Next Article in Journal
Developing a Learning Data Collection Platform for Learning Analytics in Online Education
Previous Article in Journal
Analysis and Application of Selected Control Charts Suitable for Smart Manufacturing Processes
 
 
Font Type:
Arial Georgia Verdana
Font Size:
Aa Aa Aa
Line Spacing:
Column Width:
Background:
Article

Modeling and Application of Dynamic Soaring by Unmanned Aerial Vehicle

School of Aeronautics, Northwestern Polytechnical University, Xi’an 710072, China
*
Author to whom correspondence should be addressed.
Appl. Sci. 2022, 12(11), 5411; https://doi.org/10.3390/app12115411
Submission received: 9 April 2022 / Revised: 15 May 2022 / Accepted: 24 May 2022 / Published: 26 May 2022
(This article belongs to the Section Aerospace Science and Engineering)

Abstract

:
Albatross have a significant gliding ability called dynamic soaring. In the bionic study, dynamic soaring has a great potential to enhance Unmanned Aerial Vehicles (UAVs) flight range and endurance. The previous study on dynamic soaring mainly focused on the energy harvesting mechanism, trajectory optimization, and flight test. However, the longtime optimization became the challenge of the UAV dynamic soaring application. Similarly, due to the difficulty of the dynamic soaring test flight, both the feasibility of dynamic soaring application and the energy harvesting mechanism model’s accuracy lack validation. This paper proposes a new method to give a dynamic soaring trajectory, and a flight simulation program is built to realize the dynamic soaring flight test. The results show that the new method can guide the UAV to achieve dynamic soaring and verify the improvement of its flight performance through dynamic soaring. Meanwhile, the accuracy of the energy harvesting mechanism model is verified. The results indicate the indirect way to achieve the UAV dynamic soaring and provide a flight test foundation for a profound dynamic soaring mechanism study.

1. Introduction

The albatross has a remarkable ability to migrate without flapping its wings. The albatross can regain its energy through a unique glide technique by gliding in the horizontal wind gradient. In 1883, Lord Rayleigh first named this flight mode as dynamic soaring [1]. According to research, the albatross is around 10 kg [2,3]. From the NATO Unmanned Aerial Vehicles (UAVs) classification, the UAVs around this mass are classified as mini UAVs (Class I), which attentions on fight distance and endurance. From the bionics point of view, if UAVs can apply dynamic soaring, it will promote UAVs’ flight performance by enhancing the fight distance and endurance.
For the application of dynamic soaring, the basic mechanisms of dynamic soaring need to be explored first. The energy harvesting mechanism has been researched since 1925. Walkden used a dynamic model to deduce the two-dimension windward climb model and concluded that wind “allowed to be of some assistance” [4]. Since then, many researchers followed to deduce the energy harvesting mechanism model with a similar method [5,6,7,8,9]:
1.
Constructing force equations, F = m a ;
2.
Constructing and derivate the mechanical energy equation, E ˙ = m V d V d t + m g d h d t ;
3.
Combine the two equations to obtain the function of energy change rate and force, E ˙ = F V + m g d h d t .
From the above method, the energy harvesting equation was deduced. This equation explained how energy changed during the dynamic soaring and became the core of the energy harvesting mechanism model.
However, in the aspect of the dynamic soaring application, there are still two critical problems: (a) longtime dynamic soaring trajectory optimization and (b) hard to execute dynamic soaring flight tests to verify the feasibility.
Pointing at the above problems, researchers did a lot of work on the trajectory optimization and UAVs flight test. The dynamic soaring trajectory optimization is based on optimal control. In the beginning, the optimal time was hundreds of seconds [10]. With the development of the algorithm, the time decreased. In 2014, Gao used GPOPS (a solver based on the Gauss-Pseudo) to optimize dynamic soaring trajectory in 15 s [11]. Sachs continues to explore trajectory optimization and narrow the time to seconds [12,13,14,15]. Bharath used waypoint navigation to achieve dynamic soaring [16], which gave a new direction to solve the trajectory decision problem. However, the waypoint to establish time was not mentioned in the paper.
In the aspect of the dynamic soaring flight test, the most mature flight was in the radio control (RC) glider competition. The RC glider can accelerate to 600 mph by using the wind gradient on the leeward side of the mountain [15,17]. Joseph compared dynamic soaring of human-controlled and auto-controlled methods and concluded that auto-control still needs to be improved to realize the dynamic soaring application [18]. In 2011, Bower gave a dynamic soaring UAV design specification [5]. Similarly, Patterson raised a dynamic soaring UAV designing scheme [19]. However, neither of the dynamic soaring UAV designs were tested. In 2015, Philip carried out a preliminary test flight of dynamic soaring using a glider [20]. However, this flight test was based on a simplified simulation program, which differs from the actual situation. In 2016, Liu used a UAV to verify the dynamic soaring trajectory calculated by the optimal control [21], limited by the wind field and site; the flight result was different compared with the optimal trajectory. Recently, Liu used a 6-DOF flight simulation program to verify one type of dynamic soaring: closed-loop trajectory [22]. The research carried out by Liu was closer to reality; the only disadvantage was that it included only one trajectory. Normally, the albatross uses open-loop trajectory dynamic soaring to achieve migration.
Regardless of the previous studies having significant contributions to the dynamic soaring research, more detailed work is needed. The trajectory optimization still takes a lot of time and is unsuitable for the real-time dynamic soaring decision. Meanwhile, the flight test mainly focused on dynamic soaring feasibility, and the limited dynamic soaring type was verified (closed-loop trajectory). Moreover, the accuracy of the energy harvesting mechanism model lacked verification, although the derivation of the energy harvesting mechanism has been applied many times.
Hence, this paper aims to achieve the UAV dynamic soaring by giving a new soaring trajectory decision method and verifying it using flight simulation. The decision method will give the altitude and yaw angle instructions rather than a whole detailed trajectory. The instructions are summarized through the typical dynamic soaring cycle combined with the UAVs’ performance. This simulation will carry out the test flight with the affirmative UAV model to record the flight data, including real-time airspeed, position, etc. Furthermore, the energy variation will be recorded during the test flight and compared with the energy harvesting mechanism model. Finally, this paper points out the possible further studies on the dynamic soaring application based on the result.

