Thermal Characteristics Study of the Bump Foil Thrust Gas Bearing
Abstract
:1. Introduction
2. Numerical Simulation Research
2.1. Calculation Process and Parameters
2.2. Non-Isothermal Reynolds Equation of Gas Film
2.3. Gas Film Thickness Equation
2.4. Bearing Load Capacity and Friction Loss Power
2.5. Heat Transfer Model of Bearing Components
2.5.1. Heat Transfer Model of Top Foil Side
2.5.2. Heat Transfer Model of the Thrust Plate
2.5.3. Temperature Boundary Condition in the Gas Film Inlet Area
3. Thermal Analysis
3.1. Calculation Process and Parameters
3.2. Analysis of Influence Factors of Bearing Temperature
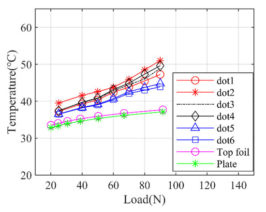
4. Experimental Study
5. Conclusions
- (1)
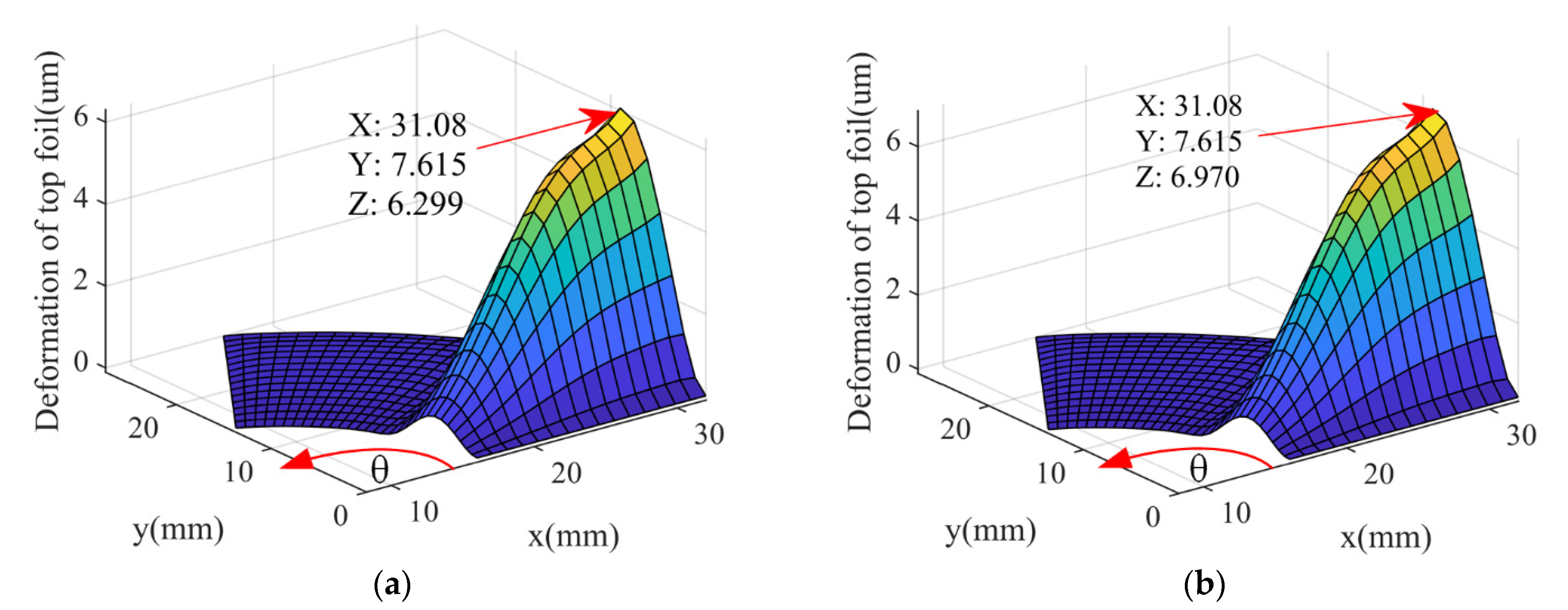
- The simulation results show that the surface temperature of the top foil experiences firstly increasing along the rotor rotating direction and then maintaining at a certain value. In the entrance area, the temperature is relatively low, and it will rise sharply after mixing with the recirculation hot air. The top foil temperature in the plane section is almost the same, which is obviously higher than that in the inclined region. In the radial direction, the temperature increases first and then decreases slightly as the radius increases;
- (2)
- The value of bearing load capacity calculated by the THD model is higher than the value calculated by the isothermal model, and the differences of them will become more and more apparent as the rotational speed increased and the initial gas film thickness decreased. Compared to the bearing load capacity, the rotational speed has more effect on the temperature. There is little influence on the friction loss power calculated by different models. Injecting the cooling gas flow under the top foil can reduce the bearing temperature, and its efficiency will decrease with the increase in cooling gas flow. For example, under the situation of and the rotor speed of 100 krpm and static load of 100 N with bearing structure parameters used in this paper, when the gas cooling flow rate of increased up to 0.2 m3/min, the cooling effect reach to the maximum;
- (3)
- The variation trends of test bearing temperatures with respect to bearing load and rotor speed are similar with those of simulation results, which verified the reasonability of the THD model to some extent. However, the experimental results are relatively higher than the simulation, which is probably caused by the unclear boundary conditions in the experiments which should be clarified in the simulations or due to the measurement error during the experiment.
