new seeds, of ; |
| 16: for do |
| 17: generate new seeds of th parent in th population; |
| 18: end for |
| 19: ; |
| 20: end for |
| 21: for do |
| 22: randomly select a seed for second transmission; |
| 23: end for |
| 24: ; |
| 25: evaluate the new offspring ; |
| 26: ; |
| 27: sort the whole population (); |
| 28: Calculate the number of elite solutions ; |
| 29: solutions with the optimal adaptive value from are selected to form the elite solution set ; |
| 30: if then |
| 31: truncate the population with elite-random selection algorithm until ; |
| 32: end if |
| 33: end for |
| 34: update archive population according to Algorithm 1; |
| 35: ; |
| 36: end while |
| Output: the members of A. |
4. Consequences and Discussion
4.1. Experiment Settings
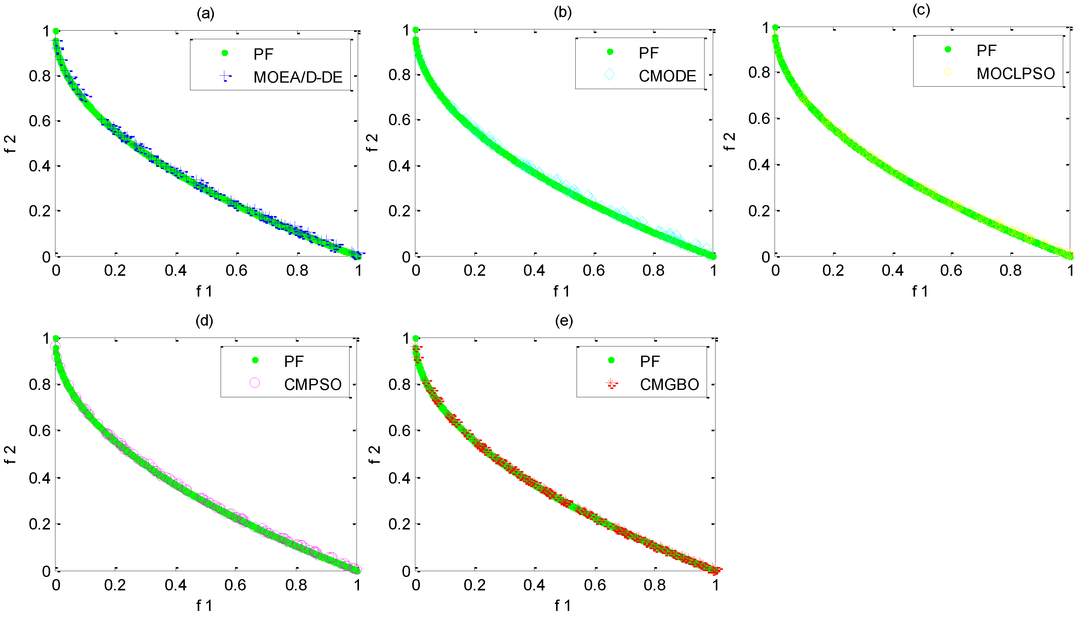
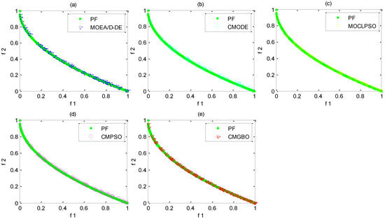
4.2. Experimental Results on ZDT Problems
4.3. Experimental Results on UF and DTLZ Problems
4.4. Experimental Results on the MaF Test Functions
4.5. Discussion
- (1)
- As each swarm focuses on optimizing one objective, it can use conventional or any other improved GBO to solve a single-objective problem. Importantly, the difficulty of fitness assignment can be avoided;
- (2)
- As an external shared archive is used to store the non-dominated solutions found by different swarms, and because the shared-archive information is used to guide the seed update, the algorithm can use the whole search information to approximate the whole PF quickly;
- (3)
- As ε-dominance is performed on the archived solutions in the update process, the algorithm is able to avoid local PFs. This is helpful for MOPs with multimodal objective functions or with complicated Pareto sets.