2. Dynamic Soaring Application Model

For the application of the dynamic soaring, the research model includes the energy harvesting mechanism, UAV parameters, environment wind field, and the flight simulation that needs to be constructed.

2.1. Energy Harvesting Mechanism Model

The energy harvesting mechanism model is based on the equation of motion and mechanical energy equation. This model will indicate the real-time energy change during the dynamic soaring. Like previous studies, this paper built the mechanism model under the noninertial reference frame. The axes systems and forces are detailed in Figure 1 and Figure 2.
In Figure 1 and Figure 2, [ u , v , w ] are the airspeed components in the three directions under the body axes, V a is the airspeed vector, [ F x a , F y a , F z a ] are the forces defined in the wind axes, [ F x e , F y e , F z e ] are the forces defined in the NED axes, and [ W x e , W y e , W z e ] are the wind speed in the NED axes.
The forces defined in the wind axes usually are the aerodynamic forces: lift, drag, and side force. The forces defined in the NED axes are normally gravity. To get the resultant force, the transfer matrix is needed to transfer different forces into one axes system. The wind-body (wind to body) transfer matrix can note as T W B . It is composed of the angle between wind axes and body axes, normally named the aerodynamic angle. The transfer matrix can be written as:
T W B = [ cos α cos β cos α sin β sin α sin β cos β 0 sin α cos β sin α sin β cos α ]
where α is the angle of attack and β is the sideslip angle. The NED-body (NED to body) transfer matrix can written as T N B . It is composed of the angle between NED axes and body axes, normally named the Euler angle. The matrix can be written as:
T N B = [ cos θ cos ψ cos θ sin ψ sin θ cos ϕ sin ψ + sin ϕ sin θ cos ψ cos ϕ cos ψ + sin ϕ sin θ sin ψ sin ϕ cos θ sin ϕ sin ψ + cos ϕ sin θ cos ψ sin ϕ cos ψ + cos ϕ sin θ sin ψ cos ϕ cos θ ] ,
where θ is the pitching angle, ψ is the yaw angle, and ϕ is the bank angle. To calculate the NED-wind (NED to wind) transfer matrix T N W , we can combine the NED-body transfer matrix and body-wind transfer matrix:
T N W = T B W T N B = T W B 1 T N B = T W B T T N B
Thus, the equation of motion in the body axes is:
m [ d u d t d v d t d w d t ] = T N B [ F x e F y e F z e ] + T W B [ F x a F y a F z a ] m [ q w r v r u p w p v q u ] T N B [ m W x e ˙ m W y e ˙ m W z e ˙ ]
where [ p , q , r ] refer to the Euler angle velocity, m is the mass of the UAV, and [ W x e ˙ , W y e ˙ , W z e ˙ ] are the wind accelerations in the NED axes. Recall the kinetic energy equation and set it in the body axes:
E k = 1 2 m ( u 2 + v 2 + w 2 )
d E k d t = m d u d t u + m d v d t v + m d w d t w
Taking together Equations (4) and (6):
d E k d t = F x e ( T N B ( 11 ) u + T N B ( 21 ) v + T N B ( 31 ) w ) + F y e ( T N B ( 12 ) u + T N B ( 22 ) v + T N B ( 32 ) w ) + F z e ( T N B ( 13 ) u + T N B ( 23 ) v + T N B ( 33 ) w ) + F x a ( T W B ( 11 ) u + T W B ( 21 ) v + T W B ( 31 ) w ) + F y a ( T W B ( 12 ) u + T W B ( 22 ) v + T W B ( 32 ) w ) + F z a ( T W B ( 13 ) u + T W B ( 23 ) v + T W B ( 33 ) w ) m W x e ˙ ( T N B ( 11 ) u + T N B ( 21 ) v + T N B ( 31 ) w ) m W y e ˙ ( T N B ( 12 ) u + T N B ( 22 ) v + T N B ( 32 ) w ) m W z e ˙ ( T N B ( 13 ) u + T N B ( 23 ) v + T N B ( 33 ) w ) ,
where T N B ( i j ) is the line i, column j of the T N B , as with T W B ( i j ) . From Equation (3), the speed in the body axes can project to the NED axes and wind axes. Afterward, this paper considered the potential energy and replaced the force with gravity and aerodynamic forces, and the energy harvesting mechanism model was deduced:
d E k d t = + F z e ( W z e ) D V a m W x e ˙ ( V x e W x e ) m W y e ˙ ( V y e W y e ) m W z e ˙ ( V z e W z e ) ,

2.2. UAV and the Environment Wind Model

An aircraft that has a high aspect ratio is suitable for soaring. Hence, this paper chose the glider Fox as the UAV model. The details of this UAV are described in Table 1 and Figure 3.
The wind field is vital for dynamic soaring. The typical wind field models are the linear wind field model, exponential wind field model, and logarithmic wind field model. Compared with the linear and logarithmic wind field models, the exponential wind field model is the closest to the real situation. Hence, for the dynamic soaring application, this paper chose the exponential wind field model to carry out the following study. The model is shown in Figure 4.

