Solar Potential in Saudi Arabia for Southward-Inclined Flat-Plate Surfaces
Abstract
1. Introduction
2. Materials and Methods
2.1. Data Collection
2.2. Data Processing and Analysis
3. Results
3.1. Annual Energy Sums and Solar Energy Zones
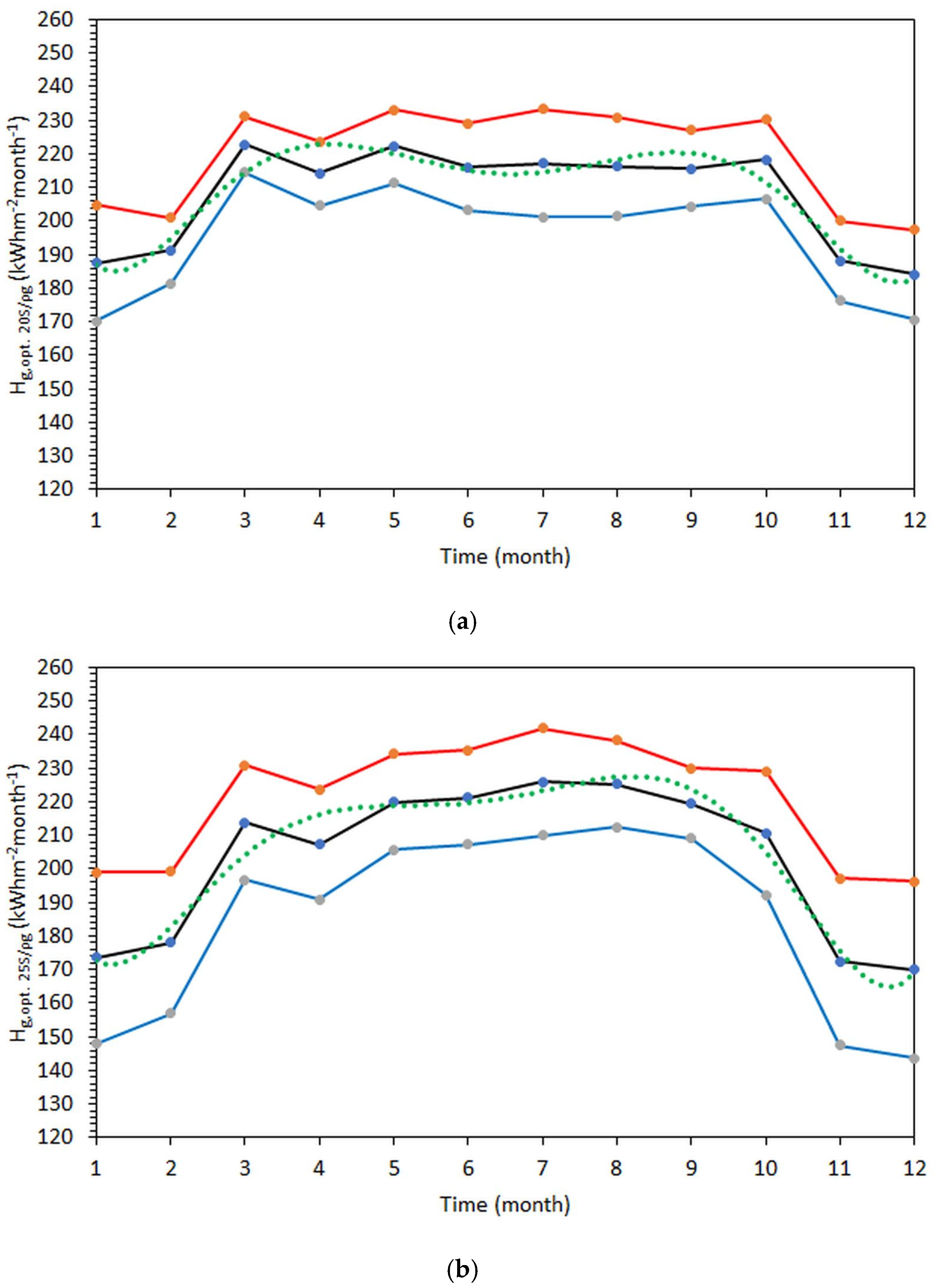
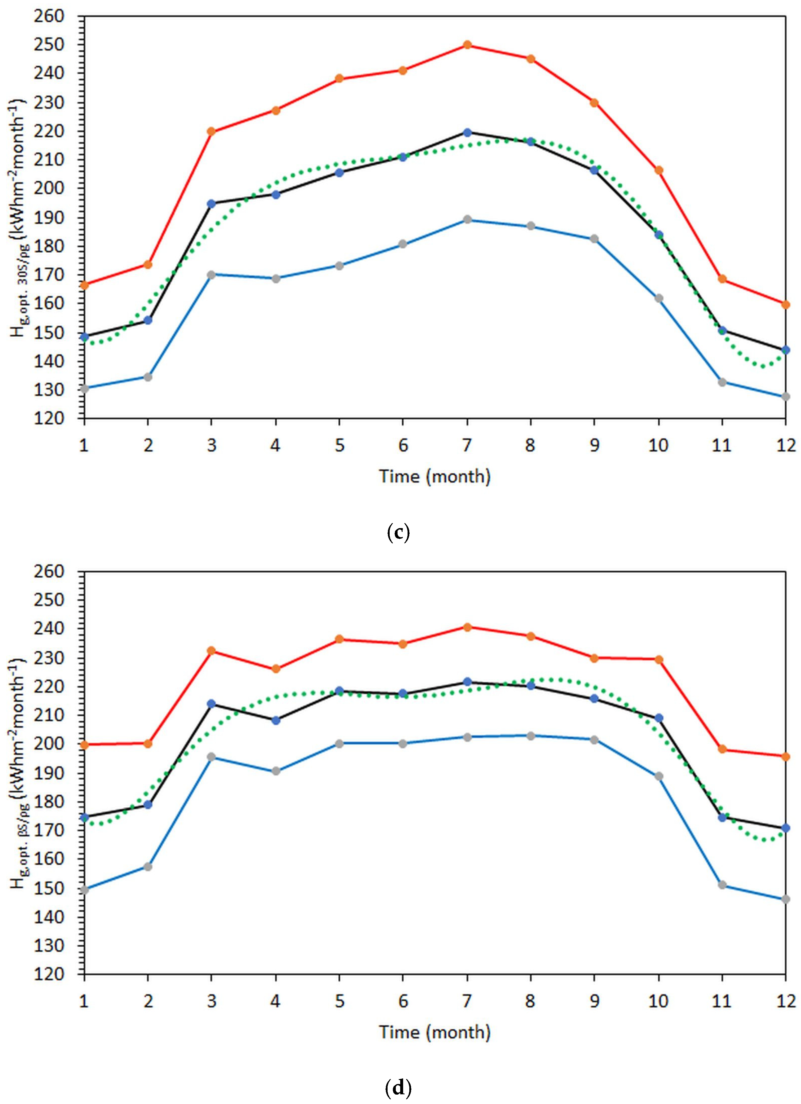
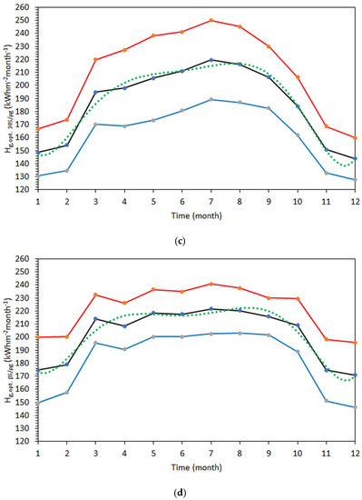
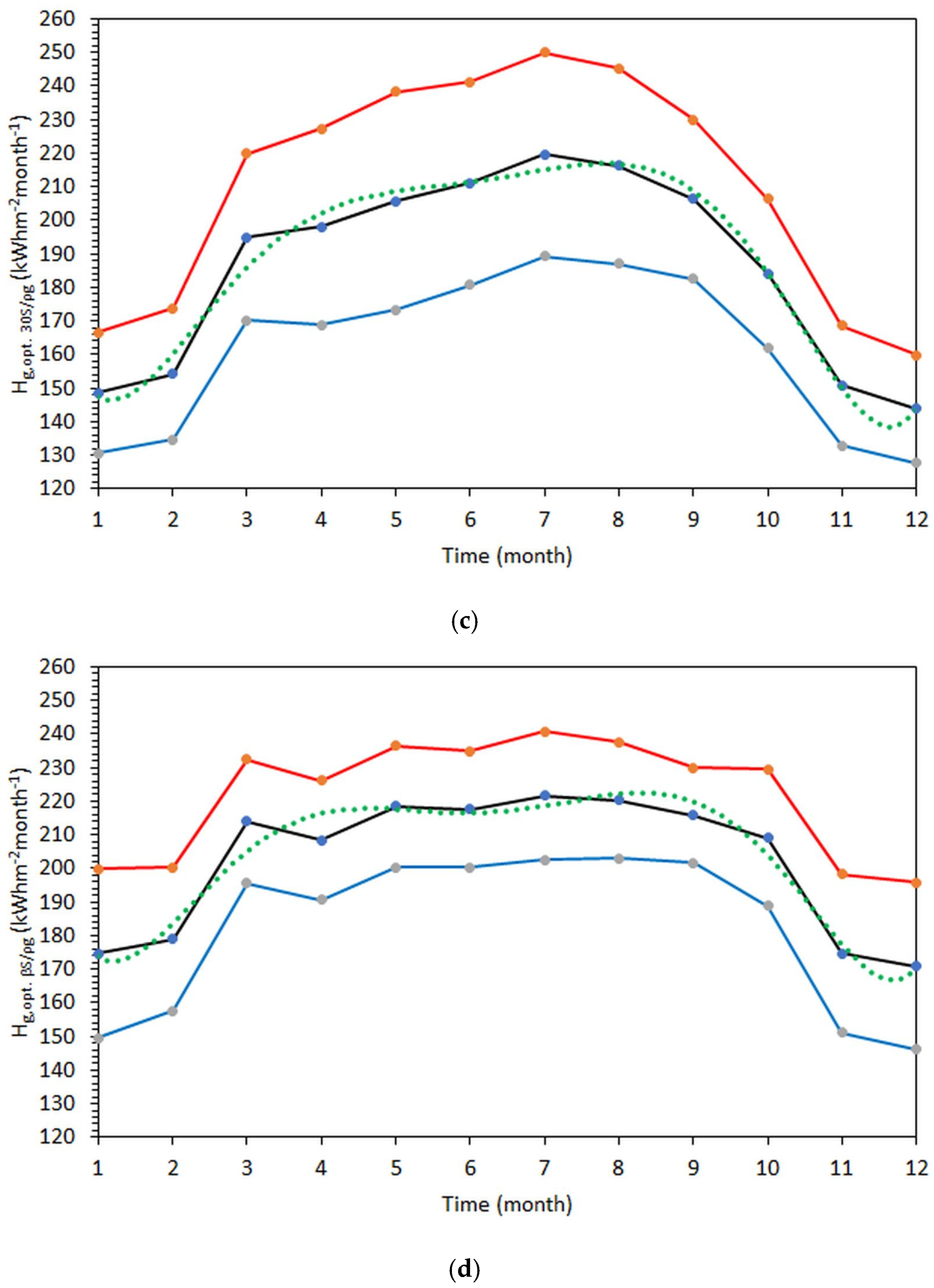
3.2. Monthly Energy Sums
3.3. Seasonal Energy Sums
3.4. Maps of Annual Energy Sums
3.5. Evaluation of the PV-GIS Tool
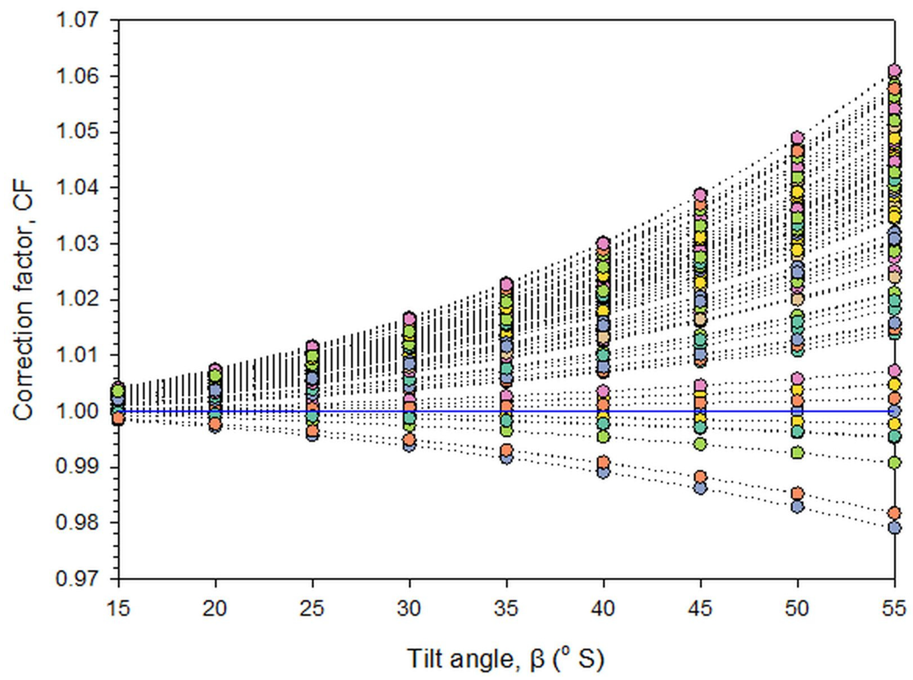
3.6. Definition and Variation of the Correction Factor
4. Conclusions and Discussion
Author Contributions
Funding
Institutional Review Board Statement
Informed Consent Statement
Data Availability Statement
Acknowledgments
Conflicts of Interest
References
- Kambezidis, H.D. Annual and seasonal trends of solar radiation in Athens, Greece. J. Sol. Energy Res. Updates 2018, 5, 14–24. [Google Scholar] [CrossRef]
- Kambezidis, H.D. The solar radiation climate of Athens: Variations and tendencies in the period 1992–2017, the brightening era. Sol. Energy 2018, 173, 328–347. [Google Scholar] [CrossRef]
- Kambezidis, H.D. The solar resource. In Comprehensive Renewable Energy; Sayigh, A., Ed.; Elsevier: Amsterdam, The Netherlands, 2012; pp. 27–83. ISBN 978-0-08087-872-0. [Google Scholar]
- Hafez, A.Z.; Soliman, A.; El-Metwally, K.A.; Ismail, I.M. Tilt and azimuth angles in solar energy applications—A review. Renew. Sustain. Energy Rev. 2017, 77, 147–168. [Google Scholar] [CrossRef]
- Willmott, C.J. On the climatic optimization of the tilt and azimuth of flat-plate solar collectors. Sol. Energy 1982, 28, 205–216. [Google Scholar] [CrossRef]
- Rowlands, I.H.; Kemery, B.P.; Beausoleil-Morrison, I. Optimal solar-PV tilt angle and azimuth: An Ontario (Canada) case-study. Energy Policy 2011, 39, 1397–1409. [Google Scholar] [CrossRef]