- (1)
- Applying other algorithms and their improved variants to realize MPMO for the further evaluation of the performance of the multiple-population algorithms in solving MOP. Nevertheless, the information-sharing and population communication strategy should be redesigned when new optimization algorithms are used. For example, we can let individuals perform crossover among different populations for GA information sharing and communication;
- (2)
- Using the MPMO-based multi-objective algorithms to solve MOPs with many objectives and to solve those problems in dynamic, noisy and uncertain environments;
- (3)
- Applying the new MPMO-based multi-objective algorithms to real-world problems.
5. Conclusions
Author Contributions
Funding
Institutional Review Board Statement
Informed Consent Statement
Data Availability Statement
Conflicts of Interest
References
- Andersson, J. A Survey of Multiobjective Optimization in Engineering Design; Department of Mechanical Engineering, Linktjping University: Linköping, Sweden, 2000. [Google Scholar]
- Marler, R.T.; Arora, J.S. Survey of multi-objective optimization methods for engineering. Struct. Multidiscip. Optim. 2004, 26, 369–395. [Google Scholar] [CrossRef]
- Cagnina, L.C.; Esquivel, S.C.; Coello, C.A.C. Solving engineering optimization problems with the simple constrained particle swarm optimizer. Informatica 2008, 32, 319–326. [Google Scholar]
- Deb, K. Multi-Objective Optimization using Evolutionary Algorithms; John Wiley & Sons Inc.: New York, NY, USA, 2001. [Google Scholar]
- Deb, K.; Pratap, A.; Agarwal, S.; Meyarivan, T. A fast and elitist multiobjective genetic algorithm: NSGA-II. IEEE Trans. Evol. Comput. 2002, 6, 182–197. [Google Scholar] [CrossRef] [Green Version]
- Zitzler, E.; Laumanns, M.; Thiele, L. SPEA2: Improving the Strength Pareto Evolutionary Algorithm; TIK-Report; Eidgenössische Technische Hochschule Zürich (ETH), Institut für Technische Informatik und Kommunikationsnetze (TIK): Zürich, Switzerland, 2001; Volume 103. [Google Scholar] [CrossRef]
- Coello, C.A.C.; Pulido, G.T.; Lechuga, M.S. Handling multiple objectives with particle swarm optimization. IEEE Trans. Evol. Comput. 2004, 8, 256–279. [Google Scholar] [CrossRef]
- Deb, K.; Mohan, M.; Mishra, S. Evaluating the ε-Domination Based Multi-Objective Evolutionary Algorithm for a Quick Computation of Pareto-Optimal Solutions. Evol. Comput. 2005, 13, 501–525. [Google Scholar] [CrossRef]
- Zhang, Q.; Li, H. MOEA/D: A Multiobjective Evolutionary Algorithm Based on Decomposition. IEEE Trans. Evol. Comput. 2007, 11, 712–731. [Google Scholar] [CrossRef]