2.3. Flight Simulation Model

This paper carried out the dynamic soaring test flight by the flight simulation program. This flight simulation model was built following the logic block diagram shown in Figure 5.
The core of the flight simulation model is the six degrees of freedom (6-DOF) equation. This equation links the force and moment acting on the UAV to the movement. The force part of the 6-DOF equation for the dynamic soaring is as same as Equation (4) in the energy harvesting mechanism model derivation, and the moment part is as follows:
{ L = p ˙ I x I x z ( r ˙ + p q ) ( I y I z ) q r M = q ˙ I y I x z ( r 2 p 2 ) ( I z I x ) r p N = r ˙ I z I x z ( p ˙ q r ) ( I x I y ) p q
where [ L , M , N ] are the rolling, pitching, and yawing moments, respectively, and I is the rotational inertia. In this paper, Matlab and Simulink are used as the basic environment. For the control module, this paper used PID to realize the longitudinal and lateral control. The inputs for this system were desired height, desired yaw angle, actual height, and actual yaw angle. This control module eliminated deviation by conversing position and angle to the rudder.
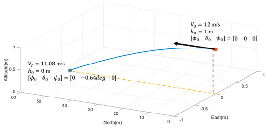
A simple gliding model is used to verify the simulation program. The initial status, final status, and trajectory are shown in Figure 6.
From the results, the UAV glides about 50 m northward. The altitude decreases steadily and finally reaches zero. A detailed analysis of the motion and energy is shown in Figure 7.
The results of the verification simulation show that the program this paper used is reliable. From the trajectory perspective, the results match the acknowledgment of gliding: the speed and altitude decrease slowly. Furthermore, the energy perspective gives a mechanism’s certainty of program reliability. Because of the minor Euler angles or aerodynamic angles, the UAV takes three direction forces: Lift, drag, and gravity. The lift and gravity are parallel and normal to the drag. Hence, the gravity’s work is offset by the lift at the beginning.
Meanwhile, lift and drag are both influenced by airspeed. Thus, while the drag’s work is causing a decrease in the airspeed, the drag and lift decrease. This chain reaction will cause a decreasing rate of potential energy rise and a decreasing rate of kinetic energy. For the total energy, it is related to the drag’s work. Because the displacement is linear, the drag’s work is linear, and the total energy change is linear. Lastly, the potential energy is zero, and the total energy is as same as the kinetic energy. Figure 8 shows the analysis results precisely; hence, the simulation program is verified.
Because of the structure of the flight simulation model, a planned trajectory was needed. According to the research, the dynamic soaring trajectory can be divided into the closed-loop and open-loop trajectories. Normally, the flight mission for the UAV requires a certain flight distance. Hence, this paper chose the open-loop trajectory for the following analysis. Meanwhile, the typical dynamic soaring cycle can be divided into four phases: windward climb, high altitude turn, leeward descent, and lower altitude turn. The detailed parameters of the trajectory are shown in Figure 9 and Table 2.
This paper gives a new method to solve the trajectory optimization time problem by giving two key control variables to longitudinal and lateral motion: the altitude and the yaw angle. Considering the glider Fox’s flight performance, the dynamic soaring trajectory can be planned as:
h = { 3.97 t + 0.1 ( t 3 ) 1.78 t 2 + 16 t 20   ( 3 < t 6 ) 3 t + 30   ( 6 < t 9 ) 0.4 t 2 9.2 t + 53.4   ( 9 < t 14 ) 3 t 39   ( 14 < t 17 )
ψ = { 50   ( t 3 ) 30 t 40   ( 3 < t 6 ) 140   ( 6 < t 11 ) 18 t + 302   ( 11 < t 14 ) 50   ( 14 < t 17 )
where h is planning height, ψ is planning yaw angle, and t is flight time. The total flight time is 70 s (five cycles). This trajectory contained typical dynamic soaring phases and can guide the glider Fox to achieve dynamic soaring.

3. Flight Test Results

After the simulation, the result shows that the UAV can achieve the open-loop trajectory permanently without propelling force. Thus, the UAV can apply dynamic soaring to complete the flight without power. The flight trajectory is shown in Figure 10 (where the time starts when the simulation starts).
The most important part of dynamic soaring is the energy change; the energy change during dynamic soaring is shown in Figure 11.
The result of energy change illustrates that the energy state of the UAV can improve through dynamic soaring. Figure 12 shows the UAV displacement depth.
From the trajectory, the result shows that the UAV flies straightly to the east and winding to the south. The altitude repeatedly changes between 1 m and 16 m. Considering the direction of the wind, when the UAV flies in the north–south direction, it will be in the windward or leeward condition, whereas when the UAV flies in the east–west direction, it will be in the crosswind condition. Hence, the mainly flight direction is crosswind direction. Figure 13, Figure 14, Figure 15 and Figure 16 show the UAV attitude change during the dynamic soaring.
The results show the evident regularity in the UAV attitude change during the dynamic soaring. The airspeed gradually increases during dynamic soaring while the Euler angles, aerodynamic angles, and control surfaces repeat change.
The flight test also verified the energy harvesting mechanism model. The energy harvesting equation was built, and it calculated the real-time energy change during the dynamic soaring test flight. Intuitively, the energy change trend of Figure 17 is the same as Figure 11, which means that the result calculated by the energy harvesting mechanism model matches the energy change from the mechanical energy equation.