- Daut, I.; Irwanto, M.; Irwan, Y.M.; Gomesh, N.; Ahmad, N.S. Clear sky global solar irradiance on tilt angles of photovoltaic module in Perlis, Northern Malaysia. In Proceedings of the International Conference on Electrical, Control and Computer Engineering (INECCE), Kuantan, Malaysia, 21–22 June 2011; pp. 445–450. [Google Scholar] [CrossRef]
- Khatib, T.; Mohamed, A.; Sopian, K. On the monthly optimum tilt angle of solar panel for five sites in Malaysia. In Proceedings of the IEEE International Power Engineering and Optimization Conference (PEDCO), Melaka, Malaysia, 6–7 June 2012; pp. 7–10. [Google Scholar] [CrossRef]
- Elhab, B.R.; Sopian, K.; Mat, S.; Lim, C.; Sulaiman, M.Y.; Ruslan, M.H.; Saadatian, O. Optimizing tilt angles and orientations of solar panels for Kuala Lumpur, Malaysia. Sci. Res. Essays 2012, 7, 3758–3765. [Google Scholar] [CrossRef]
- Altarawneh, I.S.; Rawadieh, S.I.; Tarawneh, M.S.; Alsowwad, S.M.; Ramawi, F. Optimal tilt angle trajectory for maximizing solar energy potential in Ma’an area, Jordan. J. Renew. Sustain. Energy 2016, 8, 033701. [Google Scholar] [CrossRef]
- Talebizadeh, P.; Mehrabian, M.A.; Abdolzadeh, M. Prediction of the optimum slope and surface azimuth angles using the Genetic Algorithm. Energy Build. 2011, 43, 2998–3005. [Google Scholar] [CrossRef]
- Jafarkazemi, F.; Saadabadi, S.A.; Pasdarshahri, H. The optimum tilt angle for flat-plate solar collectors in Iran. J. Renew. Sustain. Energy 2012, 4, 013118. [Google Scholar] [CrossRef]
- Kacira, M.; Simsek, M.; Babur, Y.; Demirkol, S. Determining optimum tilt angles and orientations of photovoltaic panels in Sanliurfa, Turkey. Renew. Energy 2004, 29, 1265–1275. [Google Scholar] [CrossRef]
- Skeiker, K. Optimum tilt angle and orientation for solar collectors in Syria. Energy Convers. Manag. 2009, 50, 2439–2448. [Google Scholar] [CrossRef]
- Ibrahim, D. Optimum tilt angle for solar collectors used in Cyprus. Renew. Energy 1995, 6, 813–819. [Google Scholar] [CrossRef]