- Paknejad, P.; Khorsand, R.; Ramezanpour, M. Chaotic improved piceag-based multi-objective optimization for workflow scheduling in cloud environment. Future Gener. Comput. Syst. 2021, 117, 12–28. [Google Scholar] [CrossRef]
- Ismayilov, G.; Topcuoglu, H.R. Neural network based multi-objective evolutionary algorithm for dynamic workflow scheduling in cloud computing. Future Gener. Comput. Syst. 2020, 102, 307–322. [Google Scholar] [CrossRef]
- Zitzler, E.; Künzli, S. Indicator-based selection in multiobjective search. In International Conference on Parallel Problem Solving from Nature; Springer: Berlin/Heidelberg, Germany, 2004; pp. 832–842. [Google Scholar]
- Mirjalili, S.; Saremi, S.; Mirjalili, S.M.; Coelho, L.d.S. Multi-objective grey wolf optimizer: A novel algorithm for multi-criterion optimization. Expert Syst. Appl. 2016, 47, 106–119. [Google Scholar] [CrossRef]
- Mirjalili, S.; Jangir, P.; Saremi, S. Multi-objective ant lion optimizer: A multi-objective optimization algorithm for solving engineering problems. Appl. Intell. 2016, 46, 79–95. [Google Scholar] [CrossRef]
- Zouache, D.; Abdelaziz, F.B.; Lefkir, M.; Chalabi, N.E.-H. Guided moth-flame optimiser for multi-objective optimization problems. Ann. Oper. Res. 2021, 296, 877–899. [Google Scholar] [CrossRef]
- Got, A.; Moussaoui, A.; Zouache, D. A guided population archive whale optimization algorithm for solving multiobjective optimization problems. Expert Syst. Appl. 2019, 141, 112972. [Google Scholar] [CrossRef]
- Dhiman, G.; Kumar, V. Multi-objective spotted hyena optimizer: A Multi-objective optimization algorithm for engineering problems. Knowl.-Based Syst. 2018, 150, 175–197. [Google Scholar] [CrossRef]
- Wang, H.; Wang, W.; Cui, L.; Sun, H.; Zhao, J.; Wang, Y.; Xue, Y. A hybrid multi-objective firefly algorithm for big data optimization. Appl. Soft Comput. 2018, 69, 806–815. [Google Scholar] [CrossRef]
- Zhang, M.; Wang, H.; Cui, Z.; Chen, J. Hybrid multi-objective cuckoo search with dynamical local search. Memetic Comput. 2018, 10, 199–208. [Google Scholar] [CrossRef]
- Mirjalili, S.; Gandomi, A.H.; Mirjalili, S.Z.; Saremi, S.; Faris, H.; Mirjalili, S.M. Salp Swarm Algorithm: A bio-inspired optimizer for engineering design problems. Adv. Eng. Softw. 2017, 114, 163–191. [Google Scholar] [CrossRef]
- Lai, X.; Li, C.; Zhang, N.; Zhou, J. A multi-objective artificial sheep algorithm. Neural Comput. Appl. 2019, 31, 4049–4083. [Google Scholar] [CrossRef]