4. Discussion

The UAV dynamic soaring test flight results mainly focus on the dynamic soaring trajectory, energy gaining, and the energy harvesting mechanism model. This section will analyze the result deeply.
The core index of the UAV is the flight distance and endurance, which are concluded as the trajectory. Hence, we first analyzed the result related to the UAV trajectory. The data of the trajectory are summarized in Table 3.
The UAV traveled 2185.10 m in 70 s through dynamic soaring without any energy consumption. This result illustrates the dynamic soaring that the UAV can use to enhance its flight range and endurance. The UAV flight direction can be divided into two parts: windward flight distance and crosswind flight distance. The results show that the UAV flight direction better angle to the crosswind. Besides verifying the feasibility of the dynamic soaring application, the new trajectory decision method was tested. From the results, the detailed trajectory information is unnecessary for the achievement of dynamic soaring. The specific variables can also guide the dynamic soaring. Table 4 takes a close look at the energy part.
The energy change shows the main energy harvesting term is kinetic energy, which is in accordance with the literature. The kinetic energy has increased 55.19% compared to the initial state. Meanwhile, the potential energy has risen 200.74%. The detailed energy variation curves are shown in Figure 18.
Take the soaring cycle 3 for the detailed research. The typical dynamic soaring can be divided into four phases: windward climb, high altitude turn, leeward descent, and lower altitude turn. Considering the dynamic soaring phases and drawing the energy change in the soaring cycle 3:, the total energy state at the beginning of soaring cycle 3 was 3136 J consisting of the kinetic energy (2998.30 J) and potential energy (138.41 J). After one dynamic soaring cycle, the total energy state raises to 3363.05 J, 7.22% compared with the initial state. The most energy increased is from the kinetic energy, which has a relative growth of 226.16 J (7.54%). The energy change in the potential energy is 0.19 J (0.14%). These data confirm that the kinetic energy is the main energy harvesting part for dynamic soaring. Although the energy variation shows both gaining and consumption, the total energy state increases eventually, which is also one of the reasons that this flight mode is called dynamic soaring. From Figure 19, the variation shows that the energy harvesting phases are windward climb and leeward descent. The leeward descent takes a longer time and more energy harvesting compared with the windward climb. The energy-consuming phases are the high altitude turn and the lower altitude turn. The high altitude turn phase loses more energy but is less time consuming compared with the lower altitude turn phase.
Finally, we verified the energy harvesting mechanism with this flight test. The energy variation cures calculated by the mechanical energy and energy harvesting model are drawn in Figure 20.
It can be noticed that the trend of the curves is similar; the only difference is the gap between the two curves. The core of the energy harvesting model is the energy change rate equation, by integrating the equation to obtain the energy change. Hence, the energy change starts at zero, which means the initial energy state is ignored in the energy harvesting mechanism model. Therefore, the variation curves are redrawn in Figure 21 by adding the initial energy state.
Hence, the energy harvesting mechanism model is verified. The derivation method of the energy harvesting mechanism is correct.
For further research, this paper gives a new method to deliver a dynamic soaring flight decision (trajectory) by controlling specific variables. Hence, selecting the best combination of control variables is vital for the dynamic soaring application. Similarly, since the flight test by the flight simulation program is realizable, this simulation can carry out a more profound analysis on dynamic soaring. In this paper, the open-loop trajectory was simulated to fill the blank of the dynamic soaring flight test. However, the open-loop trajectory also has different shapes caused by the different initial states. Based on this flight simulation, all these trajectories or the flight mission-related work can be explored in the future. In the aspect of the energy harvesting mechanism model, once the correction of the model is verified, the energy harvesting influencing factors will be extracted from the model. The influencing factor research can be carried out through flight simulation.

