Effects of Night Ventilation on Indoor Air Quality in Educational Buildings—A Field Study
Abstract
Featured Application
Abstract
1. Introduction
2. Materials and Methods
2.1. Measured School Buildings
2.2. Measured Kindergartens
2.3. Air Distribution Methods
2.4. Measurements
2.4.1. Measuring Instruments
2.4.2. qPCR-Method for Microbes
2.4.3. Statistical Analysis
3. Results
3.1. Microbes
3.1.1. Indoor/Outdoor-Ratio
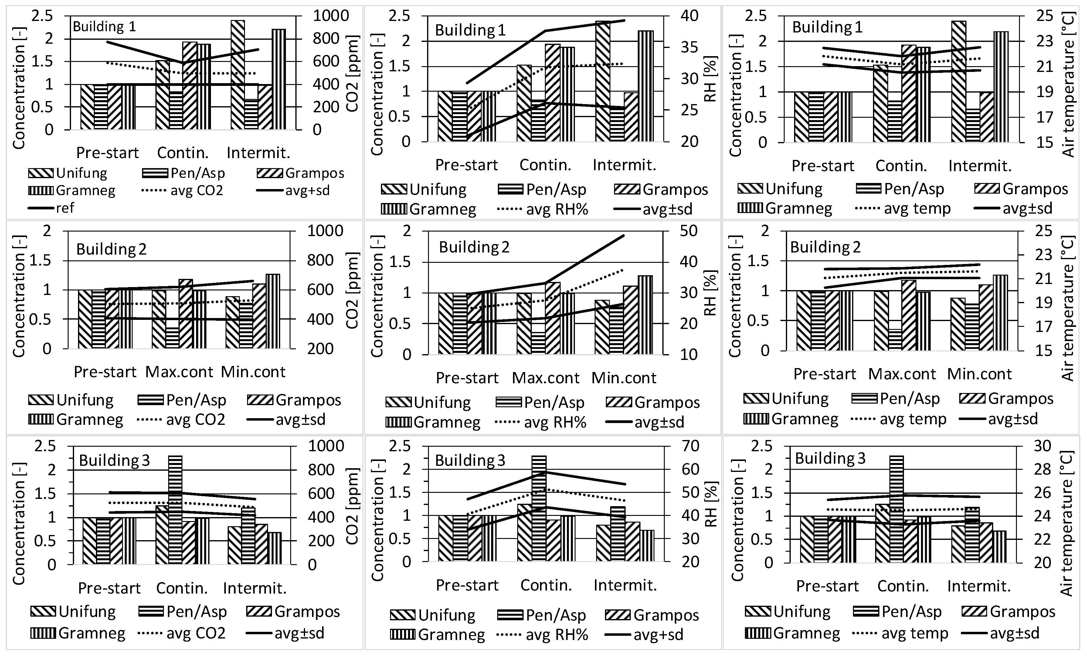
3.1.2. Indoor Microbial Concentrations
3.2. TVOC-Concentration
3.2.1. TVOC in Weekday Mornings
3.2.2. TVOC, Night Ventilation, and Space Usage
3.2.3. TVOC and Thermal Conditions
3.2.4. TVOC in Different Periods
3.3. Particulate Matter in Ventilation Start-Up
4. Discussion
5. Conclusions
Author Contributions
Funding
Acknowledgments
Conflicts of Interest
References
- Seppanen, O.A.; Fisk, W.J.; Mendell, M.J. Association of ventilation rates and co2 concentrations with health andother responses in commercial and institutional buildings. Indoor Air 1999, 9, 226–252. [Google Scholar] [CrossRef] [PubMed]
 - Sundell, J.; Levin, H.; Nazaroff, W.W.; Cain, W.S.; Fisk, W.J.; Grimsrud, D.T.; Gyntelberg, F.; Li, Y.; Persily, A.K.; Pickering, A.C.; et al. Ventilation rates and health: Multidisciplinary review of the scientific literature. Indoor Air 2011, 21, 191–204. [Google Scholar] [CrossRef] [PubMed]
 - Wargocki, P.; Sundell, J.; Bischof, W.; Brundrett, G.; Fanger, P.O.; Gyntelberg, F.; Hanssen, S.O.; Harrison, P.; Pickering, A.; Seppanen, O.; et al. Ventilation and health in non-industrial indoor environments: Report from a European Multidisciplinary Scientific Consensus Meeting (EUROVEN). Indoor Air 2002, 12, 113–128. [Google Scholar] [CrossRef]
 - Daisey, J.M.; Angell, W.J.; Apte, M.G. Indoor air quality, ventilation and health symptoms in schools: An analysis of existing information. Indoor Air 2003, 13, 53–64. [Google Scholar] [CrossRef] [PubMed]
 - Mendell, M.J.; Heath, G.A. Do indoor pollutants and thermal conditions in schools influence student performance? A critical review of the literature. Indoor Air 2005, 15, 27–52. [Google Scholar] [CrossRef] [PubMed]
 - Chatzidiakou, L.; Mumovic, D.; Summerfield, A.J. What do we know about indoor air quality in school classrooms? A critical review of the literature. Intell. Build. Int. 2012, 4, 228–259. [Google Scholar] [CrossRef]
 - Haverinen-Shaughnessy, U.; Shaughnessy, R.J.; Cole, E.C.; Toyinbo, O.; Moschandreas, D.J. An assessment of indoor environmental quality in schools and its association with health and performance. Build. Environ. 2015, 93, 35–40. [Google Scholar] [CrossRef]
 - Wargocki, P.; Wyon, D.P. The effects of outdoor air supply rate and supply air filter condition in classrooms on the performance of schoolwork by children (rp-1257). HVAC&R Res. 2007, 13, 165–191. [Google Scholar]
 - Bakó-Biró, Z.; Clements-Croome, D.; Kochhar, N.; Awbi, H.; Williams, M. Ventilation rates in schools and pupils’ performance. Build. Environ. 2012, 48, 215–223. [Google Scholar] [CrossRef]