- Dhiman, G.; Singh, K.K.; Soni, M.; Nagar, A.; Dehghani, M.; Slowik, A.; Kaur, A.; Sharma, A.; Houssein, E.H.; Cengiz, K. MOSOA: A new multi-objective seagull optimization algorithm. Expert Syst. Appl. 2021, 167, 114150. [Google Scholar] [CrossRef]
- Zhan, Z.H.; Li, J.; Cao, J.; Zhang, J.; Chung HS, H.; Shi, Y.H. Multiple Populations for Multiple Objectives: A Coevolutionary Technique for Solving Multiobjective Optimization Problems. IEEE Trans. Syst. Man Cybern. 2013, 43, 445–463. [Google Scholar]
- Wang, J.; Zhang, W.; Zhang, J. Cooperative Differential Evolution with Multiple Populations for Multiobjective Optimization. IEEE Trans. Cybern. 2015, 46, 2848–2861. [Google Scholar] [CrossRef]
- Zitzler, E.; Deb, K.; Thiele, L. Comparison of multiobjective evolutionary algorithms: Empirical consequences. Evol. Comput. 2000, 8, 173–195. [Google Scholar] [CrossRef] [PubMed] [Green Version]
- Laumanns, M.; Thiele, L.; Deb, K.; Zitzler, E. Combining Convergence and Diversity in Evolutionary Multiobjective Optimization. Evol. Comput. 2002, 10, 263–282. [Google Scholar] [CrossRef] [PubMed]
- Coello, C.C.; Pulido, G. Multiobjective structural optimization using a microgenetic algorithm. Struct. Multidiscip. Optim. 2005, 30, 388–403. [Google Scholar] [CrossRef]
- Bhagavatula, S.S.; Sanjeevi, S.G.; Kumar, D.; Yadav, C.K.; Kumar, D. Multi-objective indicator based evolutionary algorithm for portfolio optimization. In Proceedings of the 2014 IEEE International Advance Computing Conference (IACC), Gurgaon, India, 21–22 February 2014; pp. 1206–1210. [Google Scholar]
- Li, S.; Sun, Y. A novel numerical optimization algorithm inspired from garden balsam. Neural Comput. Appl. 2020, 32, 16783–16794. [Google Scholar] [CrossRef]
- Li, S.; Sun, Y. Garden balsam optimization algorithm. Concurr. Comput. Pract. Exp. 2020, 32, e5456. [Google Scholar] [CrossRef]
- Li, H.; Zhang, Q. Multiobjective optimization problems with complicated Pareto sets, MOEA/D and NSGA-II. IEEE Trans. Evol. Comput. 2009, 13, 284–302. [Google Scholar] [CrossRef]
- Huang, V.; Suganthan, P.; Liang, J.J. Comprehensive learning particle swarm optimizer for solving multiobjective optimization problems. Int. J. Intell. Syst. 2005, 21, 209–226. [Google Scholar] [CrossRef]
- Zhang, Q.; Zhou, A.; Zhao, S.; Suganthan, P.N.; Liu, W.; Tiwari, S. Multiobjective optimization test instances for the CEC 2009 special session and competition. In Proceedings of the IEEE Congress on Evolutionary Computation (CEC) 2009, Trondheim, Norway, 18–21 May 2009; pp. 1–30. [Google Scholar]
- Deb, K.; Thiele, L.; Laumanns, M.; Zitzler, E. Scalable Multi-Objective Optimization Test Problems. In Proceedings of the 2002 Congress on Evolutionary, Honolulu, HI, USA, 12–17 May 2002; pp. 825–830. [Google Scholar]