5. Conclusions

This paper mainly focuses on the new dynamic soaring trajectory determination method, the dynamic soaring flight test, and the energy harvesting mechanism verification. First, this paper has raised a new method to avoid longtime trajectory optimization by controlling certain parameters to guide soaring. The flight simulation has verified this method. Second, this paper has built a flight simulation program capable of implementing the dynamic soaring flight test. After simulation, the UAV can improve its flight distance and endurance through dynamic soaring. The flight direction has an angle to the crosswind. Meanwhile, the energy harvesting mechanism model was integrated with the flight test simulation program. The airspeed and position during the dynamic soaring flight simulation were recorded, and then the mechanical energy equation calculated the real-time energy state. The result was compared and matched with the energy change calculated by the energy harvesting mechanism model. Hence, the accuracy of the energy harvesting mechanism model was verified.
For further research, this paper points out the indirect way to generate the dynamic soaring trajectory and proposes a new method to overcome the longtime optimization. More controlling parameters need to be studied in the future; therefore, the UAV can get a better soaring performance. The open-loop trajectory and the different shapes of all trajectories can be tested. After confirming the correction of the energy harvesting mechanism model for the mechanism study, the energy-gaining influencing factors can be determined from the model. The dynamic soaring performance will be improved by studying how these factors will affect the UAV energy extraction during the dynamic soaring.

Author Contributions

Conceptualization, W.W.: methodology, software, writing—original draft preparation, W.A.: writing—review and editing, B.S.: writing—review and editing, supervision. All authors have read and agreed to the published version of the manuscript.

Funding

This research received no external funding.

Institutional Review Board Statement

Not applicable.

Informed Consent Statement

Not applicable.

Data Availability Statement

Not applicable.

Conflicts of Interest

The authors declare no conflict of interest. The funders had no role in the design of the study; in the collection, analyses, or interpretation of data; in the writing of the manuscript, or in the decision to publish the results.