 - CEN European Standard EN 15251:2007. In Indoor Environmental Input Parameters for Design and Assessment of Energy Performance of Buildings Addressing Indoor Air Quality, Thermal Environment, Lighting and Acoustics; European Committee for Standardization: Brussels, Belgium, 2007.
 - Montgomery, J.F.; Storey, S.; Bartlett, K. Comparison of the indoor air quality in an office operating with natural or mechanical ventilation using short-term intensive pollutant monitoring. Indoor Built Environ. 2015, 24, 777–787. [Google Scholar] [CrossRef]
 - Hunt, G.; Kaye, N. Pollutant flushing with natural displacement ventilation. Build. Environ. 2006, 41, 1190–1197. [Google Scholar] [CrossRef]
 - Coley, D.A.; Beisteiner, A. Carbon dioxide levels and ventilation rates in schools. Int. J. Vent. 2002, 1, 45–52. [Google Scholar] [CrossRef]
 - Griffiths, M.; Eftekhari, M. Control of CO2 in a naturally ventilated classroom. Energy Build. 2008, 40, 556–560. [Google Scholar] [CrossRef]
 - Almeida, S.M.; Canha, N.; Silva, A.; Freitas, M.D.C.; Pegas, P.; Alves, C.; Evtyugina, M.; Pio, C.A. Children exposure to atmospheric particles in indoor of Lisbon primary schools. Atmos. Environ. 2011, 45, 7594–7599. [Google Scholar] [CrossRef]
 - Chao, C.; Hu, J. Development of a dual-mode demand control ventilation strategy for indoor air quality control and energy saving. Build. Environ. 2004, 39, 385–397. [Google Scholar] [CrossRef]
 - Artmann, N.; Manz, H.; Heiselberg, P. Climatic potential for passive cooling of buildings by night-time ventilation in Europe. Appl. Energy 2007, 84, 187–201. [Google Scholar] [CrossRef]
 - Lynch, P.; Hunt, G. The night purging of a two-storey atrium building. Build. Environ. 2011, 46, 144–155. [Google Scholar] [CrossRef]
 - Solgi, E.; Hamedani, Z.; Fernando, R.; Skates, H.; Orji, N.E. A literature review of night ventilation strategies in buildings. Energy Build. 2018, 173, 337–352. [Google Scholar] [CrossRef]
 - Le Dréau, J.; Heiselberg, P.; Jensen, R. Experimental investigation of convective heat transfer during night cooling with different ventilation systems and surface emissivities. Energy Build. 2013, 61, 308–317. [Google Scholar] [CrossRef]
 - Guo, R.; Heiselberg, P.; Hu, Y.; Johra, H.; Zhang, C.; Jensen, R.L.; Jønsson, K.T.; Peng, P. Experimental investigation of convective heat transfer for night cooling with diffuse ceiling ventilation. Build. Environ. 2021, 193, 107665. [Google Scholar] [CrossRef]
 - Santamouris, M.; Kolokotsa, D. Passive cooling dissipation techniques for buildings and other structures: The state of the art. Energy Build. 2013, 57, 74–94. [Google Scholar] [CrossRef]
 - Seppänen, O.; Brelih, N.; Goeders, G.; Litiu, A. Existing Buildings, Building Codes, Ventilation Standards and Ventilation in Europe. Final HEALTHVENT WP5 Report 2012. Available online: https://www.rehva.eu/fileadmin/EU_projects/HealthVent/HealthVent_WP5_-_Final_Report.pdf (accessed on 12 March 2021).