- Cheng, R.; Li, M.; Tian, Y.; Zhang, X.; Yang, S.; Jin, Y.; Yao, X. A benchmark test suite for evolutionary many-objective optimization. Complex Intell. Syst. 2017, 3, 67–81. [Google Scholar] [CrossRef]














| Algorithm | Parameters |
|---|---|
| MOEA/D-DE | |
| CMODE | |
| MOCLPSO | |
| CMPSO | |
| CMGBO |
| Test Function | Variables M | Variables D | Range | Optimum | Characteristics |
|---|---|---|---|---|---|
| ZDT1 | 2 | 30 | Convex | ||
| ZDT2 | 2 | 30 | Concave | ||
| ZDT3 | 2 | 10 | Convex, Disconnected | ||
| ZDT4 | 2 | 10 | Concave | ||
| ZDT6 | 2 | 10 | Concave | ||
| UF1 (DE) | 2 | 30 | Convex, Disconnected | ||
| UF5 (DE) | 2 | 30 | Scatter, Disconnected | ||
| DTLZ1 | 3 | 12 | Linear | ||
| DTLZ7 | 3 | 12 | Concave, Disconnected | ||
| MaF1 | 10 | 19 | Linear | ||
| MaF2 | 10 | 19 | Concave | ||
| MaF3 | 10 | 19 | Convex, Multimodal | ||
| MaF4 | 10 | 19 | Concave, Multimodal, Badly Scaled | ||
| MaF5 | 10 | 19 | Convex, Biased, Badly Scaled | ||
| MaF6 | 10 | 19 | Concave, Degenerate |
| Test Function | MOEA/D-DE | CMODE | MOCLPSO | CMPSO | CMGBO | |
|---|---|---|---|---|---|---|
| ZDT1 | Mean | 1.60 × 10−1 | 4.21 × 10−3 | 4.80 × 10−3 | 4.13 × 10−3 | 4.07 × 10−3 |
| Std | 1.93 × 10−2 | 2.54 × 10−4 | 1.76 × 10−4 | 8.30 × 10−5 | 2.91 × 10−4 | |
| Rank | 5− | 3− | 4− | 1 | ||
| ZDT2 | Mean | 2.30 × 10−1 | 7.15 × 10−3 | 3.80 × 10−2 | 4.32 × 10−3 | 3.92 × 10−3 |
| Std | 3.07 × 10−2 | 2.51 × 10−4 | 3.04 × 10−3 | 1.03 × 10−4 | 3.25 × 10−4 | |
| Rank | 5− | 3− | 4− | 1 | ||
| ZDT3 | Mean | 2.30 × 10−1 | 9.12 × 10−2 | 5.49 × 10−3 | 1.39 × 10−2 | 2.25 × 10−2 |
| Std | 2.17 × 10−2 | 5.36 × 10−2 | 2.49 × 10−4 | 3.49 × 10−3 | 4.47 × 10−3 | |
| Rank | 5− | 4− | 1+ | 2+ | 3 | |
| ZDT4 | Mean | 3.10 × 10−1 | 4.90 × 10−1 | 3.26 | 7.90 × 10−1 | 5.70 × 10−1 |
| Std | 2.30 × 10−1 | 3.20 × 10−1 | 1.35 | 2.60 × 10−1 | 2.20 × 10−1 | |
| Rank | 1+ | 2+ | 5− | 4− | 3 | |
| ZDT6 | Mean | 1.54 | 4.06 × 10−3 | 3.69 × 10−3 | 3.72 × 10−3 | 3.64 × 10−3 |
| Std | 1.30 × 10−1 | 5.19 × 10−4 | 1.31 × 10−4 | 1.47 × 10−4 | 1.73 × 10−4 | |
| Rank | 5− | 4− | 1 | |||
| Final Rank | Total | 21 | 16 | 16 | 13 | 9 |
| Final | 5 | 3 | 3 | 2 | 1 | |
| Better-Worse | −3 | −3 | −2 | 0 | ||
| Algorithm | MOEA/D-DE | CMODE | MOCLPSO | CMPSO | CMGBO | |
| Test Function | MOEA/D-DE | CMODE | MOCLPSO | CMPSO | CMGBO | |
|---|---|---|---|---|---|---|
| UF1 | Mean | 6.95 × 10−2 | 4.68 × 10−2 | 8.52 × 10−2 | 7.57 × 10−2 | 4.79 × 10−2 |
| Std | 3.00 × 10−2 | 8.48 × 10−3 | 2.41 × 10−2 | 2.01 × 10−2 | 1.96 × 10−2 | |
