A Novel Compliant 2-DOF Ejector Pin Mechanism for the Mass Transfer of Robotic Mini-LED Chips
Abstract
:1. Introduction
2. Mechanical Design and Modeling
2.1. Mechanical Design
- The stage is moving and then the target chip moves below the ejector pin.
- When the target chip is aligned with the ejector pin, the stage stops moving, and then the ejector pin pushes the epitaxial film downward.
- The stage remains stationary, and the ejector pin penetrates the epitaxial film. The target chip is separated from the epitaxial film, then it is contacted and fixed on the substrate.
- The ejector pin returns to the starting position, then the stage moves and the next chip is transferred.
2.2. Compliance Modeling
2.3. Dynamics Modeling
3. Finite Element Analysis of the Designed Mechanism
4. Controller Design
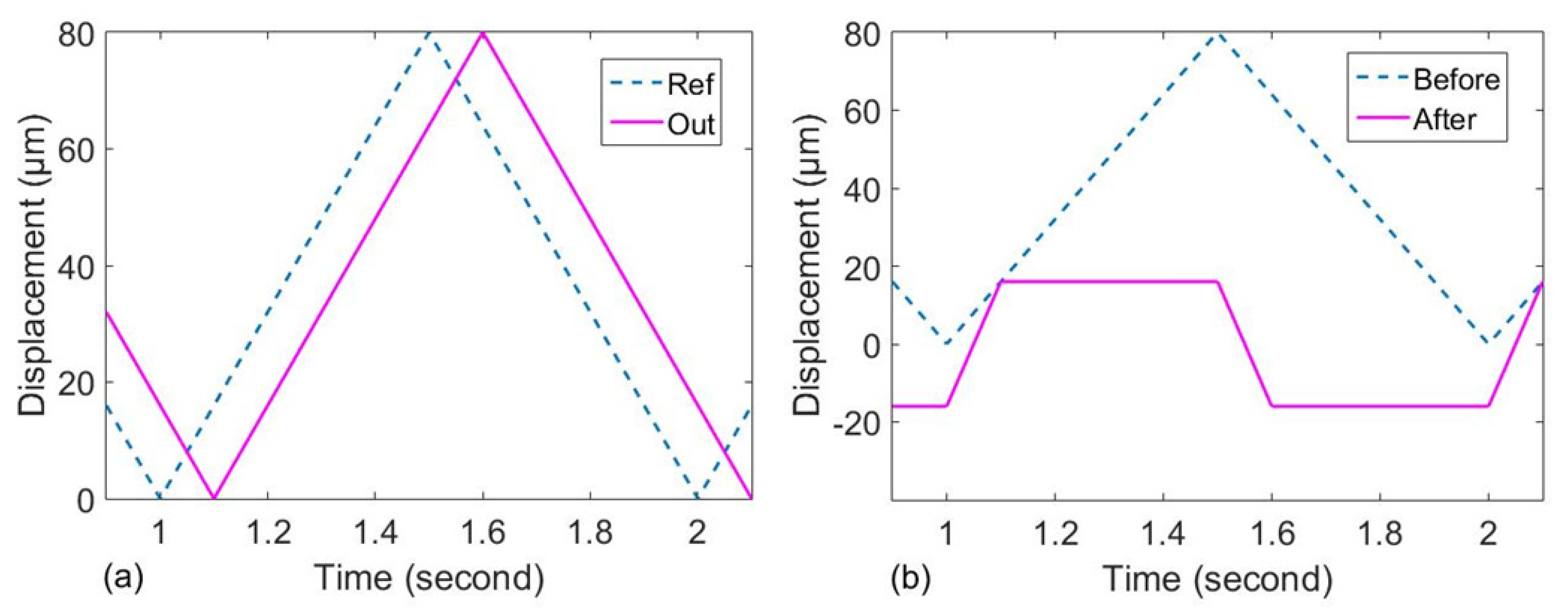
5. Experimental Tests
5.1. Open-Loop Test
5.2. Trajectory Tracking Test
6. Conclusions
Author Contributions
Funding
Institutional Review Board Statement
Informed Consent Statement
Data Availability Statement
Conflicts of Interest
References
- Virey, E.H.; Baron, N. 45-1: Status and Prospects of MicroLED Displays. SID Symp. 2018, 49, 593–596. [Google Scholar] [CrossRef]
- Kamarei, Z.B.N. Analysis for science librarians of the 2014 nobel prize in physics: Invention of efficient blue-light-emitting diodes. Sci. Technol. Libr. 2015, 34, 19–31. [Google Scholar] [CrossRef]
- Wang, C.T.; Yang, C.S.; Guo, Q. Liquid Crystal Optics and Physics: Recent Advances and Prospects. Crystals 2019, 9, 670. [Google Scholar] [CrossRef] [Green Version]
- Zhang, S.; Gong, Z.; McKendry, J.J.D.; Watson, S.; Cogman, A.; Xie, E.; Tian, P.; Gu, E.; Chen, Z.; Zhang, G.; et al. CMOS-Controlled Color-Tunable Smart Display. IEEE Photonics J. 2012, 4, 1639–1646. [Google Scholar] [CrossRef] [Green Version]
- Fan, Z.Y.; Lin, J.Y.; Jiang, H.X. 45-1: III-nitride micro-emitter arrays: Development and applications. J. Phys. D Appl. Phys. 2008, 41, 094001. [Google Scholar] [CrossRef]
- Chen, H.; Tan, G.; Wu, S.-T. Ambient Contrast Ratio of LCDs and OLED Displays. Opt. Express 2017, 25, 33643. [Google Scholar] [CrossRef]
- Gou, F.; Hsiang, E.L.; Tan, G.; Lan, Y.F.; Tsai, C.Y.; Wu, S.T. Tripling the Optical Efficiency of Color-Converted Micro-LED Displays with Funnel-Tube Array. Crystals 2019, 9, 39. [Google Scholar] [CrossRef] [Green Version]
- Li, J.; Luo, B.; Liu, Z. Micro-LED Mass Transfer Technologies. In Proceedings of the 2020 21st International Conference on Electronic Packaging Technology (ICEPT), Guangzhou, China, 12–15 August 2020; Volume 2018, pp. 2020–2022. [Google Scholar] [CrossRef]