 - Carrer, P.; Fernandes, E.D.O.; Santos, H.; Hänninen, O.; Kephalopoulos, S.; Wargocki, P. On the development of health-based ventilation guidelines: Principles and framework. Int. J. Environ. Res. Public Health 2018, 15, 1360. [Google Scholar] [CrossRef]
 - Sundell, J. On the history of indoor air quality and health. Indoor Air 2004, 14, 51–58. [Google Scholar] [CrossRef] [PubMed]
 - Herberger, S.; Herold, M.; Ulmer, H.; Burdack-Freitag, A.; Mayer, F. Detection of human effluents by a MOS gas sensor in correlation to VOC quantification by GC/MS. Build. Environ. 2010, 45, 2430–2439. [Google Scholar] [CrossRef]
 - Leidinger, M.; Sauerwald, T.; Conrad, T.; Reimringer, W.; Ventura, G.; Schütze, A. Selective Detection of Hazardous Indoor VOCs Using Metal Oxide Gas Sensors. Procedia Eng. 2014, 87, 1449–1452. [Google Scholar] [CrossRef]
 - Schütze, A.; Baur, T.; Leidinger, M.; Reimringer, W.; Jung, R.; Conrad, T.; Sauerwald, T. Highly Sensitive and Selective VOC Sensor Systems Based on Semiconductor Gas Sensors: How to? Environment 2017, 4, 20. [Google Scholar] [CrossRef]
 - WHO. Health Effects of Particulate Matter: Policy Implications for Countries in Eastern Europe, Caucasus and Central Asia; WHO Regional Office for Europe: Copenhagen, Denmark, 2013. [Google Scholar]
 - Diapouli, E.; Chaloulakou, A.; Koutrakis, P. Estimating the concentration of indoor particles of outdoor origin: A review. J. Air Waste Manag. Assoc. 2013, 63, 1113–1129. [Google Scholar] [CrossRef]
 - Myatt, T.A.; Johnston, S.L.; Zuo, Z.; Wand, M.; Kebadze, T.; Rudnick, S.; Milton, D.K. Detection of airborne rhinovirus and its relation to outdoor air supply in office environments. Am. J. Respir. Crit. Care Med. 2004, 169, 1187–1190. [Google Scholar] [CrossRef] [PubMed]
 - Frankel, M.; Timm, M.; Hansen, E.W.; Madsen, A.M. Comparison of sampling methods for the assessment of indoor microbial exposure. Indoor Air 2012, 22, 405–414. [Google Scholar] [CrossRef]
 - Adams, R.I.; Tian, Y.; Taylor, J.W.; Bruns, T.D.; Hyvärinen, A.; Täubel, M. Passive dust collectors for assessing airborne microbial material. Microbiome 2015, 3, 46. [Google Scholar] [CrossRef]
 - Leppänen, H.K.; Täubel, M.; Jayaprakash, B.; Vepsäläinen, A.; Pasanen, P.; Hyvärinen, A. Quantitative assessment of microbes from samples of indoor air and dust. J. Expo. Sci. Environ. Epidemiol. 2017, 28, 231–241. [Google Scholar] [CrossRef]
 - Haugland, R.; Vesper, S.U.S. Identification and Quantification of Specific Fungi and Bacteria. U.S. Patent Patent No. 6,387,652, 14 May 2002. [Google Scholar]
 - Haugland, R.A.; Varma, M.; Wymer, L.J.; Vesper, S.J. Quantitative PCR Analysis of Selected Aspergillus, Penicillium and Paecilomyces Species. Syst. Appl. Microbiol. 2004, 27, 198–210. [Google Scholar] [CrossRef] [PubMed]
 - Kärkkäinen, P.M.; Valkonen, M.; Hyvärinen, A.; Nevalainen, A.; Rintala, H. Determination of bacterial load in house dust using qPCR, chemical markers and culture. J. Environ. Monit. 2010, 12, 759–768. [Google Scholar] [CrossRef] [PubMed]
 - Haugland, R.A.; Siefring, S.C.; Wymer, L.J.; Brenner, K.P.; Dufour, A.P. Comparison of Enterococcus measurements in freshwater at two recreational beaches by quantitative polymerase chain reaction and membrane filter culture analysis. Water Res. 2005, 39, 559–568. [Google Scholar] [CrossRef] [PubMed]