| Rank | 3− | 5− | 4− | 2 | ||
| UF5 | Mean | 4.60 × 10−1 | 2.42 × 10−1 | 3.80 × 10−1 | 2.52 × 10−1 | 2.08 × 10−1 |
| Std | 1.06 × 10−1 | 9.58 × 10−2 | 9.25 × 10−2 | 4.04 × 10−2 | 3.24 × 10−2 | |
| Rank | 5− | 2− | 4− | 3− | 1 | |
| DTLZ1 | Mean | 9.47 × 10−2 | 5.67 × 10−2 | 2.07 × 10−3 | 2.75 × 10−3 | 3.15 × 10−3 |
| Std | 3.25 × 10−2 | 2.21 × 10−2 | 3.49 × 10−4 | 4.36 × 10−4 | 5.27 × 10−4 | |
| Rank | 5− | 4− | 1+ | 2+ | 3 | |
| DTLZ7 | Mean | 4.79 × 10−2 | 6.61 × 10−3 | 4.36 × 10−2 | 2.42 × 10−3 | 3.73 × 10−3 |
| Std | 9.51 × 10−3 | 8.92 × 10−3 | 9.12 × 10−3 | 6.05 × 10−3 | 5.92 × 10−3 | |
| Rank | 5− | 3− | 4− | 1+ | 2 | |
| Final Rank | Total | 18 | 10 | 14 | 10 | 8 |
| Final | 5 | 2 | 4 | 2 | 1 | |
| Better-Worse | −4 | −3 | −2 | 0 | ||
| Algorithm | MOEA/D-DE | CMODE | MOCLPSO | CMPSO | CMGBO | |
| Algorithm | Best | Worst | Median | Average | Std. | |
|---|---|---|---|---|---|---|
| MaF1 | CMGBO | 1.08 × 10−2 | 1.72 × 10−2 | 1.29 × 10−2 | 1.32 × 10−2 | 1.20 × 10−3 |
| CMPSO | 8.88 × 10−3 | 1.34 × 10−2 | 1.03 × 10−2 | 1.06 × 10−2 | 1.26 × 10−3 | |
| CMODE | 5.05 × 10−2 | 7.54 × 10−2 | 6.48 × 10−2 | 6.42 × 10−2 | 5.87 × 10−3 | |
| MOCLPSO | 3.32 × 10−2 | 5.62 × 10−2 | 4.48 × 10−2 | 4.52 × 10−2 | 5.49 × 10−3 | |
| MOEA/D-DE | 2.28 × 10−2 | 3.48 × 10−2 | 2.65 × 10−2 | 2.76 × 10−2 | 3.11 × 10−3 | |
| MaF2 | CMGBO | 2.29 × 10−2 | 3.20 × 10−2 | 2.63 × 10−2 | 2.68 × 10−2 | 2.27 × 10−3 |
| CMPSO | 1.34 × 10−1 | 2.43 × 10−1 | 1.68 × 10−1 | 1.69 × 10−1 | 2.49 × 10−2 | |
| CMODE | 7.59 × 10−1 | 9.96 × 10−1 | 9.02 × 10−1 | 8.87 × 10−1 | 6.45 × 10−2 | |
| MOCLPSO | 5.36 × 10−1 | 9.61 × 10−1 | 7.44 × 10−1 | 7.56 × 10−1 | 9.22 × 10−2 | |
| MOEA/D-DE | 3.11 × 10−1 | 5.39 × 10−1 | 4.32 × 10−1 | 4.27 × 10−1 | 6.21 × 10−2 | |
| MaF3 | CMGBO | 4.91 × 10−2 | 4.67 × 10−3 | 1.17 × 10−3 | 1.64 × 10−3 | 1.54 × 10−3 |
| CMPSO | 1.15 × 10−3 | 3.37 × 10−4 | 6.83 × 10−3 | 9.82 × 10−3 | 8.67 × 10−3 | |
| CMODE | 3.23 × 10−3 | 8.00 × 10−3 | 5.98 × 10−3 | 5.86 × 10−3 | 1.17 × 10−3 | |
| MOCLPSO | 1.86 × 10−2 | 4.75 × 10−3 | 2.98 × 10−3 | 2.96 × 10−3 | 1.11 × 10−3 | |
| MOEA/D-DE | 2.42 × 10−2 | 1.05 × 10−4 | 3.03 × 10−3 | 3.41 × 10−3 | 2.36 × 10−3 | |
| MaF4 | CMGBO | 6.94 × 10−2 | 6.32 × 10−1 | 1.12 × 10−1 | 1.92 × 10−1 | 1.97 × 10−1 |
| CMPSO | 1.92 × 10−1 | 6.65 × 10−1 | 3.41 × 10−1 | 3.54 × 10−1 | 1.07 × 10−1 | |
| CMODE | 3.00 × 10−1 | 1.10 × 10−2 | 8.15 × 10−1 | 7.67 × 10−1 | 2.64 × 10−1 | |
| MOCLPSO | 8.34 × 100 | 7.94 × 10−1 | 6.00 × 10−1 | 5.39 × 10−1 | 1.83 × 10−1 | |
| MOEA/D-DE | 7.07 × 100 | 6.57 × 10+1 | 2.82 × 10+1 | 2.88 × 10+1 | 1.21 × 10+1 | |