- Templier, F.; Hsiang, E.L.; Tan, G.; Lan, Y.F.; Tsai, C.Y.; Wu, S.T. GaN-based emissive microdisplays: A very promising technology for compact, ultra-high brightness display systems. J. Soc. Inf. Disp. 2016, 24, 669–675. [Google Scholar] [CrossRef]
- Gou, F.; Hsiang, E.-L.; Tan, G.; Chou, P.-T.; Li, Y.-L.; Lan, Y.-F.; Wu, S.-T. Angular Color Shift of Micro-LED Displays. Opt. Express 2019, 27, 593–596. [Google Scholar] [CrossRef]
- Liao, Z.; Lin, Y.; Bai, H.; Zhu, Z.; Zhang, P.; Tang, H. A New Flexure-Based Parallel Laser Deflection Device for MicroLED Repair. In Proceedings of the 2020 21st International Conference on Electronic Packaging Technology (ICEPT), Guangzhou, China, 12–15 August 2020; pp. 2–6. [Google Scholar] [CrossRef]
- Xiao, J.; Zheng, F.; Fei, J.; Li, J.; Liu, Q.; Huo, W.; Zhuang, J.; Mei, W.; Zhang, S. Electrostatic Discharge Protection of MiniLED Backlight Units on Glass. Energy Rep. 2021, 7, 276–282. [Google Scholar] [CrossRef]
- Lu, H.; Guo, W.; Su, C.; Li, X.; Lu, Y.; Chen, Z.; Zhu, L. Optimization on Adhesive Stamp Mass-Transfer of Micro-LEDs with Support Vector Machine Model. IEEE J. Electron Devices Soc. 2020, 8, 554–558. [Google Scholar] [CrossRef]
- Bower, C.A.; Meitl, M.; Kneeburg, D. Micro-Transfer-Printing: Heterogeneous Integration of Microscale Semiconductor Devices Using Elastomer Stamps. Proc. IEEE Sens. 2014, 49, 2111–2113. [Google Scholar] [CrossRef]
- Meitl, M.; Radauscher, E.; Bonafede, S.; Gomez, D.; Moore, T.; Prevatte, C.; Raymond, B.; Fisher, B.; Ghosal, K.; Fecioru, A. Invited paper: Passive matrix displays with transfer-printed microscale inorganic LEDs. SID Symp. Dig. Tech. Pap. 2016, 47, 743–746. [Google Scholar] [CrossRef]
- Bai, H.; Tang, H.; Feng, Z.; Liao, Z.; Gao, J.; Liu, Q.; Chen, X. Development of a Novel Intelligent Adjustable Vision Algorithm for LED Chip Repairing. IEEE Trans. Ind. Electron. 2022, 69, 7109–7119. [Google Scholar] [CrossRef]
- Xia, J.; Dong, X.; Yao, Z.; Sheng, C.; Li, Z.; Cao, X.; Wang, C.; Duan, L. Development of High-Yield Laser Lift-off Process for Micro Led Display. Dig. Tech. Pap.—SID Int. Symp. 2020, 51, 1312–1314. [Google Scholar] [CrossRef]
- Cho, S.; Lee, D.; Kwon, S. Fluidic self-assembly transfer technology for micro-led display. In Proceedings of the 2019 20th International Conference on Solid-State Sensors, Actuators and Microsystems & Eurosensors XXXIII (TRANSDUCERS & EUROSENSORS XXXIII), Berlin, Germany, 23–27 June 2019; pp. 402–404. [Google Scholar] [CrossRef]