- Ghosh, H.R.; Bhowmik, N.C.; Hussain, M. Determining seasonal optimum tilt angles, solar radiations on variously oriented, single and double axis tracking surfaces at Dhaka. Renew. Energy 2010, 35, 1292–1297. [Google Scholar] [CrossRef]
- Vasiliev, M.; Nur-E-Alam, M.; Alameh, K. recent technologies in solar energy-harvesting technologies for building integration and distributed energy generation. Energies 2019, 12, 1080. [Google Scholar] [CrossRef]
- Islam, M.T.; Huda, N.; Abdullah, A.B.; Saidur, R. A comprehensive review of state-of-the-art concentrating solar power (CSP) technologies: Current status and research trends. Renew. Sustain. Energy Rev. 2018, 91, 987–1018. [Google Scholar] [CrossRef]
- Ahmadi, H.M.; Ghazvini, M.; Sadeghzadeh, M.; Nazari, M.A.; Kumar, R.; Naeimi, A.; Ming, T. Solar power technology for electricity generation: A critical review. Energy Sci. Eng. 2018, 6, 340–361. [Google Scholar] [CrossRef]
- Vinod; Kumar, R.; Singh, S.K. Solar photovoltaic modeling and simulation: As a renewable energy solution. Energy Rep. 2018, 4, 701–712. [Google Scholar] [CrossRef]
- Bayrak, F.; Ertürk, G.; Oztop, H.F. Effects of partial shading on energy and exergy efficiencies for photovoltaic panels. J. Clean. Prod. 2017, 164, 58–69. [Google Scholar] [CrossRef]
- Evseev, E.G.; Kudish, A.I. The assessment of different models to predict the solar radiation on a surface tilted to the south. Sol. Energy 2009, 83, 377–388. [Google Scholar] [CrossRef]
- Kaddoura, T.O.; Ramli, M.A.M.; Al-Turki, Y.A. On the estimation of the optimum tilt angle of PV panel in Saudi Arabia. Renew. Sustain. Energy Rev. 2016, 65, 626–634. [Google Scholar] [CrossRef]
- Ohtake, H.; Uno, F.; Oozeki, T.; Yamada, Y.; Takenaka, H.; Nakajima, T.Y. Estimation of satellite-derived regional photovoltaic power generation using satellite-estimated solar radiation data. Energy Sci. Eng. 2018, 6, 570–583. [Google Scholar] [CrossRef]