References

  1. Airy, H. The Soaring of Birds. Nature 1883, 27, 534–535. [Google Scholar] [CrossRef]
  2. Wood, C.J. The Flight of Albatrosses (a Computer Simulation). Ibis 1972, 115, 244–256. [Google Scholar] [CrossRef]
  3. Tucker, V.A.; Parrott, G.C. Aerodynamics of Gliding Flight in a Falcon and Other Birds. J. Exp. Biol. 1970, 52, 345–367. [Google Scholar] [CrossRef]
  4. Walkden, S.L. Experimental Study of the “Soaring” of Albatrosses. Nature 1925, 116, 132–134. [Google Scholar] [CrossRef]
  5. Bower, G.C. Boundary Layer Dynamic Soaring for Autonomous Aircraft: Design and Validation. Ph.D. Dissertation, Stanford University, Stanford, CA, USA, 2011. [Google Scholar] [CrossRef]
  6. Bonnin, V. From Albatross to Long Range UAV Flight by Dynamic Soaring. Ph.D. Dissertation, University of the West of England, Bristol, UK, 2016. [Google Scholar]
  7. Gudmundsson, S.; Golubev, V.; Drakunov, S.; Reinholtz, C. Bio-Inspired Methodologies for Energy Conservation and Harvesting Flight-Path Modeling for Unmanned Aerial System. J. Aerosp. Inf. Syst. 2019, 16, 289–295. [Google Scholar] [CrossRef]
  8. Taylor, G.K.; Reynolds, K.V.; Thomas, A.L.R. Soaring Energetics and Glide Performance in a Moving Atmosphere. Philos. Trans. R. Soc. B Biol. Sci. 2016, 371, 20150398. [Google Scholar] [CrossRef] [PubMed] [Green Version]
  9. Zhao, Y.J.; Qi, Y.C. Minimum Fuel Powered Dynamic Soaring of Unmanned Aerial Vehicles Utilizing Wind Gradients. Optim. Control Appl. Methods 2004, 25, 211–233. [Google Scholar] [CrossRef]
  10. Mir, I.; Maqsood, A.; Eisa, S.A.; Taha, H.; Akhtar, S. Optimal Morphing—Augmented Dynamic Soaring Maneuvers for Unmanned Air Vehicle Capable of Span and Sweep Morphologies. Aerosp. Sci. Technol. 2018, 79, 17–36. [Google Scholar] [CrossRef]
  11. Gao, X.Z.; Hou, Z.X.; Guo, Z.; Fan, R.F.; Chen, X.Q. Analysis and Design of Guidance-Strategy for Dynamic Soaring with UAVs. Control Eng. Pract. 2014, 32, 218–226. [Google Scholar] [CrossRef]
  12. Sachs, G. Minimum Shear Wind Strength Required for Dynamic Soaring of Albatrosses. Ibis 2005, 147, 1–10. [Google Scholar] [CrossRef]
  13. Sachs, G.; Da Costa, O. Dynamic Soaring in Altitude Region below Jet Streams. Collect. Tech. Pap.—AIAA Guid. Navig. Control Conf. 2006, 7, 4344–4354. [Google Scholar] [CrossRef]
  14. Sachs, G.; da Costa, O. Optimization of Dynamic Soaring at Ridges. In Proceedings of the AIAA Atmospheric Flight Mechanics Conference and Exhibit, Austin, TX, USA, 11–14 August 2003. [Google Scholar] [CrossRef]
  15. Sachs, G.; Grüter, B. Dynamic Soaring at 600 Mph. In Proceedings of the AIAA Scitech 2019 Forum 2019, San Diego, CA, USA, 7–11 January 2019; pp. 1–13. [Google Scholar] [CrossRef]
  16. Swaminathan, B. Applications of Dynamic Soaring: Waypoint Navigation and High-Speed Soaring. In Proceedings of the AIAA SciTech Forum 2022, San Diego, CA, USA, 3–7 January 2022. [Google Scholar] [CrossRef]
  17. Richardson, P.L. High-Speed Dynamic Soaring. R/C Soar. Dig. 2012, 29, 36–49. [Google Scholar]