| MaF5 | CMGBO | 3.64 × 10−2 | 5.48 × 10−2 | 4.23 × 10−2 | 4.33 × 10−2 | 4.17 × 10−3 |
| CMPSO | 5.60 × 10−2 | 2.59 × 10−1 | 7.49 × 10−2 | 1.22 × 10−1 | 8.36 × 10−2 | |
| CMODE | 5.90 × 10−2 | 9.66 × 10−2 | 7.65 × 10−2 | 7.60 × 10−2 | 1.03 × 10−2 | |
| MOCLPSO | 1.25 × 10−1 | 3.58 × 10−1 | 2.51 × 10−1 | 2.47 × 10−1 | 6.77 × 10−2 | |
| MOEA/D-DE | 4.44 × 10−2 | 5.96 × 10−1 | 1.07 × 10−1 | 2.11 × 10−1 | 2.12 × 10−1 | |
| MaF6 | CMGBO | 7.40 × 10−4 | 1.14 × 10−3 | 8.59 × 10−4 | 8.70 × 10−4 | 9.54 × 10−5 |
| CMPSO | 1.45 × 10−3 | 9.78 × 10−3 | 3.89 × 10−3 | 4.22 × 10−3 | 2.18 × 10−3 | |
| CMODE | 3.23 × 10−3 | 8.18 × 10−2 | 4.25 × 10−2 | 3.80 × 10−2 | 1.83 × 10−2 | |
| MOCLPSO | 5.54 × 10−3 | 2.52 × 10−2 | 1.39 × 10−2 | 1.47 × 10−2 | 4.38 × 10−3 | |
| MOEA/D-DE | 9.76 × 10−4 | 2.69 × 10−3 | 1.23 × 10−3 | 1.30 × 10−3 | 3.21 × 10−4 | |
| Algorithm | Best | Worst | Median | Average | Std. | |
|---|---|---|---|---|---|---|
| MaF1 | CMGBO | 1.72 × 10−1 | 1.27 × 10−1 | 1.54 × 10−1 | 1.54 × 10−1 | 8.73 × 10−3 |
| CMPSO | 1.97 × 10−1 | 1.80 × 10−1 | 1.90 × 10−1 | 1.89 × 10−1 | 4.11 × 10−3 | |
| CMODE | 7.53 × 10−2 | 3.15 × 10−2 | 4.59 × 10−2 | 4.73 × 10−2 | 9.39 × 10−3 | |
| MOCLPSO | 1.15 × 10−1 | 4.52 × 10−2 | 7.33 × 10−2 | 7.46 × 10−2 | 1.59 × 10−2 | |
| MOEA/D-DE | 1.43 × 10−1 | 1.15 × 10−1 | 1.33 × 10−1 | 1.31 × 10−1 | 7.37 × 10−3 | |
| MaF2 | CMGBO | 1.77 × 10−1 | 1.34 × 10−1 | 1.56 × 10−1 | 1.56 × 10−1 | 8.71 × 10−3 |
| CMPSO | 1.99 × 100 | 1.81 × 100 | 1.92 × 100 | 1.92 × 100 | 4.35 × 10−2 | |
| CMODE | 6.93 × 10−1 | 5.57 × 10−1 | 5.86 × 10−1 | 5.90 × 10−1 | 2.75 × 10−3 | |
| MOCLPSO | 9.38 × 10−1 | 5.10 × 10−1 | 6.40 × 10−1 | 6.53 × 10−1 | 1.02 × 10−1 | |
| MOEA/D-DE | 1.33 × 100 | 1.12 × 100 | 1.25 × 100 | 1.25 × 100 | 5.75 × 10−2 | |
| MaF3 | CMGBO | 4.91 × 10−1 | 0 | 0 | 1.58 × 10−2 | 8.82 × 10−2 |
| CMPSO | 0 | 0 | 0 | 0 | 0 | |
| CMODE | 0 | 0 | 0 | 0 | 0 | |
| MOCLPSO | 0 | 0 | 0 | 0 | 0 | |
| MOEA/D-DE | 0 | 0 | 0 | 0 | 0 | |
| MaF4 | CMGBO | 3.94 × 10−1 | 0 | 0 | 3.64 × 10−2 | 9.08 × 10−2 |
| CMPSO | 0 | 0 | 0 | 0 | 0 | |
| CMODE | 1.70 × 10−1 | 0 | 0 | 5.48 × 10−2 | 3.05 × 10−2 | |
| MOCLPSO | 0 | 0 | 0 | 0 | 0 | |
| MOEA/D-DE | 0 | 0 | 0 | 0 | 0 | |
| MaF5 | CMGBO | 5.25 × 10−1 | 4.87 × 10−1 | 5.12 × 10−1 | 5.10 × 10−1 | 1.07 × 10−2 |
| CMPSO | 4.87 × 10−1 | 3.07 × 10−1 | 4.43 × 10−1 | 4.16 × 10−1 | 6.26 × 10−2 | |
| CMODE | 4.47 × 10−1 | 3.89 × 10−1 | 4.26 × 10−1 | 4.22 × 10−1 | 1.60 × 10−2 | |
| MOCLPSO | 3.78 × 10−1 | 8.75 × 10−2 | 1.67 × 10−1 | 1.89 × 10−1 | 8.09 × 10−2 | |
| MOEA/D-DE | 5.19 × 10−1 | 9.09 × 10−2 | 4.36 × 10−1 | 3.65 × 10−1 | 1.53 × 10−1 | |