Author Contributions
Funding
Institutional Review Board Statement
Informed Consent Statement
Data Availability Statement
Conflicts of Interest
Nomenclature
| Radial, azimuthal, and axial velocity component of the gas flow | |
| Angular velocity of thrust plate | |
| b | Pitch ratio (Ratio of slope section angle to plane section angle) |
| h | Real gap height in the lubricating gas film |
| h2 | Prescribed minimal gap height in the lubricating gas film |
| δh | Slope height of the top foil |
| p | Pressure of the lubricating gas film |
| pa | Reference pressure at boundaries |
| n | The rotational speed of thrust plate |
| N | Number of pads in the foil thrust bearing |
| T | Temperature of the lubricating gas film |
| T0 | Temperature of the enviroment |
| T1 | Temperature of air film on the top foil side |
| r1 | Inner radius of the thrust plate |
| r2 | Outer radius of the thrust plate |
| td | Thickness of top foil |
| tb | Thickness of bump foil |
| tk | Thickness of housing |
| tz | Thickness of thrust plate |
| THD | Thermohydrodynamic |
References
- Heshmat, H.; Walowit, J.A.; Pinkus, O. Analysis of Gas-Lubricated Foil Journal Bearings. J. Lubr. Technol. 1983, 105, 647–655. [Google Scholar] [CrossRef]
- Gad, A.M.; Kaneko, S. Performance characteristics of gas-lubricated bump-type foil thrust bearing. Proc. Inst. Mech. Eng. Part J J. Eng. Tribol. 2014, 229, 746–762. [Google Scholar] [CrossRef]
- Dellacorte, C. Gas Bearing Applications; Springer: Boston, MA, USA, 2013; pp. 1429–1433. [Google Scholar]
- Liu, Z.; Xu, H. Application and Research Progress of Bump-type Foil Aerodynamic Journal Bearings. Bearings 2008, 1, 39–43. [Google Scholar]
- Salehi, M.; Swanson, E.; Heshmat, H. Thermal Features of Compliant Foil Bearings—Theory and Experiments. J. Tribol. 2001, 123, 566–571. [Google Scholar] [CrossRef]
- Lee, D.; Kim, D. Three-Dimensional Thermohydrodynamic Analyses of Rayleigh Step Air Foil Thrust Bearing with Radially Arranged Bump Foils. Tribol. Trans. 2011, 54, 432–448. [Google Scholar] [CrossRef]
- Dickman, J.R. An Investigation of Gas Foil Thrust Bearing Performance and its Influencing Factors. Master’s Thesis, Case Western Reserve University, Cleveland, OH, USA, 2010. [Google Scholar]
- Gad, A.M.; Kaneko, S. Fluid Flow and Thermal Features of Gas Foil Thrust Bearings at Moderate Operating Temperatures. In Proceedings of the 9th IFToMM International Conference on Rotor Dynamics; Springer International Publishing: Cham, Switzerland, 2015. [Google Scholar]
- Lehn, A.; Mahner, M.; Schweizer, B. A thermo-elasto-hydrodynamic model for air foil thrust bearings including self-induced convective cooling of the rotor disk and thermal runaway. Tribol. Int. 2017, 119, 281–298. [Google Scholar] [CrossRef]
- Li, C.; Du, J.; Yao, Y. Temperature calculation and static and dynamic characteristics analysis of bump foil gas bearing. J. Harbin Inst. Technol. 2017, 49, 46–52. [Google Scholar]
- Luo, Y.; Zhang, J. Analysis of the aerodynamic and thermal characteristics of the gap of the dynamic pressure gas thrust bearing. Mach. Build. Autom. 2019. [Google Scholar]
- Peng, Z.C.; Khonsari, M.M. A Thermohydrodynamic Analysis of Foil Journal Bearings. J. Tribol. 2006, 128, 534–541. [Google Scholar] [CrossRef]