- Kambezidis, H.D.; Psiloglou, B.E. Estimation of the optimum energy received by solar energy flat-plate convectors in Greece using Typical Meteorological Years. Part I: South-oriented tilt angles. Appl. Sci. 2021, 11, 1547. [Google Scholar] [CrossRef]
- El-Sebaii, A.A.; Al-Hazmi, F.S.; Al-Ghamdi, A.A.; Yaghmour, S.J. Global, direct and diffuse solar radiation on horizontal and tilted surfaces in Jeddah, Saudi Arabia. Appl. Energy 2010, 87, 568–576. [Google Scholar] [CrossRef]
- Zell, E.; Gasim, S.; Wilcox, S.; Katamoura, S.; Stoffel, T.; Shibli, H.; Engel-Cox, J.; Al Subie, M. Assessment of solar radiation resources in Saudi Arabia. Sol. Energy 2015, 119, 422–438. [Google Scholar] [CrossRef]
- The World Bank. Global Solar Atlas 2.0. 2019. Available online: https://solargis.com (accessed on 8 March 2021).
- Almasoud, A.H.; Gandayah, H.M. Future of solar energy in Saudi Arabia. J. King Saud Univ. Eng. Sci. 2015, 27, 153–157. [Google Scholar] [CrossRef]
- Müller, R.; Behrendt, T.; Hammer, A.; Kemper, A. A new algorithm for the satellite-based retrieval of solar surface irradiance in spectral bands. Remote Sens. 2012, 4, 622–647. [Google Scholar] [CrossRef]
- Huld, T.; Müller, R.; Gambardella, A. A new solar radiation database for estimating PV performance in Europe and Africa. Sol. Energy 2012, 86, 1803–1815. [Google Scholar] [CrossRef]
- Urraca, R.; Gracia Amillo, A.M.; Koubli, E.; Huld, T.; Trentmann, J.; Riihelä, A.; Lindfors, A.V.; Palmer, D.; Gottschalg, R.; Antonanzas-Torres, F. Extensive validation of CM SAF surface radiation products over Europe. Remote Sens. Environ. 2017, 199, 171–186. [Google Scholar] [CrossRef]
- Urraca, R.; Huld, T.; Gracia Amillo, A.; Martinez-de-Pison, F.J.; Kaspar, F.; Sanz-Garcia, A. Evaluation of global horizontal irradiance estimates from ERA5 and COSMO-REA6 reanalyses using ground and satellite-based data. Sol. Energy 2018, 164, 339–354. [Google Scholar] [CrossRef]
- Müller, R.; Matsoukas, C.; Gratzki, A.; Behr, H.; Hollman, R. The CM-SAF operational scheme for the satellite-based retrieval of solar irradiance—A LUT based eigenvector hybrid approach. Remote Sens. Environ. 2009, 113, 1012–1024. [Google Scholar] [CrossRef]