- Hiraki, K. Wafer Direct Technology for Mini LED Flip Attachment. J. Phys. Conf. Ser. 2021, 2065, 012015. [Google Scholar] [CrossRef]
- Wu, T.; Sher, C.W.; Lin, Y.; Lee, C.F.; Liang, S.; Lu, Y.; Chen, S.W.H.; Guo, W.; Kuo, H.C.; Chen, Z. Mini-LED and Micro-LED: Promising Candidates for the next Generation Display Technology. Appl. Sci. 2018, 8, 1557. [Google Scholar] [CrossRef] [Green Version]
- Sun, Y.; Zhang, M. Highly Transparent, Ultra-Thin Flexible, Full-Color Mini-LED Display with Indium–Gallium–Zinc Oxide Thin-Film Transistor Substrate. J. Soc. Inf. Disp. 2020, 12, 926–935. [Google Scholar] [CrossRef]
- Tang, H.; He, S.; Zhu, Z.; Gao, J.; Zhang, L.; Cui, C.; Chen, X. A Monolithic Force Sensing Integrated Flexure Bonder Dedicated to Flip-Chip Active Soft-Landing Interconnection. IEEE/ASME Trans. Mech. 2021, 26, 323–334. [Google Scholar] [CrossRef]
- Li, J.; Tang, H.; Zhu, Z.; He, S.; Gao, J.; He, Y.; Chen, X. Hybrid Position/Force Fully Closed-Loop Control of a Flip-Chip Soft-Landing Bonding System. IEEE Trans. Ind. Electron. 2022, 69, 9235–9245. [Google Scholar] [CrossRef]
- He, S.; Tang, H.; Zhu, Z.; Zhang, P.; Xu, Y.; Chen, X. A Novel Flexure Piezomotor with Minimized Backward and Nonlinear Motion Effect. IEEE Trans. Ind. Electron. 2022, 69, 652–662. [Google Scholar] [CrossRef]
- Wang, F.; Zhao, X.; Huo, Z.; Shi, B.; Liang, C.; Tian, Y.; Zhang, D. A 2-DOF Nano-Positioning Scanner with Novel Compound Decoupling-Guiding Mechanism. Mech. Mach. Theory 2021, 155, 104066. [Google Scholar] [CrossRef]
- Tran, N.T.; Dao, T.; Nguyen-Trang, T.; Ha, C. Prediction of Fatigue Life for a New 2-DOF Compliant Mechanism by Clustering-Based ANFIS Approach. Math. Probl. Eng. 2021, 2021, 6672811. [Google Scholar] [CrossRef]
- Huang, S. Design and Computational Optimization of a Flexure- Based XY Positioning Platform Using FEA-Based Response Surface Methodology. Int. J. Precis. Eng. Manuf. 2016, 17, 1035–1048. [Google Scholar] [CrossRef]
- Li, H.; Tang, H.; Li, J.; Chen, X. Design, Fabrication, and Testing of a 3-DOF Piezo Fast Tool Servo for Microstructure Machining. Precis. Eng. 2021, 72, 756–768. [Google Scholar] [CrossRef]
- An, D.; Yang, Y.; Xu, Y.; Shao, M.; Shi, J.; Yue, G. Compensation of Hysteresis in the Piezoelectric Nanopositioning Stage under Reciprocating Linear Voltage Based on a Mark-Segmented PI Model. Micromachines 2020, 11, 9. [Google Scholar] [CrossRef] [Green Version]