 - Shendell, D.G.; Winer, A.M.; Stock, T.H.; Zhang, L.; Zhang, J.; Maberti, S.; Colome, S.D. Air concentrations of VOCs in portable and traditional classrooms: Results of a pilot study in Los Angeles County. J. Expo. Sci. Environ. Epidemiol. 2004, 14, 44–59. [Google Scholar] [CrossRef] [PubMed]
 - Leppänen, M.; Peräniemi, S.; Koponen, H.; Sippula, O.; Pasanen, P. The effect of the shoeless course on particle concentrations and dust composition in schools. Sci. Total. Environ. 2020, 710, 136272. [Google Scholar] [CrossRef]
 - Mundt, M.; Mathisen, H.M.; Moser, M.; Nielsen, P.V. Ventilation Effectiveness: Rehva Guidebooks; Federation of European Heating and Air-Conditioning Associations: Brussels, Belgium, 2004. [Google Scholar]
 









| Primary School 1 | Ventilation (VAV) | Weekdays | Weekend | 
| built: 2013 VAVmax.: 3 L/s·m2 floor: 40 m2, occ: 10–20  | pre-started | mon 04–18, tue-fri 05–18 | 1 h per day | 
| continuous | 00–24 | 00–24 | |
| intermittent | as in case 1 + 20–22 + 00–02 | 02–05 + 10–13 + 18–21 | |
| Primary School 2 | Ventilation (CAV) | Weekdays | Weekend | 
| built: 2006, renov: 2012  CAVmax.: 3 L/s·m2 floor: 65 m2 occ: 20–30 person  | pre-started | mon 05–18,  tue-fri 06–18  | 14–15 | 
| continuous | 00–24 | 00–24 | |
| intermittent | as in case 1 + 20–22 + 01–03 | 02–05 + 10–13 + 18–21 | |
| Primary School 3 | Ventilation (CAV) | Weekdays | Weekend | 
| built: 1953, renov: 2012  CAVmax: 3 L/s·m2  | pre-started | mon-tue 05:30–20:00,  wed-fri 05:30–18:00  | 06:00–18:00 | 
| floor: 60 m2 | continuous max | 00–24 | 00–24 | 
| occ: 20–30 person | continuous min | as in case 1 + half power at night | as in case 1 + half power at night | 
| Primary School 4 | Ventilation (VAV) | Weekdays | Weekend | 
| built: 2012 | continuous | 00–24 | 00–24 | 
| VAVmax: 3.5 L/s·m2 floor: 87.5 m2, occ: 20–30  | intermittent | 05–18 + 20–22 + 01–03,  otherwise minimum  | 02–05 + 10–13 + 18–21, otherwise minimum  | 
| Secondary School | Ventilation (VAV) | Weekdays | Weekend | 
| built: 1975, renov: 2014, | pre-started | mon 05–17 tue-fri 06–17 | - | 
| VAVmax: 3.6 L/s·m2 | continuous max | 00–24, max at night | 00–24, max | 
| floor: 42 m2, occ: 20–25 | continuous min | 00–24, min at night | 00–24, min | 
| University Building | Ventilation (VAV) | Weekdays | Weekend | 
| built: 1964, renov: 2015, | pre-started | 06–17 | - | 
| VAVmax: 4 L/s·m2 | continuous | 00–24 | 00–24 | 
| floor: 39.5 m2, occ: 3–5 | intermittent | 06–17 + 19–21 + 02–04 | 02–05 + 10–13 + 18–21 | 
| Kindergarten 1 | Ventilation (CAV) | Weekdays | Weekend | 
| built: 2015 | pre-started | 03:00–17:00 | 04:00–17:00 | 
| CAVmax: 3 L/s·m2 | continuous | 00–24 | 00–24 | 
| floor: 37 m2, occ: 10–20 | intermittent | 04–20 + 22–01 | 00–04 + 08–12 + 16–20 | 
| Kindergarten 2 | Ventilation (CAV) | Weekdays | Weekend | 
| built: 2003  CAVmax: 3.5 L/s·m2  | pre-started | mon 04:30–21:00,  tue-fri 05:30–21:00  | 1 h per day | 
| floor: 30 m2 | continuous | 00–24 | 00–24 | 
| occ: 5–15 persons | intermittent | as in case 1 + 01–03 | 02–05 + 10–13 + 18–21 | 
| Kindergarten 3 | Ventilation (CAV) | Weekdays | Weekend | 
| built: 2012 | pre-started | 05–18 | - | 
| CAVmax: 3 L/s·m2 | continuous | 00–24 | 00–24 | 