- Gracia Amillo, A.; Huld, T.; Müeller, R. A new database of global and direct solar radiation using the eastern meteosat satellite, models and validation. Remote Sens. 2014, 6, 8165–8189. [Google Scholar] [CrossRef]
- Walraven, R. Calculating the position of the sun. Sol. Energy 1978, 20, 393–397. [Google Scholar] [CrossRef]
- Wilkinson, B.J. An improved FORTRAN program for the rapid calculation of the solar position. Sol. Energy 1981, 27, 67–68. [Google Scholar] [CrossRef]
- Muir, L.R. Comments on “The effect of the atmospheric refraction in the solar azimuth”. Sol. Energy 1983, 30, 295. [Google Scholar] [CrossRef]
- Kambezidis, H.D.; Papanikolaou, N.S. Solar position and atmospheric refraction. Sol. Energy 1990, 44, 143–144. [Google Scholar] [CrossRef]
- Kambezidis, H.D.; Tsangrassoulis, A.E. Solar position and right ascension. Sol. Energy 1993, 50, 415–416. [Google Scholar] [CrossRef]
- Liu, B.Y.H.; Jordan, R.C. The long-term average performance of flat-plate solar energy collectors. Sol. Energy 1963, 7, 53–74. [Google Scholar] [CrossRef]
- Kambezidis, H.D.; Psiloglou, B.E.; Gueymard, C.A. Measurements and models for total solar irradiance on inclined surface in Athens, Greece. Sol. Energy 1994, 53, 177–185. [Google Scholar] [CrossRef]
- Iqbal, M. An Introduction to Solar Radiation; Academic Press: Toronto, ON, Canada, 1983; pp. 304–307. ISBN 0-12-373750-8. [Google Scholar]
- Acker, J.G.; Leptoukh, G. Online analysis enhances use of NASA earth Science Data. EOS Trans. AGU 2007, 88, 14–17. [Google Scholar] [CrossRef]
- Solar Radiation Atlas for the Kingdom of Saudi Arabia. Prepared by the National Renewable Energy Laboratory (USA) and the Energy Institute (Saudi Arabia), November 1998. Available online: https://digital.library.unt.edu/ark:/67531/metadc690351/m2/1/high_res_d/5834 (accessed on 29 April 2021).