  18. Joseph, G.; Adamski, J.R.; Golubev, V.V.; Gudmundsson, S. Towards Development of a Dynamic-Soaring UAV: Flight Simulation Results. In Proceedings of the AIAA Aviation Forum 2021, Virtual, 15–19 June 2020. [Google Scholar] [CrossRef]
  19. Patterson, J.B. Manufacturing Techniques Developed for the JetStreamer Dynamic Soaring UAV; Lehigh University: Bethlehem, PA, USA, 2014. [Google Scholar]
  20. Richardson, P.L. Upwind Dynamic Soaring of Albatrosses and UAVs. Prog. Oceanogr. 2015, 130, 146–156. [Google Scholar] [CrossRef]
  21. Zhu, B.J.; Hou, Z.X.; Ouyang, H.J. Trajectory Optimization of Unmanned Aerial Vehicle in Dynamic Soaring. Proc. Inst. Mech. Eng. Part G J. Aerosp. Eng. 2017, 231, 1779–1793. [Google Scholar] [CrossRef] [Green Version]
  22. Liu, S.; Bai, J. Exploration of High-Altitude Dynamic Soaring Based on Six-Degree-of-Freedom Model. Xibei Gongye Daxue Xuebao/J. Northwest. Polytech. Univ. 2021, 39, 703–711. [Google Scholar] [CrossRef]
Figure 1. The three axes system this paper used. (a) North-East-Down (NED) axes system; (b) Body axes system; (c) Wind axes system.
Figure 1. The three axes system this paper used. (a) North-East-Down (NED) axes system; (b) Body axes system; (c) Wind axes system.
Applsci 12 05411 g001
Figure 2. The forces acting on the UAV model.
Figure 2. The forces acting on the UAV model.
Applsci 12 05411 g002
Figure 3. The glider Fox model.
Figure 3. The glider Fox model.
Applsci 12 05411 g003
Figure 4. The exponential wind field model.
Figure 4. The exponential wind field model.
Applsci 12 05411 g004
Figure 5. The logic diagram of the dynamic soaring flight simulation model.
Figure 5. The logic diagram of the dynamic soaring flight simulation model.
Applsci 12 05411 g005
Figure 6. The results for the verification gliding case.
Figure 6. The results for the verification gliding case.
Applsci 12 05411 g006
Figure 7. The detailed results for the trajectory and airspeed.
Figure 7. The detailed results for the trajectory and airspeed.
Applsci 12 05411 g007
Figure 8. The detailed results for the energy.
Figure 8. The detailed results for the energy.
Applsci 12 05411 g008
Figure 9. The planned open-loop trajectory.
Figure 9. The planned open-loop trajectory.
Applsci 12 05411 g009
Figure 10. The dynamic soaring trajectory. The 3D trajectory is in the color blue, others are the trajectory projection in three directions.
Figure 10. The dynamic soaring trajectory. The 3D trajectory is in the color blue, others are the trajectory projection in three directions.
Applsci 12 05411 g010
Figure 11. The energy change during the dynamic soaring.
Figure 11. The energy change during the dynamic soaring.
Applsci 12 05411 g011
Figure 12. The three directions the UAV traveled. (a) North direction flight distance; (b) East direction flight distance; (c) Altitude flight distance.
Figure 12. The three directions the UAV traveled. (a) North direction flight distance; (b) East direction flight distance; (c) Altitude flight distance.
Applsci 12 05411 g012
Figure 13. The airspeed change during the dynamic soaring.
Figure 13. The airspeed change during the dynamic soaring.