| floor: 21 m2, occ: 5–10 | intermittent | 05–18 + 20–22 + 01–03 | 02–05 + 10–13 + 18–21 | 
| Kindergarten 4 | Ventilation (VAV) | Weekdays | Weekend | 
| 2013, 34 m2, 10–15 prs | continuous | 00–24 | 00–24 | 
| unoccupied: 1.5 L/s·m2 | continuous | 00–24 | 00–24 | 
| Kindergarten 5 | Ventilation (VAV) | Weekdays | Weekend | 
| 2014, 36 m2, 5–10 prs | continuous min | 00–24, min at night | 00–24, min | 
| VAVmax: 2.8 L/s·m2 | continuous max | 00–24, max at night | 00–24, max | 
| Type | Physical Quantity | Accuracy | 
|---|---|---|
| Swema 3000 | pressure difference | ±0.3% ± 0.3 Pa | 
| Sensirion SDP816-125 Pa | pressure difference | ±3% ± 0.08 Pa | 
| Tinytag plus 2 TGP-4500 | air temperature and humidity | ±0.5 °C, ±3.0% RH | 
| Tinytag TGE-0011 | CO2 | ±3% ± 50 ppm | 
| Nuvap IEQ monitor | TVOC | ±15% | 
| Trotec PC220 | PM2.5, PM10 | ±30%, efficiency 50% for 0.3 µm and 100% for >0.45 µm | 
| TVOC | 1 Week | Weekday 8–16 | Weekday 6–8 | |||
|---|---|---|---|---|---|---|
| [ppb] | avg | sd | avg | sd | avg | sd | 
| classroom in primary school 1 | ||||||
| pre-started | 238 | 85 | 330 | 96 | 167 | 31 | 
| continuous | 210 | 87 | 325 | 23 | 165 | 26 | 
| intermittent | 287 | 129 | 398 | 154 | 195 | 79 | 
| playroom in kindergarten 1 | ||||||
| pre-started | 223 | 75 | 222 | 14 | 177 | 12 | 
| continuous | 191 | 95 | 341 | 40 | 226 | 42 | 
| intermittent | 276 | 112 | 278 | 94 | 205 | 39 | 
| playroom in kindergarten 2 | ||||||
| pre-started | 186 | 62 | 263 | 15 | 130 | 2.1 | 
| continuous | 180 | 87 | 317 | 70 | 154 | 23 | 
| intermittent | 212 | 92 | 311 | 53 | 153 | 27 | 
| classroom in secondary school | ||||||
| pre-started | 195 | 46 | 202 | 23 | 155 | 19 | 
| continuous max | 194 | 79 | 272 | 88 | 199 | 61 | 
| continuous min | 187 | 91 | 285 | 89 | 150 | 38 | 
Publisher’s Note: MDPI stays neutral with regard to jurisdictional claims in published maps and institutional affiliations.  | 
© 2021 by the authors. Licensee MDPI, Basel, Switzerland. This article is an open access article distributed under the terms and conditions of the Creative Commons Attribution (CC BY) license (https://creativecommons.org/licenses/by/4.0/).
Share and Cite
Lestinen, S.; Kilpeläinen, S.; Kosonen, R.; Valkonen, M.; Jokisalo, J.; Pasanen, P. Effects of Night Ventilation on Indoor Air Quality in Educational Buildings—A Field Study. Appl. Sci. 2021, 11, 4056. https://doi.org/10.3390/app11094056
Lestinen S, Kilpeläinen S, Kosonen R, Valkonen M, Jokisalo J, Pasanen P. Effects of Night Ventilation on Indoor Air Quality in Educational Buildings—A Field Study. Applied Sciences. 2021; 11(9):4056. https://doi.org/10.3390/app11094056
Chicago/Turabian StyleLestinen, Sami, Simo Kilpeläinen, Risto Kosonen, Maria Valkonen, Juha Jokisalo, and Pertti Pasanen. 2021. "Effects of Night Ventilation on Indoor Air Quality in Educational Buildings—A Field Study" Applied Sciences 11, no. 9: 4056. https://doi.org/10.3390/app11094056
APA StyleLestinen, S., Kilpeläinen, S., Kosonen, R., Valkonen, M., Jokisalo, J., & Pasanen, P. (2021). Effects of Night Ventilation on Indoor Air Quality in Educational Buildings—A Field Study. Applied Sciences, 11(9), 4056. https://doi.org/10.3390/app11094056
        
                                                