- Almazroui, M.; Islam, M.N.; Jones, P.D.; Athar, H.; Rahman, M.A. Recent climate change in the Arabian Peninsula: Seasonal rainfall and temperature climatology of Saudi Arabia for 1979–2009. Atmos. Res. 2012, 111, 29–45. [Google Scholar] [CrossRef]















| # | Site | φ (° N) | λ (° E) |
|---|---|---|---|
| 1 | Dammam | 26.42 | 50.09 |
| 2 | Al Jubail | 26.96 | 49.57 |
| 3 | Ras Tanura | 26.77 | 50.00 |
| 4 | Abqaiq | 25.92 | 49.67 |
| 5 | Al Hofuf | 25.38 | 49.59 |
| 6 | Arar | 30.96 | 41.06 |
| 7 | Sakaka | 29.88 | 40.10 |
| 8 | Tabuk | 28.38 | 36.57 |
| 9 | Al Jawf | 29.89 | 39.32 |
| 10 | Riyadh | 24.71 | 46.68 |
| 11 | Al Qassim | 26.21 | 43.48 |
| 12 | Hafar Al Batin | 28.38 | 45.96 |
| 13 | Buraydah | 26.36 | 43.98 |
| 14 | Al Majma’ah | 25.88 | 45.37 |
| 15 | Hail | 27.51 | 41.72 |
| 16 | Jeddah | 21.49 | 39.19 |
| 17 | Jazan | 16.89 | 42.57 |
| 18 | Mecca | 21.39 | 39.86 |
| 19 | Medina | 24.52 | 39.57 |
| 20 | Taif | 21.28 | 40.42 |
| 21 | Yanbu | 24.02 | 38.19 |
| 22 | King Abdullah Economic City | 22.45 | 39.13 |
| 23 | Najran | 17.57 | 44.23 |
| 24 | Abha | 18.25 | 42.51 |
| 25 | Bisha | 19.98 | 42.59 |
| 26 | Al Sahmah | 20.10 | 54.94 |
| 27 | Thabhloten | 19.83 | 53.90 |
| 28 | Ardah | 21.22 | 55.24 |
| 29 | Shaybah | 22.52 | 54.00 |
| 30 | Al Kharkhir | 18.87 | 51.13 |
| 31 | Umm Al Melh | 19.11 | 50.11 |
| 32 | Ash Shalfa | 21.87 | 49.71 |
| 33 | Oroug Bani Maradh Wildlife | 19.41 | 45.88 |
| 34 | Wadi ad Dawasir | 20.49 | 44.86 |
| 35 | Al Badie Al Shamali | 21.99 | 46.58 |
| 36 | Howtat Bani Tamim | 23.52 | 46.84 |
| 37 | Al Duwadimi | 24.50 | 44.39 |
| 38 | Shaqra | 25.23 | 45.24 |
| 39 | Afif | 24.02 | 42.95 |
| 40 | New Muwayh | 22.43 | 41.74 |
| 41 | Mahd Al Thahab | 23.49 | 40.85 |
| 42 | Ar Rass | 25.84 | 43.54 |
| 43 | Uglat Asugour | 25.85 | 42.15 |
| 44 | Al Henakiyah | 24.93 | 40.54 |
| 45 | Ar Rawdah | 26.81 | 41.68 |
| 46 | Asbtar | 26.96 | 40.28 |
| 47 | Tayma | 27.62 | 38.48 |
| 48 | Al Khanafah Wildlife Sanctuary | 28.81 | 38.92 |
| 49 | Madain Saleh | 26.92 | 38.04 |
| 50 | Altubaiq Natural Reserve | 29.51 | 37.23 |
| 51 | Hazem Aljalamid | 31.28 | 40.07 |
| 52 | Turaif | 31.68 | 38.69 |
| 53 | Al Qurayyat | 31.34 | 37.37 |
| 54 | Harrat al Harrah Conservation | 30.61 | 39.48 |
| 55 | Al Uwayqilah | 30.33 | 42.25 |
| 56 | Rafha | 29.63 | 43.49 |
| 57 | Khafji | 28.41 | 48.50 |
| 58 | Unnamed 1 | 21.92 | 51.99 |
| 59 | Unnamed 2 | 21.03 | 51.16 |
| 60 | Unnamed 3 | 22.33 | 52.53 |
| 61 | Unnamed 4 | 23.42 | 50.73 |
| 62 | Unnamed 5 | 21.28 | 48.03 |
| 63 | Unnamed 6 | 31.70 | 39.26 |
| 64 | Unnamed 7 | 32.02 | 39.65 |
| 65 | Unnmaed 8 | 31.02 | 42.00 |