- Arimoto, S.; Kawamura, S.; Miyazaki, F.; Tamaki, S. Learning control theory for dynamical systems. In Proceedings of the 24th IEEE Conference on Decision and Control, Fort Lauderdale, FL, USA, 11–13 December 1985; pp. 1375–1380. [Google Scholar] [CrossRef]
- Wang, D.; Ye, Y.; Zhang, B. Practical Iterative Learning Control with Frequency Domain Design and Sampled Data Implementation; Springer: Singapore, 2014; ISBN 978-981-4585-59-0. [Google Scholar]
- Meng, D.; Wu, Y. A Survey on Distributed Iterative Learning Control for Transient Formation. Control. Theory Technol. 2021, 19, 295–297. [Google Scholar] [CrossRef]
- Elci, H.; Longman, R.W.; Phan, M.Q.; Juang, J.N.; Ugoletti, R. Simple Learning Control Made Practical by Zero-Phase Filtering: Applications to Robotics. IEEE Trans. Circuits Syst. I Fundam. Theory Appl. 2002, 49, 753–767. [Google Scholar] [CrossRef]











| Material Parameters | Structural Parameters (mm) | ||||||||
|---|---|---|---|---|---|---|---|---|---|
| E (GPa) | (MPa) | (kg/m) | l | b | t | ||||
| 71.7 | 503 | 0.33 | 2810 | 29.5 | 8 | 1 | 95 | 85 | 20 |
| Compliance | Frequency | |||
|---|---|---|---|---|
| (m/N) | (m/N) | (Hz) | (Hz) | |
| Theoretical | 14.51 | 14.51 | 267.16 | 267.16 |
| FEA | 14.74 | 15.22 | 250.85 | 256.76 |
| Error | 1.59% | 4.89% | 6.10% | 3.89% |
Publisher’s Note: MDPI stays neutral with regard to jurisdictional claims in published maps and institutional affiliations. |
© 2022 by the authors. Licensee MDPI, Basel, Switzerland. This article is an open access article distributed under the terms and conditions of the Creative Commons Attribution (CC BY) license (https://creativecommons.org/licenses/by/4.0/).
Share and Cite
Li, H.; Huang, C.; Lin, Z.; Liao, Z.; Shu, S.; Lai, C.; Tang, H. A Novel Compliant 2-DOF Ejector Pin Mechanism for the Mass Transfer of Robotic Mini-LED Chips. Appl. Sci. 2022, 12, 5423. https://doi.org/10.3390/app12115423
Li H, Huang C, Lin Z, Liao Z, Shu S, Lai C, Tang H. A Novel Compliant 2-DOF Ejector Pin Mechanism for the Mass Transfer of Robotic Mini-LED Chips. Applied Sciences. 2022; 12(11):5423. https://doi.org/10.3390/app12115423
Chicago/Turabian StyleLi, Hongcheng, Chengsi Huang, Zhihang Lin, Zhishen Liao, Shiyu Shu, Canlin Lai, and Hui Tang. 2022. "A Novel Compliant 2-DOF Ejector Pin Mechanism for the Mass Transfer of Robotic Mini-LED Chips" Applied Sciences 12, no. 11: 5423. https://doi.org/10.3390/app12115423
APA StyleLi, H., Huang, C., Lin, Z., Liao, Z., Shu, S., Lai, C., & Tang, H. (2022). A Novel Compliant 2-DOF Ejector Pin Mechanism for the Mass Transfer of Robotic Mini-LED Chips. Applied Sciences, 12(11), 5423. https://doi.org/10.3390/app12115423