| MaF6 | CMGBO | 1.99 × 10−1 | 1.93 × 10−1 | 1.98 × 10−1 | 1.97 × 10−1 | 1.64 × 10−3 |
| CMPSO | 1.96 × 10−1 | 1.38 × 10−1 | 1.90 × 10−1 | 1.87 × 10−1 | 1.22 × 10−2 | |
| CMODE | 1.66 × 10−1 | 0 | 9.27 × 10−2 | 8.76 × 10−2 | 4.38 × 10−2 | |
| MOCLPSO | 1.88 × 10−1 | 1.09 × 10−1 | 1.42 × 10−1 | 1.47 × 10−1 | 1.74 × 10−2 | |
| MOEA/D-DE | 1.97 × 10−1 | 1.77 × 10−1 | 1.95 × 10−1 | 1.93 × 10−1 | 4.91 × 10−3 | |
| CMGBO VS | ||||
|---|---|---|---|---|
| CMPSO | CMODE | MOCLPSO | MOPSO | |
| MaF1 | 1.00 × 100 | 7.01 × 10−12 | 7.01 × 10−12 | 7.01 × 10−12 |
| MaF2 | 1.00 × 100 | 7.01 × 10−12 | 7.01 × 10−12 | 7.72 × 10−12 |
| MaF3 | 5.46 × 10−9 | 3.46 × 10−4 | 3.28 × 10−4 | 6.64 × 10−4 |
| MaF4 | 3.46 × 10−4 | 3.60 × 10−9 | 6.00 × 10−8 | 7.15 × 10−3 |
| MaF5 | 7.01 × 10−12 | 7.01 × 10−12 | 7.01 × 10−12 | 3.45 × 10−11 |
| MaF6 | 7.01 × 10−12 | 7.01 × 10−12 | 7.01 × 10−12 | 8.99 × 10−11 |
| CMGBO VS | ||||
|---|---|---|---|---|
| CMPSO | CMODE | MOCLPSO | MOPSO | |
| MaF1 | 1.00 × 100 | 7.01 × 10−12 | 7.01 × 10−12 | 5.67 × 10−11 |
| MaF2 | 1.00 × 100 | 7.01 × 10−12 | 7.01 × 10−12 | 7.01 × 10−12 |
| MaF3 | 1.67 × 10−1 | 1.67 × 10−1 | 1.67 × 10−1 | 1.67 × 10−1 |
| MaF4 | 5.57 × 10−3 | 2.15 × 10−2 | 5.57 × 10−3 | 5.57 × 10−3 |
| MaF5 | 7.72 × 10−12 | 7.01 × 10−12 | 7.01 × 10−12 | 5.33 × 10−9 |
| MaF6 | 2.04 × 10−10 | 7.01 × 10−12 | 7.01 × 10−12 | 2.50 × 10−7 |
Publisher’s Note: MDPI stays neutral with regard to jurisdictional claims in published maps and institutional affiliations. |
© 2022 by the authors. Licensee MDPI, Basel, Switzerland. This article is an open access article distributed under the terms and conditions of the Creative Commons Attribution (CC BY) license (https://creativecommons.org/licenses/by/4.0/).
Share and Cite
Wang, X.; Li, S. Multi-Objective Optimization Using Cooperative Garden Balsam Optimization with Multiple Populations. Appl. Sci. 2022, 12, 5524. https://doi.org/10.3390/app12115524
Wang X, Li S. Multi-Objective Optimization Using Cooperative Garden Balsam Optimization with Multiple Populations. Applied Sciences. 2022; 12(11):5524. https://doi.org/10.3390/app12115524
Chicago/Turabian StyleWang, Xiaohui, and Shengpu Li. 2022. "Multi-Objective Optimization Using Cooperative Garden Balsam Optimization with Multiple Populations" Applied Sciences 12, no. 11: 5524. https://doi.org/10.3390/app12115524
APA StyleWang, X., & Li, S. (2022). Multi-Objective Optimization Using Cooperative Garden Balsam Optimization with Multiple Populations. Applied Sciences, 12(11), 5524. https://doi.org/10.3390/app12115524