| 66 | Unnamed 9 | 30.63 | 41.31 |
| 67 | Unnamed 10 | 29.78 | 42.68 |
| 68 | Unnamed 11 | 28.68 | 47.49 |
| 69 | Unnamed 12 | 28.41 | 47.97 |
| 70 | Unnamed 13 | 28.05 | 47.53 |
| 71 | Unnamed 14 | 27.97 | 47.88 |
| 72 | Unnamed 15 | 27.15 | 48.98 |
| 73 | Unnamed 16 | 27.21 | 48.56 |
| 74 | Unnamed 19 | 27.15 | 48.02 |
| 75 | Unnamed 18 | 27.66 | 48.52 |
| 76 | Unnamed 19 | 24.74 | 48.95 |
| 77 | Unnamed 20 | 28.34 | 35.17 |
| 78 | Unnamed 21 | 26.27 | 36.67 |
| 79 | Unnamed 22 | 21.89 | 43.06 |
| 80 | Unnamed 23 | 18.76 | 47.54 |
| 81 | Unnamed 24 | 21.38 | 53.28 |
| 82 | Unnamed 25 | 19.24 | 52.79 |
| Site # | Hg,opt. βS/ρg0 (kWhm−2year−1)/ Optimum β (° S) | Hg,opt. βS/ρg (kWhm−2year−1)/ Optimum β (° S) |
|---|---|---|
| 1 | 2393/20 | 2359/25 |
| 2 | 2361/20 | 2374/25 |
| 3 | 2324/20 | 2320/25 |
| 4 | 2392/20 | 2409/25 |
| 5 | 2401/20 | 2409/25 |
| 6 | 2386/25 | 2409/30 |
| 7 | 2451/25 | 2470/25 |
| 8 | 2537/25 | 2544/25 |
| 9 | 2425/25 | 2443/30 |
| 10 | 2439/20 | 2452/25 |
| 11 | 2403/20 | 2415/25 |
| 12 | 2293/15 | 2298/25 |
| 13 | 2392/20 | 2406/25 |
| 14 | 2409/20 | 2423/25 |
| 15 | 2448/25 | 2462/25 |
| 16 | 2435/20 | 2437/20 |
| 17 | 2221/30 | 2192/20 |
| 18 | 2430/20 | 2432/20 |
| 19 | 2506/20 | 2503/20 |
| 20 | 2419/20 | 2420/20 |
| 21 | 2519/20 | 2518/20 |
| 22 | 2454/20 | 2453/20 |
| 23 | 2566/20 | 2568/20 |
| 24 | 2344/20 | 2343/20 |
| 25 | 2547/20 | 2549/20 |
| 26 | 2525/20 | 2543/20 |
| 27 | 2511/20 | 2528/20 |
| 28 | 2951/25 | 2977/25 |
| 29 | 2463/20 | 2478/25 |
| 30 | 2580/20 | 2595/20 |
| 31 | 2552/20 | 2567/20 |
| 32 | 2504/20 | 2522/20 |
| 33 | 2542/20 | 2559/20 |
| 34 | 2531/20 | 2512/20 |
| 35 | 2526/20 | 2501/20 |
| 36 | 2477/20 | 2491/25 |
| 37 | 2468/20 | 2480/25 |
| 38 | 2399/20 | 2414/25 |
| 39 | 2486/20 | 2492/20 |
| 40 | 2542/20 | 2540/20 |
| 41 | 2528/25 | 2503/20 |
| 42 | 2409/20 | 2423/25 |
| 43 | 2471/20 | 2479/25 |
| 44 | 2517/20 | 2519/20 |
| 45 | 2435/25 | 2443/25 |
| 46 | 2500/25 | 2513/25 |
| 47 | 2538/25 | 2566/25 |
| 48 | 2455/25 | 2472/25 |
| 49 | 2536/25 | 2556/25 |
| 50 | 2440/25 | 2450/25 |
| 51 | 2367/25 | 2393/30 |
| 52 | 2363/25 | 2381/30 |
| 53 | 1750/30 | 1763/30 |
| 54 | 2399/25 | 2411/30 |
| 55 | 2379/25 | 2402/30 |
| 56 | 1705/25 | 1724/30 |
| 57 | 2284/20 | 2275/25 |
| 58 | 2511/20 | 2530/25 |
| 59 | 2520/20 | 2538/20 |
| 60 | 2504/20 | 2523/25 |
| 61 | 2467/20 | 2487/25 |
| 62 | 2513/20 | 2527/20 |
| 63 | 2334/25 | 2349/30 |
| 64 | 2289/25 | 2308/30 |
| 65 | 2334/25 | 2354/30 |
| 66 | 2376/25 | 2396/30 |
| 67 | 1702/30 | 1721/30 |
| 68 | 2295/25 | 2316/25 |
| 69 | 2314/20 | 2333/25 |
| 70 | 2306/20 | 2405/25 |
| 71 | 2329/20 | 2351/25 |
| 72 | 2361/20 | 2375/25 |