- Aksoy, S.; Aksit, M.F. A fully coupled 3D thermo-elastohydrodynamics model for a bump-type compliant foil journal bearing. Tribol. Int. 2015, 82, 110–122. [Google Scholar] [CrossRef]
- Luis, S.A.; Ho, K.T. Thermohydrodynamic Analysis of Bump Type Gas Foil Bearings: A Model Anchored to Test Data. J. Eng. Gas Turbines Power 2010, 132, 042504. [Google Scholar]
- Talmage, G.; Carpino, M. Thermal Structural Effects in a Gas-Lubricated Foil Journal Bearing. Tribol. Trans. 2011, 54, 701–713. [Google Scholar] [CrossRef]
- Daejong, K.; Jeongpill, K.; Youngcheol, K.; Kookyoung, A. Extended Three-Dimensional Thermo-Hydrodynamic Model of Radial Foil Bearing: Case Studies on Thermal Behaviors and Dynamic Characteristics in Gas Turbine Simulator. J. Eng. Gas Turbines Power 2012, 134, 052501. [Google Scholar]
- Keun, R.; Luis, S.A. On the Failure of a Gas Foil Bearing: High Temperature Operation without Cooling Flow. J. Eng. Gas Turbines Power 2013, 135, 112506. [Google Scholar]
- Heshmat, H.; Walowit, J.A.; Pinkus, O. Analysis of Gas Lubricated Compliant Thrust Bearings. J. Lubr. Technol. 1983, 105, 638–646. [Google Scholar] [CrossRef]
- Trinkl, C.-M.; Bardas, U.; Weyck, A.; aus der Wiesche, S. Experimental study of the convective heat transfer from a rotating disc subjected to forced air streams. Int. J. Therm. Sci. 2011, 50, 73–80. [Google Scholar] [CrossRef]
- Mills, A.F. Heat Transfer, 2nd ed.; Prentice Hall: Upper Saddle River, NJ, USA, 1999. [Google Scholar]





















| Parameters | Values |
|---|---|
| Bearing inner radius r1 (mm) | 16 |
| Bearing outer radius r2 (mm) | 32 |
| Pitch ratio b | 0.4 |
| Sector tiles number N | 6 |
| Slope height δh (μm) | 40 |
| Top foil thickness td (mm) | 0.2 |
| Bump foil thickness tb, height hb (mm) | 0.15, 0.5 |
| Bump half length l, Bump pitch s (mm) | 0.98, 3 |
| Elastic modulus Eb (GPa) | 214 |
| Poisson’s ratio vb | 0.31 |
| Housing thickness tk (mm) | 16 |
| Foil thermal conductivity kt (W/K·m) | 16.9 |
| Thrust plate thickness tz (mm) | 5 |
Publisher’s Note: MDPI stays neutral with regard to jurisdictional claims in published maps and institutional affiliations. |
© 2021 by the authors. Licensee MDPI, Basel, Switzerland. This article is an open access article distributed under the terms and conditions of the Creative Commons Attribution (CC BY) license (https://creativecommons.org/licenses/by/4.0/).
Share and Cite
Liu, X.; Li, C.; Du, J.; Nan, G. Thermal Characteristics Study of the Bump Foil Thrust Gas Bearing. Appl. Sci. 2021, 11, 4311. https://doi.org/10.3390/app11094311
Liu X, Li C, Du J, Nan G. Thermal Characteristics Study of the Bump Foil Thrust Gas Bearing. Applied Sciences. 2021; 11(9):4311. https://doi.org/10.3390/app11094311
Chicago/Turabian StyleLiu, Xiaomin, Changlin Li, Jianjun Du, and Guodong Nan. 2021. "Thermal Characteristics Study of the Bump Foil Thrust Gas Bearing" Applied Sciences 11, no. 9: 4311. https://doi.org/10.3390/app11094311
APA StyleLiu, X., Li, C., Du, J., & Nan, G. (2021). Thermal Characteristics Study of the Bump Foil Thrust Gas Bearing. Applied Sciences, 11(9), 4311. https://doi.org/10.3390/app11094311