Applsci 12 05411 g013
Figure 14. The Euler angles change during the dynamic soaring.
Figure 14. The Euler angles change during the dynamic soaring.
Applsci 12 05411 g014
Figure 15. The aerodynamic angles change during the dynamic soaring.
Figure 15. The aerodynamic angles change during the dynamic soaring.
Applsci 12 05411 g015
Figure 16. The control surfaces change during the dynamic soaring.
Figure 16. The control surfaces change during the dynamic soaring.
Applsci 12 05411 g016
Figure 17. The energy change calculated by the energy harvesting mechanism.
Figure 17. The energy change calculated by the energy harvesting mechanism.
Applsci 12 05411 g017
Figure 18. The three energy changes during the dynamic soaring.
Figure 18. The three energy changes during the dynamic soaring.
Applsci 12 05411 g018
Figure 19. The three energy changes in the one dynamic soaring cycle.
Figure 19. The three energy changes in the one dynamic soaring cycle.
Applsci 12 05411 g019
Figure 20. The energy variation curves calculate by two methods.
Figure 20. The energy variation curves calculate by two methods.
Applsci 12 05411 g020
Figure 21. The energy variation curves calculate by the two methods (modified).
Figure 21. The energy variation curves calculate by the two methods (modified).
Applsci 12 05411 g021
Table 1. The Fox’s Parameters.
Table 1. The Fox’s Parameters.
Variable, UnitRange
Mass, kg4.7
Wing Span, m3
Wing Area, m20.75
Aspect Radio11.57
C D 0 0.0223
L / D m a x 27.96
Table 2. Trajectory conditions.
Table 2. Trajectory conditions.
Cycle TimeAltitude RangeYaw Angle Range
14 s0–15 m−160 deg to 30 deg
Table 3. Trajectory data.
Table 3. Trajectory data.
Initial Position (m)Final Position (m)Initial Airspeed (m/s)Final Airspeed (m/s)
[0,0,1][−1247.63,1793.90,3.01]30.6938.23
Table 4. Energy data.
Table 4. Energy data.
Energy TypeEnergy Level at Initial Energy Level at Final
Kinetic Energy (J)2213.523435.19
Potential Energy (J)46.06138.55
Total Energy (J)2259.583573.74
Publisher’s Note: MDPI stays neutral with regard to jurisdictional claims in published maps and institutional affiliations.

Share and Cite

MDPI and ACS Style

Wang, W.; An, W.; Song, B. Modeling and Application of Dynamic Soaring by Unmanned Aerial Vehicle. Appl. Sci. 2022, 12, 5411. https://doi.org/10.3390/app12115411

AMA Style

Wang W, An W, Song B. Modeling and Application of Dynamic Soaring by Unmanned Aerial Vehicle. Applied Sciences. 2022; 12(11):5411. https://doi.org/10.3390/app12115411

Chicago/Turabian Style

Wang, Wei, Weigang An, and Bifeng Song. 2022. "Modeling and Application of Dynamic Soaring by Unmanned Aerial Vehicle" Applied Sciences 12, no. 11: 5411. https://doi.org/10.3390/app12115411

APA Style

Wang, W., An, W., & Song, B. (2022). Modeling and Application of Dynamic Soaring by Unmanned Aerial Vehicle. Applied Sciences, 12(11), 5411. https://doi.org/10.3390/app12115411

Note that from the first issue of 2016, this journal uses article numbers instead of page numbers. See further details here.

Article Metrics

Back to TopTop