| 73 | 2398/25 | 2421/25 |
| 74 | 2377/25 | 2397/25 |
| 75 | 1597/25 | 1612/25 |
| 76 | 2432/20 | 2455/25 |
| 77 | 2523/25 | 2521/25 |
| 78 | 2523/20 | 2517/20 |
| 79 | 2523/20 | 2533/20 |
| 80 | 2560/25 | 2578/20 |
| 81 | 2494/20 | 2511/25 |
| 82 | 2521/20 | 2537/20 |
| SEZ | Regression Equation | R2 |
|---|---|---|
| A (months) A (seasons) | Hg,opt. 20S/ρg = 0.0069 t6 − 0.2697 t5 + 4.0473 t4 − 29.198 t3 + 102.1 t2 − 146.91 t +257.22 Hg,opt. 20S/ρg = 11.873 t3 − 111.04 t2 + 270.02 t + 469.06 | 0.90 1 |
| B (months) B (seasons) | Hg,opt. 25S/ρg = 0.0074 t6 − 0.2807 t5 + 4.0844 t4−28.789 t3 + 99.611 t2 − 140.6 t +238.64 Hg,opt. 25S/ρg = −3.5278 t3 + 14.665 t2 − 29.675 t + 676.42 | 0.95 1 |
| C (months) C (seasons) | Hg,opt. 30S/ρg = 0.076 t6 − 0.2856 t5 + 4.1495 t4 − 29.402 t3 + 102.8 t2 − 143.99 t +214.14 Hg,opt. 30S/ρg = 16.004 t3 − 148.64 t2 + 367.43 t + 399.25 | 0.98 1 |
| all (months) all (seasons) | Hg,opt. βS/ρg = 0.0073 t6 − 0.2775 t5 + 4.0829 t4 − 29.057 t3 + 101.12 t2 − 143.61 t +241.55 Hg,opt. βS/ρg = 24.366 t3 − 217.36 t2 + 524.17 t + 288.48 | 0.95 1 |
| β (SEZ) | Regression Equation | R2 |
|---|---|---|
| 20° S (A) | CF = 8·10−8 β3 + 2·10−6 β2 + 1·10−4 β + 0.999 | 1 |
| 25° S (B) | CF = 1·10−9 β3 + 1·10−5 β2 − 8·10−5 β + 1.0009 | 1 |
| 30° S (C) | CF = 6·10−9 β3 + 1·10−5 β2 − 5·10−5 β + 1.0007 | 1 |
| all (all) | CF = 3·10−8 β3 + 8·10−6 β2 + 1·10−5 β + 1.0001 | 1 |
Publisher’s Note: MDPI stays neutral with regard to jurisdictional claims in published maps and institutional affiliations. |
© 2021 by the authors. Licensee MDPI, Basel, Switzerland. This article is an open access article distributed under the terms and conditions of the Creative Commons Attribution (CC BY) license (https://creativecommons.org/licenses/by/4.0/).
Share and Cite
Farahat, A.; Kambezidis, H.D.; Almazroui, M.; Ramadan, E. Solar Potential in Saudi Arabia for Southward-Inclined Flat-Plate Surfaces. Appl. Sci. 2021, 11, 4101. https://doi.org/10.3390/app11094101
Farahat A, Kambezidis HD, Almazroui M, Ramadan E. Solar Potential in Saudi Arabia for Southward-Inclined Flat-Plate Surfaces. Applied Sciences. 2021; 11(9):4101. https://doi.org/10.3390/app11094101
Chicago/Turabian StyleFarahat, Ashraf, Harry D. Kambezidis, Mansour Almazroui, and Emad Ramadan. 2021. "Solar Potential in Saudi Arabia for Southward-Inclined Flat-Plate Surfaces" Applied Sciences 11, no. 9: 4101. https://doi.org/10.3390/app11094101
APA StyleFarahat, A., Kambezidis, H. D., Almazroui, M., & Ramadan, E. (2021). Solar Potential in Saudi Arabia for Southward-Inclined Flat-Plate Surfaces. Applied Sciences, 11(9), 4101. https://doi.org/10.3390/app11094101

